Effect of Segregation on Deformation Behaviour of Nanoscale CoCrCuFeNi High-Entropy Alloy
Abstract
1. Introduction
2. Simulation Details
3. Results and Discussion
3.1. Shear Deformation
3.2. The Effect of Segregation Layer Thickness
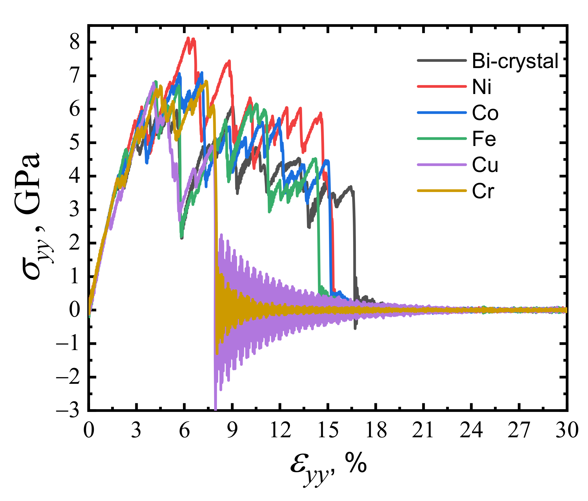
3.3. Tensile Deformation
3.4. Deformation at 100 K
4. Conclusions
Author Contributions
Funding
Institutional Review Board Statement
Informed Consent Statement
Data Availability Statement
Conflicts of Interest
References
- Crismaru, I.V.; Dragomir-Stanciu, D.; Atanasiu, M.V.; Pintilei, G.L. The Behavior of a 1.4301 Stainless Steel Subjected to Cryogenic Temperatures. Procedia Technol. 2015, 19, 247–253. [Google Scholar] [CrossRef]
- Guo, X.; Zhang, K.; Liu, J.; Li, Y.; Zuo, X.; Xiao, H.; He, G. Tensile deformation mechanism of Sn-37Pb solder alloy at cryogenic temperatures. In Proceedings of the 2021 22nd International Conference on Electronic Packaging Technology (ICEPT), Xiamen, China, 14–17 September 2021; pp. 1–4. [Google Scholar]
- Yeh, J.-W.; Chen, S.K.; Lin, S.-J.; Gan, J.-Y.; Chin, T.-S.; Shun, T.-T.; Tsau, C.-H.; Chang, S.-Y. Nanostructured High-Entropy Alloys with Multiple Principal Elements: Novel Alloy Design Concepts and Outcomes. Adv. Eng. Mater. 2004, 6, 299–303. [Google Scholar] [CrossRef]
- George, E.P.; Curtin, W.A.; Tasan, C.C. High entropy alloys: A focused review of mechanical properties and deformation mechanisms. Acta Mater. 2020, 188, 435–474. [Google Scholar] [CrossRef]
- Cantor, B.; Chang, I.T.H.; Knight, P.; Vincent, A.J.B. Microstructural development in equiatomic multicomponent alloys. Mater. Sci. Eng. A 2004, 375–377, 213–218. [Google Scholar] [CrossRef]
- Senkov, O.N.; Scott, J.M.; Senkova, S.V.; Meisenkothen, F.; Miracle, D.B.; Woodward, C.F. Microstructure and elevated temperature properties of a refractory TaNbHfZrTi alloy. J. Mater. Sci. 2012, 47, 4062–4074. [Google Scholar] [CrossRef]
- Singh, S.; Wanderka, N.; Murty, B.S.; Glatzel, U.; Banhart, J. Decomposition in multi-component AlCoCrCuFeNi high-entropy alloy. Acta Mater. 2011, 59, 182–190. [Google Scholar] [CrossRef]
- Tang, W.Y.; Yeh, J.W. Effect of Aluminum Content on Plasma-Nitrided Al × CoCrCuFeNi High-Entropy Alloys. Metall. Mater. Trans. A 2009, 40, 1479–1486. [Google Scholar] [CrossRef]
- Ren, B.; Liu, Z.X.; Li, D.M.; Shi, L.; Cai, B.; Wang, M.X. Effect of elemental interaction on microstructure of CuCrFeNiMn high entropy alloy system. J. Alloys Compd. 2010, 493, 148–153. [Google Scholar] [CrossRef]
- Varalakshmi, S.; Rao, G.A.; Kamaraj, M.; Murty, B.S. Hot consolidation and mechanical properties of nanocrystalline equiatomic AlFeTiCrZnCu high entropy alloy after mechanical alloying. J. Mater. Sci. 2010, 45, 5158–5163. [Google Scholar] [CrossRef]
- Qiu, X.W.; Zhang, Y.P.; He, L.; Liu, C. Microstructure and corrosion resistance of AlCrFeCuCo high entropy alloy. J. Alloys Compd. 2013, 549, 195–199. [Google Scholar] [CrossRef]
- Tong, Y.; Chen, D.; Han, B.; Wang, J.; Feng, R.; Yang, T.; Zhao, C.; Zhao, Y.; Guo, W.; Shimizu, Y.; et al. Outstanding tensile properties of a precipitation-strengthened FeCoNiCrTi0.2 high-entropy alloy at room and cryogenic temperatures. Acta Mater. 2019, 165, 228–240. [Google Scholar] [CrossRef]
- Wei, C.; Lu, Y.; Du, X.; Li, T.; Wang, T.; Liaw, P.K. Remarkable strength of a non-equiatomic Co29Cr29Fe29Ni12.5W0.5 high-entropy alloy at cryogenic temperatures. Mater. Sci. Eng. A 2021, 818, 141446. [Google Scholar] [CrossRef]
- Hu, Y.J. First-principles approaches and models for crystal defect energetics in metallic alloys. Comput. Mater. Sci. 2023, 216, 111831. [Google Scholar] [CrossRef]
- Wu, D.; Shuang, S.; Liang, Y.; Tian, X.; Kang, G.; Zhang, X. Interactions between screw dislocation and twin boundary in high-entropy alloy: A molecular dynamic study. Comput. Mater. Sci. 2022, 213, 111626. [Google Scholar] [CrossRef]
- Tsuchiya, T.; Tsuchiya, J.; Dekura, H.; Ritterbex, S. Ab Initio Study on the Lower Mantle Minerals. Annu. Rev. Earth Planet Sci. 2020, 48, 99–119. [Google Scholar] [CrossRef]
- Ditler, E.; Luber, S. Vibrational spectroscopy by means of first-principles molecular dynamics simulations. Wiley Interdiscip. Rev. Comput. Mol. Sci. 2022, 12, e1605. [Google Scholar] [CrossRef]
- Hao, L.Y.; Wen, X.Z.; Lei, X.W.; Yao, W.J.; Wang, N. Distinct nitriding behaviors of γ and γ′ phases in Ni-based superalloys: A first-principles study. J. Alloys Compd. 2022, 920, 165996. [Google Scholar] [CrossRef]
- Tang, Y.; Li, W.; Li, C.; Lu, S.; Vitos, L.; Pyczak, F. First-Principles Calculations of Elastic and Thermodynamic Properties for Multi-component Co-based Superalloys. Metall. Mater. Trans. A 2022. [Google Scholar] [CrossRef]
- Aravindh, S.A.; Kistanov, A.A.; Alatalo, M.; Kömi, J.; Huttula, M.; Cao, W. Incorporation of Si atoms into CrCoNiFe high-entropy alloy: A DFT study. J. Phys. Condens. Matter 2021, 33, 135703. [Google Scholar] [CrossRef] [PubMed]
- Cui, H.; Tan, Y.; Bai, R.; Li, Y.; Zhao, L.; Zhuang, X.; Wang, Y.; Chen, Z.; Li, P.; You, X.; et al. Effect of melt superheat treatment on solidification behavior and microstructure of new Ni–Co based superalloy. J. Mater. Res. Technol. 2021, 15, 4970–4980. [Google Scholar] [CrossRef]
- Miura, A.; Osada, T.; Kawagishi, K.; Uchida, K. Thermal transport properties of Ni–Co-based superalloy. AIP Adv. 2020, 10, 125118. [Google Scholar] [CrossRef]
- Lian, Y.; Wang, X.; Gao, L.; Yin, Q.; Hu, P.; Wen, Z.; Wang, J. Microstructure and Tensile Behavior of a Novel Monocrystalline Co-Based Superalloy at Different Temperatures. Adv. Eng. Mater. 2022, 24, 2101037. [Google Scholar] [CrossRef]
- Korznikova, E.A.; Shunaev, V.V.; Shepelev, I.A.; Glukhova, O.E.; Dmitriev, S.V. Ab initio study of the propagation of a supersonic 2-crowdion in fcc Al. Comput. Mater. Sci. 2022, 204, 111125. [Google Scholar] [CrossRef]
- Shelepev, I.A.; Bayazitov, A.M.; Korznikova, E.A. Modeling of supersonic crowdion clusters in FCC lattice: Effect of the interatomic potential. J. Micromechanics Mol. Phys. 2021, 6, 2050019. [Google Scholar] [CrossRef]
- Kolesnikov, I.D.; Shepelev, I.A. Excitation and propagation of 1-crowdion in bcc niobium lattice. Mater. Technol. Des. 2022, 4, 5–10. [Google Scholar] [CrossRef]
- Chetverikov, A.P.; Shepelev, I.A.; Korznikova, E.A.; Kistanov, A.A.; Dmitriev, S.V.; Velarde, M.G. Breathing subsonic crowdion in Morse lattices. Comput. Condens. Matter 2017, 13, 59–64. [Google Scholar] [CrossRef]
- Shepelev, I.A.; Dmitriev, S.V.; Kudreyko, A.A.; Velarde, M.G.; Korznikova, E.A. Supersonic voidions in 2D Morse lattice. Chaos Solit. Fractals 2020, 140, 110217. [Google Scholar] [CrossRef]
- Yankovskaya, U.I.; Zakharov, P.V. Heat resistance of a Pt crystal reinforced with CNT’s. Mater. Technol. Des. 2021, 3, 64–67. [Google Scholar] [CrossRef]
- Shepelev, I.A.; Chetverikov, A.P.; Dmitriev, S.V.; Korznikova, E.A. Shock waves in graphene and boron nitride. Comput. Mater. Sci. 2020, 177, 109549. [Google Scholar] [CrossRef]
- Korznikova, E.A.; Rysaeva, L.K.; Savin, A.V.; Soboleva, E.G.; Ekomasov, E.G.; Ilgamov, M.A.; Dmitriev, S.V. Chain Model for Carbon Nanotube Bundle under Plane Strain Conditions. Materials 2019, 12, 3951. [Google Scholar] [CrossRef] [PubMed]
- Chen, H.Y.; Tsou, N.T. The Analysis of Thermal-Induced Phase Transformation and Microstructural Evolution in Ni-Ti Based Shape Memory Alloys by Molecular Dynamics. Comput. Model. Eng. Sci. 2019, 120, 319–332. [Google Scholar] [CrossRef]
- Yoon, T.; Kang, S.; Kang, T.Y.; Kim, T.S. Detection of Graphene Cracks by Electromagnetic Induction, Insensitive to Doping Level. Comput. Model. Eng. Sci. 2019, 120, 351–361. [Google Scholar] [CrossRef]
- Jamil, I.R.; Mustaquim, A.M.; Islam, M.; Hasan, M.N. Molecular dynamics perspective of the effects of laser thermal configurations on the dislocation and mechanical characteristics of FeNiCrCoCu HEA through powder bed fusion process. Mater. Today Commun. 2022, 33, 104998. [Google Scholar] [CrossRef]
- Du, X.; Lu, X.; Shuang, S.; Wang, Z.; Xiong, Q.-L.; Kang, G.; Zhang, X. Cyclic Plasticity of CoCrFeMnNi High-Entropy Alloy (HEA): A Molecular Dynamics Simulation. Int. J. Appl. Mech. 2021, 13, 2150006. [Google Scholar] [CrossRef]
- Lu, D.; Wang, H.; Chen, M.; Lin, L.; Car, R.; Weinan, E.; Jia, W.; Zhang, L. 86 PFLOPS Deep Potential Molecular Dynamics simulation of 100 million atoms with ab initio accuracy. Comput. Phys. Commun. 2021, 259, 107624. [Google Scholar] [CrossRef]
- Gludovatz, B.; Hohenwarter, A.; Catoor, D.; Chang, E.H.; George, E.P.; Ritchie, R.O. A fracture-resistant high-entropy alloy for cryogenic applications. Science 2014, 345, 1153–1158. [Google Scholar] [CrossRef]
- Ji, W.; Wu, M.S. Atomistic studies of ductile fracture of a single crystalline cantor alloy containing a crack at cryogenic temperatures. Eng. Fract. Mech. 2021, 258, 108120. [Google Scholar] [CrossRef]
- Ji, W.; Wu, M.S. Nanoscale insights into the damage tolerance of Cantor alloys at cryogenic temperatures. Int. J. Mech. Sci. 2022, 226, 107406. [Google Scholar] [CrossRef]
- Ji, W.; Wu, M.S. Nanoscale origin of the crystalline-to-amorphous phase transformation and damage tolerance of Cantor alloys at cryogenic temperatures. Acta Mater. 2022, 226, 117639. [Google Scholar] [CrossRef]
- Luo, J.; Zhou, N. High-entropy grain boundaries. Commun. Mater. 2023, 4, 7. [Google Scholar] [CrossRef]
- Zhou, N.; Hu, T.; Huang, J.; Luo, J. Stabilization of nanocrystalline alloys at high temperatures via utilizing high-entropy grain boundary complexions. Scr. Mater. 2016, 124, 160–163. [Google Scholar] [CrossRef]
- Babicheva, R.; Jarlöv, A.; Zheng, H.; Dmitriev, S.; Korznikova, E.; Nai, M.L.S.; Ramamurty, U.; Zhou, K. Effect of short-range ordering and grain boundary segregation on shear deformation of CoCrFeNi high-entropy alloys with Al addition. Comput. Mater. Sci. 2022, 215, 111762. [Google Scholar] [CrossRef]
- Li, L.; Kamachali, R.D.; Li, Z.; Zhang, Z. Grain boundary energy effect on grain boundary segregation in an equiatomic high-entropy alloy. Phys. Rev. Mater. 2020, 4, 053603. [Google Scholar] [CrossRef]
- Plimpton, S. Fast Parallel Algorithms for Short-Range Molecular Dynamics. J. Comput. Phys. 1995, 117, 1–19. [Google Scholar] [CrossRef]
- Stukowski, A. Visualization and analysis of atomistic simulation data with OVITO–the Open Visualization Tool. Model. Simul. Mater. Sci. Eng. 2010, 18, 015012. [Google Scholar] [CrossRef]
- Cantor, B. Multicomponent high-entropy Cantor alloys. Prog. Mater. Sci. 2021, 120, 100754. [Google Scholar] [CrossRef]
- Farkas, D.; Caro, A. Model interatomic potentials and lattice strain in a high-entropy alloy. J. Mater. Res. 2018, 33, 3218–3225. [Google Scholar] [CrossRef]
- Xiao, J.; Deng, C. Martensite transformation induced superplasticity and strengthening in single crystalline CoNiCrFeMn high entropy alloy nanowires: A molecular dynamics study. Mater. Sci. Eng. A 2020, 793, 139853. [Google Scholar] [CrossRef]
- Jarlöv, A.; Ji, W.; Zhu, Z.; Tian, Y.; Babicheva, R.; An, R.; Seet, H.L.; Nai, M.L.S.; Zhou, K. Molecular dynamics study on the strengthening mechanisms of Cr–Fe–Co–Ni high-entropy alloys based on the generalized stacking fault energy. J. Alloys Compd. 2022, 905, 164137. [Google Scholar] [CrossRef]
- Li, Q.; Mo, J.; Ma, S.; Duan, F.; Zhao, Y.; Liu, S.; Liu, W.; Zhao, S.; Liu, C.; Liaw, P.; et al. Defeating hydrogen-induced grain-boundary embrittlement via triggering unusual interfacial segregation in FeCrCoNi-type high-entropy alloys. Acta Mater. 2022, 241, 118410. [Google Scholar] [CrossRef]
- He, T.; Qi, Y.; Ji, Y.; Feng, M. Grain boundary segregation-induced strengthening-weakening transition and its ideal maximum strength in nanopolycrystalline FeNiCrCoCu high-entropy alloys. Int. J. Mech. Sci. 2023, 238, 107828. [Google Scholar] [CrossRef]








Disclaimer/Publisher’s Note: The statements, opinions and data contained in all publications are solely those of the individual author(s) and contributor(s) and not of MDPI and/or the editor(s). MDPI and/or the editor(s) disclaim responsibility for any injury to people or property resulting from any ideas, methods, instructions or products referred to in the content. |
© 2023 by the authors. Licensee MDPI, Basel, Switzerland. This article is an open access article distributed under the terms and conditions of the Creative Commons Attribution (CC BY) license (https://creativecommons.org/licenses/by/4.0/).
Share and Cite
Kazakov, A.M.; Yakhin, A.V.; Karimov, E.Z.; Babicheva, R.I.; Kistanov, A.A.; Korznikova, E.A. Effect of Segregation on Deformation Behaviour of Nanoscale CoCrCuFeNi High-Entropy Alloy. Appl. Sci. 2023, 13, 4013. https://doi.org/10.3390/app13064013
Kazakov AM, Yakhin AV, Karimov EZ, Babicheva RI, Kistanov AA, Korznikova EA. Effect of Segregation on Deformation Behaviour of Nanoscale CoCrCuFeNi High-Entropy Alloy. Applied Sciences. 2023; 13(6):4013. https://doi.org/10.3390/app13064013
Chicago/Turabian StyleKazakov, Arseny M., Azat V. Yakhin, Elvir Z. Karimov, Rita I. Babicheva, Andrey A. Kistanov, and Elena A. Korznikova. 2023. "Effect of Segregation on Deformation Behaviour of Nanoscale CoCrCuFeNi High-Entropy Alloy" Applied Sciences 13, no. 6: 4013. https://doi.org/10.3390/app13064013
APA StyleKazakov, A. M., Yakhin, A. V., Karimov, E. Z., Babicheva, R. I., Kistanov, A. A., & Korznikova, E. A. (2023). Effect of Segregation on Deformation Behaviour of Nanoscale CoCrCuFeNi High-Entropy Alloy. Applied Sciences, 13(6), 4013. https://doi.org/10.3390/app13064013

