Analysis of Upstream Turbulence Impact on Wall Heat Transfer in an Acoustic Liner with Large-Eddy Simulations
Abstract
1. Introduction
2. Configuration Descriptions
2.1. Lab-Scale Configuration
2.2. Similitude and Engine-Scale Configuration
3. Numerical Modelling
4. General Flow Description
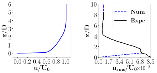
5. Validation of the Similitude
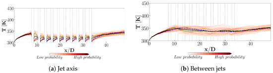
6. Upstream Turbulence Impact
7. Conclusions
Author Contributions
Funding
Data Availability Statement
Acknowledgments
Conflicts of Interest
Nomenclature
| Symbols | ||
| A | Perforation area | [m] |
| D | Perforation diameter | [m] |
| f | Pistons’ frequency | [Hz] |
| h | Convective heat transfer coefficient | [W.m.K] |
| K | Pistons’ amplitude | [m] |
| Synthetic jet stroke length | [m] | |
| Nusselt number | [-] | |
| Reynolds number | [-] | |
| Strouhal number | [-] | |
| T | Period of the pistons’ motion | [s] |
| Wall temperature | [K] | |
| t | Time | [s] |
| Freestream axial velocity | [m.s] | |
| Average jet vertical velocity along the ejected mid-period | [m.s] | |
| Axial, transverse and vertical velocity components | [m.s] | |
| Axial, transverse and vertical coordinates | [m] | |
| Normalised wall distance | [-] | |
| Pistons’ vertical position | [m] | |
| Pistons’ mean vertical position | [m] | |
| Greek letters | ||
| Phase difference between in-line jets | [°] | |
| Wall heat flux | [W.m] | |
| Kinematic viscosity of air | [m.s] | |
| Similitude ratio | [-] | |
| Acronyms | ||
| Arbitrary Lagrangian–Eulerian | ||
| Large-Eddy Simulation | ||
| Local One-Dimensional Inviscid | ||
| Non-Reflecting Inlet | ||
| Navier–Stokes Characteristic Boundary Conditions | ||
| Root mean square | ||
References
- Ingård, U.; Labate, S. Acoustic Circulation Effects and the Nonlinear Impedance of Orifices. J. Acoust. Soc. Am. 1950, 22, 211–218. [Google Scholar] [CrossRef]
- Yang, D.; Sogaro, F.M.; Morgans, A.S.; Schmid, P.J. Optimising the acoustic damping of multiple Helmholtz resonators attached to a thin annular duct. J. Sound Vib. 2019, 444, 69–84. [Google Scholar] [CrossRef]
- Duchaine, F. Sensitivity analysis of heat transfer in a honeycomb acoustic liner to inlet conditions with large eddy simulation. In Proceedings of the ASME Turbo Expo 2017: Turbomachinery Technical Conference and Exposition, Charlotte, NC, USA, 26–30 June 2017. [Google Scholar] [CrossRef]
- Mery, F.; Piot, E.; Sebbane, D.; Reulet, P.; Simon, F.; Méndez, A.C. Experimental assessment of the effect of temperature gradient across an aeroacoustic liner. J. Aircr. 2019, 56, 1809–1821. [Google Scholar] [CrossRef]
- James, R.D.; Jacobs, J.W.; Glezer, A. A round turbulent jet produced by an oscillating diaphragm. Phys. Fluids 1996, 8, 2484–2495. [Google Scholar] [CrossRef]
- Gharib, M.; Rambod, E.; Shariff, K. A universal time scale for vortex ring formation. J. Fluid Mech. 1998, 360, 121–140. [Google Scholar] [CrossRef]
- Smith, B.L.; Glezer, A. The formation and evolution of synthetic jets. Phys. Fluids 1998, 10, 2281–2297. [Google Scholar] [CrossRef]
- Leschziner, M.A.; Lardeau, S. Simulation of slot and round synthetic jets in the context of boundary-layer separation control. Philos. Trans. R. Soc. 2011, 369, 1495–1512. [Google Scholar] [CrossRef]
- Arik, M.; Sharma, R.; Lustbader, J.; He, X. Steady and Unsteady Air Impingement Heat Transfer for Electronics Cooling Applications. J. Heat Transf. 2013, 135, 111009. [Google Scholar] [CrossRef]
- Holman, R.; Utturkar, Y.; Mittal, R.; Smith, B.L.; Cattafesta, L. Formation Criterion for Synthetic Jets. AIAA J. 2005, 43, 2110–2116. [Google Scholar] [CrossRef]
- Krishan, G.; Aw, K.C.; Sharma, R.N. Synthetic jet impingement heat transfer enhancement—A review. Appl. Therm. Eng. 2019, 149, 1305–1323. [Google Scholar] [CrossRef]
- Manning, P.; Persoons, T.; Murray, D. Heat transfer and flow structure evaluation of a synthetic jet emanating from a planar heat sink. In Proceedings of the Journal of Physics: Conference Series; IOP Publishing Ltd.: Bristol, UK, 2014; Volume 525. [Google Scholar] [CrossRef]
- Zhong, S.; Millet, F.; Wood, N.J. The behaviour of circular synthetic jets in a laminar boundary layer. Aeronaut. J. 2005, 109, 461–470. [Google Scholar] [CrossRef]
- Jabbal, M.; Zhong, S. Measurements of synthetic jets in a boundary layer. In Proceedings of the 37th AIAA Fluid Dynamics Conference and Exhibit, Miami, FL, USA, 25–28 June 2007. [Google Scholar] [CrossRef]
- Zhou, J.; Zhong, S. Numerical simulation of the interaction of a circular synthetic jet with a boundary layer. Comput. Fluids 2009, 38, 393–405. [Google Scholar] [CrossRef]
- Wen, X.; Tang, H. On hairpin vortices induced by circular synthetic jets in laminar and turbulent boundary layers. Comput. Fluids 2014, 95, 1–18. [Google Scholar] [CrossRef]
- Wen, X.; Tang, H.; Duan, F. Vortex dynamics of in-line twin synthetic jets in a laminar boundary layer. Phys. Fluids 2015, 27, 083601. [Google Scholar] [CrossRef]
- Giachetti, B.; Fénot, M.; Couton, D.; Plourde, F. Influence of multi-perforation synthetic jet configuration on heat transfer enhancement. Int. J. Heat Mass Transf. 2018, 125, 262–273. [Google Scholar] [CrossRef]
- Esnault, S.; Duchaine, F.; Gicquel, L.; Moreau, S. Large Eddy Simulation of Heat Transfer within a Multi-Perforation Synthetic Jets Configuration. J. Turbomach. 2020, 142, 061010. [Google Scholar] [CrossRef]
- Jankee, G.K.; Ganapathisubramani, B. Influence of internal orifice geometry on synthetic jet performance. Exp. Fluids 2019, 60, 51. [Google Scholar] [CrossRef]
- Lax, P.; Wendroff, B. Systems of conservation laws. Commun. Pure Appl. Math. 1960, 13, 217–237. [Google Scholar] [CrossRef]
- Nicoud, F.; Toda, H.B.; Cabrit, O.; Bose, S.; Lee, J. Using singular values to build a subgrid-scale model for large eddy simulations. Phys. Fluids 2011, 23, 085106. [Google Scholar] [CrossRef]
- Poinsot, T.J.; Lele, S.K. Boundary conditions for direct simulations of compressible viscous flows. J. Comput. Phys. 1992, 101, 104–129. [Google Scholar] [CrossRef]
- Smirnov, A.; Shi, S.; Celik, I. Random Flow Generation Technique for Large Eddy Simulations and Particle-Dynamics Modeling. J. Fluids Eng. 2001, 123, 359–371. [Google Scholar] [CrossRef]
- Granet, V.; Vermorel, O.; Léonard, T.; Gicquel, L.; Poinsot, T. Comparison of Nonreflecting Outlet Boundary Conditions for Compressible Solvers on Unstructured Grids. AIAA J. 2010, 48, 2348–2364. [Google Scholar] [CrossRef]
- Moureau, V.; Lartigue, G.; Sommerer, Y.; Angelberger, C.; Colin, O.; Poinsot, T. Numerical methods for unsteady compressible multi-component reacting flows on fixed and moving grids. J. Comput. Phys. 2005, 202, 710–736. [Google Scholar] [CrossRef]
- Odier, N.; Duchaine, F.; Gicquel, L.; Staffelbach, G.; Thacker, A.; Garcia Rosa, N.; Dufour, G.; Muller, J.D. Evaluation of Integral Turbulence Scale through the Fan Stage of a Turbofan Using Hot Wire Anemometry and Large Eddy Simulation. In Proceedings of the ASME Turbo Expo 2018 Turbomachinery Technical Conference and Exposition, Oslo, Norway, 11–15 June 2018. [Google Scholar]
- Esnault, S.; Duchaine, F.; Gicquel, L. Large-Eddy Simulations of heat transfer within a multi-perforation synthetic jets configuration. In Proceedings of the ASME Turbo Expo 2019: Turbomachinery Technical Conference and Exposition, Phoenix, AZ, USA, 17–21 June 2019. [Google Scholar]
- Esnault, S. Large Eddy Simulations of Heat Transfer within Aircraft Engine Acoustic Treatments. Ph.D. Thesis, Université Toulouse III-INP Toulouse MEGeP, Toulouse, France, 2021. [Google Scholar]
















| (m.s) | f (Hz) | K (mm) | M | ||
|---|---|---|---|---|---|
| 12.8 | 12.8 | 11 | 829.2 | 12.94 | 0.16 |
| Similitude Ratios | |||
|---|---|---|---|
| Parameter | |||
| Geometrical parameters | |||
| D (mm) | 6.25 | 1 | |
| L (mm) | 300 | 48 | |
| Flow parameters | |||
| (m.s | 12.8 | 80 | |
| (m.s | 2.07 | 12.94 | |
| f (Hz) | 12.8 | 500 | |
| Heat transfer parameter | |||
| h (W.m.K) | - | - | |
Disclaimer/Publisher’s Note: The statements, opinions and data contained in all publications are solely those of the individual author(s) and contributor(s) and not of MDPI and/or the editor(s). MDPI and/or the editor(s) disclaim responsibility for any injury to people or property resulting from any ideas, methods, instructions or products referred to in the content. |
© 2023 by the authors. Licensee MDPI, Basel, Switzerland. This article is an open access article distributed under the terms and conditions of the Creative Commons Attribution (CC BY) license (https://creativecommons.org/licenses/by/4.0/).
Share and Cite
Esnault, S.; Duchaine, F.; Gicquel, L.Y.M.; Moreau, S. Analysis of Upstream Turbulence Impact on Wall Heat Transfer in an Acoustic Liner with Large-Eddy Simulations. Appl. Sci. 2023, 13, 3145. https://doi.org/10.3390/app13053145
Esnault S, Duchaine F, Gicquel LYM, Moreau S. Analysis of Upstream Turbulence Impact on Wall Heat Transfer in an Acoustic Liner with Large-Eddy Simulations. Applied Sciences. 2023; 13(5):3145. https://doi.org/10.3390/app13053145
Chicago/Turabian StyleEsnault, Soizic, Florent Duchaine, Laurent Y. M. Gicquel, and Stéphane Moreau. 2023. "Analysis of Upstream Turbulence Impact on Wall Heat Transfer in an Acoustic Liner with Large-Eddy Simulations" Applied Sciences 13, no. 5: 3145. https://doi.org/10.3390/app13053145
APA StyleEsnault, S., Duchaine, F., Gicquel, L. Y. M., & Moreau, S. (2023). Analysis of Upstream Turbulence Impact on Wall Heat Transfer in an Acoustic Liner with Large-Eddy Simulations. Applied Sciences, 13(5), 3145. https://doi.org/10.3390/app13053145

