Quantum 3D FFT in Tomography
Abstract
1. Introduction
2. Quantum Computational Units
2.1. Quantum Fourier Transform Theory
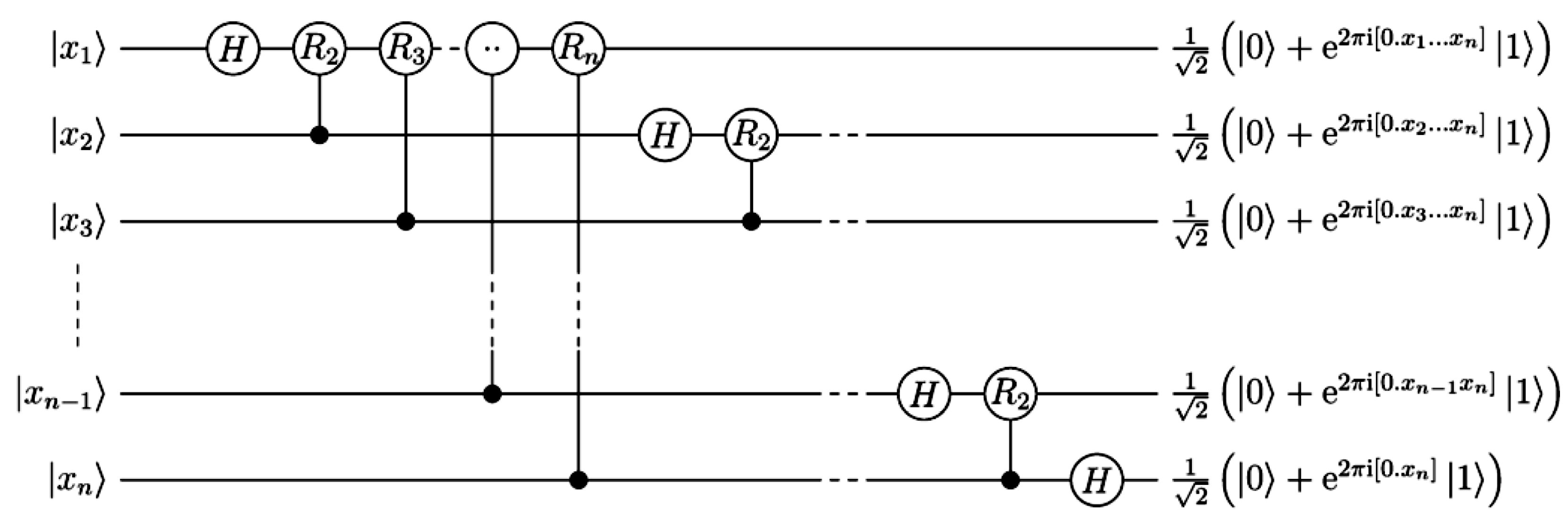
2.2. Circuitry for Implementing QFT
3. Theory of Tomography
3.1. Radon Transform
3.2. Back Projection
3.3. Sinogram and Fourier Section or Central Section Theorem
3.4. Reconstruction Simulation
- Projections acquisition as those shown in Figure 7.
- Evaluation, using the 2D QFT, of the 2D spectra of the above projections.
- The derived 3D spectrum is filtered (multiplied) by a 3D filter of the type .
- On the new 3D spectrum, the inverse 3D QFT is applied in order to derive the 3D fandom.
4. The Radon Transform and the Back Projection by Means of the Inverse 3D QFT
4.1. The 2D Quantum Fourier Transform
4.2. The 3D Discreet Fourier Transform
4.3. Quantum 3D Fourier Transform
- A 2D QFT is used in the input stage to provide the spectra of the 256 2D projections of the fandom taken as input.
- The projections spectra are radially placed to create the 3D spectrum of the initial data (fandom).
- This 3D spectrum is properly interpolated and normalized by multiplying with the function .
- The 3D inverse QFT is applied to provide the required fandom cube.
5. Experimental Results
6. Conclusions
- Evaluating the projections of the original fandom and computing their 2D QFT transform, so that their spectra are available (2D radon transform).
- Evaluating the 3D spectrum of the initial data cube by radially placing the spectra of the projections and simultaneously properly normalizing (filtering), so that high frequencies are amplified.
- Inverting the 3D spectrum by means of the inverse 3D QFT, so that the required data cube is obtained. Cross sections are now available from the reconstructed data cube.
Author Contributions
Funding
Data Availability Statement
Conflicts of Interest
References
- Caraiman, S.; Manta, V.I. Quantum Image Filtering in the Frequency Domain. Adv. Electr. Comput. Eng. 2013, 13, 77–84. [Google Scholar] [CrossRef]
- Lomont, C. Quantum Convolution and Quantum Correlation Algorithms Are Physically Impossible. arXiv 2003. [Google Scholar] [CrossRef]
- Divincenzo, D.P. Quantum Gates and Circuits. arXiv 1998. [Google Scholar] [CrossRef]
- Sakk, E. Chapter of Real Perspective of Fourier Transforms and Current Developments in Superconductivity. In Quantum Fourier Operators and Their Application; IntechOpen: London, UK, 2021; pp. 1–15. [Google Scholar]
- Shor, P.W. Polynomial-Time Algorithms for Prime Factorization and Discrete Logarithms on a Quantum Computer. SIAM J. Comput. 1997, 26, 1484–1509. [Google Scholar] [CrossRef]
- Josza, R. Quantum Algorithms and the Fourier Transform. Proc. R. Soc. Lond. A 1998, 454, 323–337. [Google Scholar]
- Nielsen, M.A.; Chuang, I.L. Quantum Computation and Quantum Information; Cambridge University Press: Cambridge, UK, 2011. [Google Scholar]
- Barenco, A.; Ekert, A.; Suominen, K.A.; Torma, P. Approximate quantum Fourier transform and decoherence. Phys. Rev. A 1996, 54, 139–146. [Google Scholar] [CrossRef] [PubMed]
- Fowler, A.; Hollenberg, L.C.L. Scalability of Shor’s algorithm with a limited set of rotation gate. Phys. Rev. A 2004, 70, 032329. [Google Scholar] [CrossRef]
- Pavlidis, A.; Gizopoulos, D. Fast Quantum Modular Exponentiation Architecture for Shor’s Factorization Algorithm. arXiv 2014, arXiv:1207.0511. [Google Scholar] [CrossRef]
- Prokopenya, A.N. Approximate Quantum Fourier Transform and Quantum Algorithm for Phase Estimation. In International Workshop on Computer Algebra in Scientific Computing; Springer: Cham, Switzerland, 2015; pp. 391–405. [Google Scholar]
- Ruiz-Perez, L.; Garcia-Escartin, J.C. Quantum arithmetic with the quantum Fourier transform. Quantum Inf. Process. 2017, 16, 152. [Google Scholar]
- Nam, Y.; Su, Y.; Maslov, D. Approximate quantum Fourier transform with O(n log(n)) T gates. NPJ Quantum Inf. 2020, 6, 26. [Google Scholar] [CrossRef]
- Wang, Z.; Xu, M.; Zhang, Y. Review of Quantum Image Processing. Arch. Comput. Methods Eng. 2022, 29, 737–761. [Google Scholar] [CrossRef]
- Asaka, R.; Sakai, K.; Yahagi, R. Quantum circuit for the fast Fourier transform. Quantum. Inf. Process. 2020, 19, 277–296. [Google Scholar] [CrossRef]
- Weinstein, Y.S.; Pravia, M.A.; Fortunato, E.M.; Lloyd, S.; Cory, D.G. Implementation of the Quantum Fourier Transform. Phys. Rev. Lett. 2001, 86, 1889. [Google Scholar] [CrossRef]
- Li, Y.; Hao, D.; Xu, Y.; Lai, K. A Fast Quantum Image Component Labeling Algorithm. Mathematics 2022, 10, 2718. [Google Scholar] [CrossRef]
- Song, X.; Chen, G.; Abd El-Latif, A.A. Quantum Color Image Encryption Scheme Based on Geometric Transformation and Intensity Channel Diffusion. Mathematics 2022, 10, 3038. [Google Scholar] [CrossRef]
- Yuan, S.; Mao, X.; Zhou, J.; Wang, X. Quantum Image Filtering in the Spatial Domain. Int. J. Theor. Phys. 2017, 56, 2495–2511. [Google Scholar] [CrossRef]
- Jiang, S.; Zhou, R.G.; Hu, W.; Li, Y. Improved Quantum Image Median Filtering in the Spatial Domain. Int. J. Theor. Phys. 2019, 58, 2115–2133. [Google Scholar] [CrossRef]
- Li, P.; Xiao, H. An Improved Filtering Method for Quantum Color Image in Frequency Domain. Int. J. Theor. Phys. 2018, 57, 258–278. [Google Scholar] [CrossRef]
- Jamiołkowski, A. The minimal Number of Operators for Observability of N-level Quantum Systems. Int. J. Theor. Phys. 1983, 22, 369–376. [Google Scholar] [CrossRef]
- Gorini, V.; Kossakowski, A.; Sudarshan, E.C.G. Completely Positive Dynamical Semigroups of N-level Systems. J. Math. Phys. 1976, 17, 821–825. [Google Scholar] [CrossRef]
- Lindblad, G. On the generators of quantum dynamical semigroups. Commun. Math. Phys. 1976, 48, 119–130. [Google Scholar] [CrossRef]
- Manzano, D. A short introduction to the Lindblad master equation. AIP Adv. 2020, 10, 025106. [Google Scholar] [CrossRef]
- Jamiołkowski, A. On complete and incomplete sets of observables, the principle of maximum entropy–revisited. Rep. Math. Phys. 2000, 46, 469–482. [Google Scholar] [CrossRef]
- Paris, M.G.A.; Rehacek, J. (Eds.) Quantum-State Estimation; Lecture Notes in Physics; Springer: Berlin/Heidelberg, Germany, 2004. [Google Scholar]
- Erhard, M.; Fickler, R.; Krenn, M.; Zeilinger, A. Twisted Photons: New Quantum Perspectives in High Dimensions. Light. Sci. Appl. 2018, 7, 17146. [Google Scholar] [CrossRef] [PubMed]
- Neeley, M.; Ansmann, M.; Bialczak, R.C.; Hofheinz, M.; Lucero, E.; O’Connell, A.D.; Sank, D.; Wang, H.; Wenner, J.; Cleland, A.N.; et al. Emulation of a Quantum Spin with a Superconducting Phase Qudit. Science 2009, 325, 722–725. [Google Scholar] [CrossRef]
- Soltamov, V.; Kasper, C.; Poshakinskiy, A.; Anisimov, A.; Mokhov, E.; Sperlich, A.; Tarasenko, S.; Baranov, P.; Astakhov, G.; Dyakonov, V. Excitation and Coherent Control of Spin Qudit Modes in Silicon Carbide at Room Temperature. Nat. Commun. 2019, 10, 1678. [Google Scholar] [CrossRef]
- Klimov, A.B.; Guzmán, R.; Retamal, J.C.; Saavedra, C. Qutrit Quantum Computer with Trapped Ions. Phys. Rev. A 2003, 67, 062313. [Google Scholar] [CrossRef]
- Abobeih, M.; Randall, J.; Bradley, C.; Bartling, H.; Bakker, M.; Degen, M.; Markham, M.; Twitchen, D.; Taminiau, T. Atomic-Scale Imaging of a 27-Nuclear-Spin Cluster using a Quantum Sensor. Nature 2019, 576, 411–415. [Google Scholar] [CrossRef]
- Protonorios, N.E.; Fokas, A.S.; Vrachliotis, A.; Marinakis, V.; Dikaios, N.; Kastis, G.A. Reconstruction of preclinical PET images via Chebyshev polynomial approximation of the sinogram. Appl. Sci. 2022, 12, 3335. [Google Scholar] [CrossRef]
- Geng, Y.; Tan, J.; Guo, C.; Shen, C.; Ding, W.; Liu, S.; Liu, Z. Computational coherent imaging by rotating a cylindrical lens. Opt. Express 2018, 26, 22110–22122. [Google Scholar] [CrossRef]
- Coppersmith, D. An Approximate Fourier Transform Useful in Quantum Factoring. arXiv 1994. [Google Scholar] [CrossRef]
- Quantum Fourier Transform. Available online: https://en.wikipedia.org/wiki/Quantum_Fourier_transform (accessed on 19 March 2021).
- Preskill, J. Quantum Information and Computation. Lecture Notes for Physics 229: CIT; California Institute of Technology: Pasadena, CA, USA, 1998; pp. 1–321. [Google Scholar]














Disclaimer/Publisher’s Note: The statements, opinions and data contained in all publications are solely those of the individual author(s) and contributor(s) and not of MDPI and/or the editor(s). MDPI and/or the editor(s) disclaim responsibility for any injury to people or property resulting from any ideas, methods, instructions or products referred to in the content. |
© 2023 by the authors. Licensee MDPI, Basel, Switzerland. This article is an open access article distributed under the terms and conditions of the Creative Commons Attribution (CC BY) license (https://creativecommons.org/licenses/by/4.0/).
Share and Cite
Koukiou, G.; Anastassopoulos, V. Quantum 3D FFT in Tomography. Appl. Sci. 2023, 13, 4009. https://doi.org/10.3390/app13064009
Koukiou G, Anastassopoulos V. Quantum 3D FFT in Tomography. Applied Sciences. 2023; 13(6):4009. https://doi.org/10.3390/app13064009
Chicago/Turabian StyleKoukiou, Georgia, and Vassilis Anastassopoulos. 2023. "Quantum 3D FFT in Tomography" Applied Sciences 13, no. 6: 4009. https://doi.org/10.3390/app13064009
APA StyleKoukiou, G., & Anastassopoulos, V. (2023). Quantum 3D FFT in Tomography. Applied Sciences, 13(6), 4009. https://doi.org/10.3390/app13064009

