A Cooperative Lane Change Control Strategy for Connected and Automated Vehicles by Considering Preceding Vehicle Switching
Abstract
1. Introduction
1.1. Motivations
1.2. Related Work
1.3. Contributions
- Compared to the current CLC control strategies, which do not consider the lateral and longitudinal correlations of lane change, the proposed CLC control strategy re-associates the mutually independent lane change lateral and longitudinal motions, resulting in a more reliable longitudinal control strategy.
- A series of linear piecewise functions are designed to address the preceding vehicles switching tracking problem. These functions provide a smooth transition for the controlled CAVs (i.e., lane-changing and cooperative vehicles) when their preceding vehicles are changing in the lane-change process.
- Compared with the existing methods of building optimization models sequentially according to different stages of CLC, the proposed CLC control strategy effectively integrates multiple optimization models into a unified model by introducing the preceding vehicle switching method.
2. Problem Statement
- (1)
- All the CAVs involved in this work can share real-time information accurately and timely based on V2V communication [38]. It is assumed that there is no packet loss and communication delay during the process of information sharing.
- (2)
- The CAVs are equipped with high-precision onboard sensors, which can accurately measure the position, speed, and acceleration of the vehicles.
- (3)
- (4)
- Vehicles M and A follow the same upper and lower bounds of acceleration constraints.
- (5)
- The control command of CLC is obtained by the central control vehicle and sent to each vehicle for execution.
- (6)
- Vehicle M is at the centerline of the original lane before making a lane change and is also at the target lane’s centerline after the lane change’s completion.
3. Modeling Methodology
3.1. Lateral Control for the Lane Change Vehicle
3.2. MPC-Based CLC Control Strategy by Considering Preceding Vehicle Switching
3.2.1. Vehicle Dynamics
3.2.2. Constraints with Preceding Vehicle Switching of CLC Control Strategy
- (1)
- Speed limitation
- (2)
- Longitudinal safety distance requirements with preceding vehicle switching
- (3)
- Comfort constraints
- (4)
- Dynamic kinematics model constraints
3.2.3. Objective Functions with Preceding Vehicle Switching of CLC Control Strategy
- (1)
- Longitudinal distance tracking control with preceding vehicle switching
- (2)
- Longitudinal speed tracking control with preceding vehicle switching
- (3)
- Comfort
- (4)
- Objective function of the optimization model
3.3. Solvability Analysis of the Proposed CLC Control Strategy
4. Numerical Simulations
4.1. Experiments Design and Parameter Settings
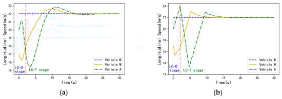
4.2. Performance Comparison of the Proposed CLC Control Strategy and Combination with CACC and Sine Function Control Strategy
4.3. Operating Efficiency Analysis of the Proposed CLC Control Strategy
5. Conclusions
Author Contributions
Funding
Institutional Review Board Statement
Informed Consent Statement
Data Availability Statement
Acknowledgments
Conflicts of Interest
References
- Zheng, Z.; Ahn, S.; Chen, D.; Laval, J. Freeway traffic oscillations: Microscopic analysis of formations and propagations using Wavelet Transform. Transp. Res. Part B-Methodol. 2011, 45, 1378–1388. [Google Scholar]
- Ahn, S.; Cassidy, M.J. Freeway traffic oscillations and vehicle lane-change maneuvers. In Proceedings of the Transportation and Traffic Theory 2007, London, UK, 23–25 July 2007; pp. 691–710. [Google Scholar]
- Barria, J.A.; Thajchayapong, S. Detection and classification of traffic anomalies using microscopic traffic variables. IEEE Trans. Intell. Transp. Syst. 2011, 12, 695–704. [Google Scholar]
- Knipling, R.R. IVHS technologies applied to collision avoidance: Perspectives on six target crash types and countermeasures. In Proceedings of the 1993 Annual Meeting of IVHS America: Surface Transportation: Mobility, Technology, and Society, Washington, DC, USA, 14–17 April 1993; pp. 249–259. [Google Scholar]
- Ammoun, S.; Nashashibi, F.; Laurgeau, C. An analysis of the lane changing manoeuvre on roads: The contribution of inter-vehicle cooperation via communication. In Proceedings of the 2007 IEEE Intelligent Vehicles Symposium, Istanbul, Turkey, 13–15 June 2007; pp. 1095–1100. [Google Scholar]
- Talebpour, A.; Mahmassani, H.S. Influence of connected and autonomous vehicles on traffic flow stability and throughput. Transp. Res. Part C-Emerg. Technol. 2016, 71, 143–163. [Google Scholar]
- Gong, S.; Zhou, A.; Peeta, S. Cooperative adaptive cruise control for a platoon of connected and autonomous vehicles considering dynamic information flow topology. Transp. Res. Record. 2019, 2673, 185–198. [Google Scholar] [CrossRef]
- Ding, Y.; Zhuang, W.; Qian, Y.; Zhong, H. Trajectory planning for automated lane-change on a curved road for collision avoidance. In Proceedings of the WCX SAE World Congress Experience, Detroit, MI, USA, 9–11 April 2019. No. 2019–01-0673. [Google Scholar]
- Zong, F.; He, Z.; Zeng, M.; Liu, Y. Dynamic lane changing trajectory planning for CAV: A multi-agent model with path preplanning. Transp. B-Transp. Dyn. 2022, 10, 266–292. [Google Scholar] [CrossRef]
- Ghiasi, A.; Hussain, O.; Qian, Z.S.; Li, X. A mixed traffic capacity analysis and lane management model for connected automated vehicles: A Markov chain method. Transp. Res. Part B-Methodol. 2017, 106, 266–292. [Google Scholar] [CrossRef]
- Dong, J.; Chen, S.; Li, Y.; Du, R.; Steinfeld, A.; Labi, S. Space-weighted information fusion using deep reinforcement learning: The context of tactical control of lane-changing autonomous vehicles and connectivity range assessment. Transp. Res. Part C-Emerg. Technol. 2021, 128, 103192. [Google Scholar]
- Ma, C.; Hao, W.; Wang, A.; Zhao, H. Developing a coordinated signal control system for urban ring road under the vehicle-infrastructure connected environment. IEEE Access 2018, 6, 52471–52478. [Google Scholar]
- Chen, Z.; Lin, X.; Yin, Y.; Li, M. Path controlling of automated vehicles for system optimum on transportation networks with heterogeneous traffic stream. Transp. Res. Part C-Emerg. Technol. 2020, 110, 312–329. [Google Scholar] [CrossRef]
- Yao, H.; Li, X. Lane-change-aware connected automated vehicle trajectory optimization at a signalized intersection with multi-lane roads. Transp. Res. Part C-Emerg. Technol. 2021, 129, 103182. [Google Scholar]
- Liu, J.; Zhao, W.; Xu, C. An efficient on-ramp merging strategy for connected and automated vehicles in multi-lane traffic. IEEE Trans. Intell. Transp. Syst. 2021, 23, 5056–5067. [Google Scholar]
- He, Y.; Sun, D.; Zhao, M.; Cheng, S. Cooperative driving and lane changing modeling for connected vehicles in the vicinity of traffic signals: A cyber-physical perspective. IEEE Access 2018, 6, 13891–13897. [Google Scholar] [CrossRef]
- Heesen, M.; Baumann, M.; Kelsch, J.; Nause, D.; Friedrich, M. Investigation of cooperative driving behaviour during lane change in a multi-driver simulation environment. In Proceedings of the Human Factors and Ergonomics Society (HFES) Europe Chapter Conference Touluse, Boston, MA, USA, 22–26 October 2012; pp. 305–318. [Google Scholar]
- Lin, D.; Li, L.; Jabari, S.E. Pay to change lanes: A cooperative lane-changing strategy for connected/automated driving. Transp. Res. Part C-Emerg. Technol. 2019, 105, 550–564. [Google Scholar]
- Cao, W.; Mukai, M.; Kawabe, T.; Nishira, H.; Fujiki, N. Cooperative vehicle path generation during merging using model predictive control with real-time optimization. Control Eng. Pract. 2015, 34, 98–105. [Google Scholar] [CrossRef]
- Nie, J.; Zhang, J.; Ding, W.; Wan, X.; Chen, X.; Ran, B. Decentralized cooperative lane-changing decision-making for connected autonomous vehicles. IEEE Access. 2016, 4, 9413–9420. [Google Scholar]
- Wang, G.; Hu, J.; Li, Z.; Li, L. Cooperative lane changing via deep reinforcement learning. arXiv 2019, arXiv:1906.08662. [Google Scholar]
- Xu, M.; Luo, Y.; Yang, G.; Kong, W.; Li, K. Dynamic cooperative automated lane-change maneuver based on minimum safety spacing model. In Proceedings of the 2019 IEEE Intelligent Transportation Systems Conference (ITSC), Auckland, New Zealand, 27–30 October 2019; pp. 1537–1544. [Google Scholar]
- Goli, M.; Eskandarian, A. MPC-based lateral controller with look-ahead design for autonomous multi-vehicle merging into platoon. In Proceedings of the 2019 American Control Conference (ACC), Philadelphia, PA, USA, 10–12 July 2019; pp. 5284–5291. [Google Scholar]
- Guo, N.; Zhang, X.; Zou, Y.; Lenzo, B.; Zhang, T. A computationally efficient path-following control strategy of autonomous electric vehicles with yaw motion stabilization. IEEE Trans. Transp. Electrif. 2020, 6, 728–739. [Google Scholar] [CrossRef]
- Dini, P.; Saponara, S. Processor-in-the-loop validation of a gradient descent-based model predictive control for assisted driving and obstacles avoidance applications. IEEE Access 2022, 10, 67958–67975. [Google Scholar] [CrossRef]
- Cosimi, F.; Dini, P.; Giannetti, S.; Petrelli, M.; Saponara, S. Analysis and design of a non-linear MPC algorithm for vehicle trajectory tracking and obstacle avoidance. In Proceedings of the Applications in Electronics Pervading Industry, Environment and Society: APPLEPIES 2020, Online, 19–20 November 2020; Springer International Publishing: Berlin, Germany, 2021; pp. 229–234. [Google Scholar]
- Wang, D.; Hu, M.; Wang, Y.; Wang, J.; Qin, H.; Bian, Y. Model predictive control–based cooperative lane change strategy for improving traffic flow. Adv. Mech. Eng. 2016, 8, 1687814016632992. [Google Scholar]
- Li, B.; Zhang, Y.; Feng, Y.; Zhang, Y.; Ge, Y.; Shao, Z. Balancing computation speed and quality: A decentralized motion planning method for cooperative lane changes of connected and automated vehicles. IEEE T. Intell. Veh. 2018, 3, 340–350. [Google Scholar] [CrossRef]
- Li, T.; Wu, J.; Chan, C.; Liu, M.; Zhu, C.; Lu, W.; Hu, K. A cooperative lane change model for connected and automated vehicles. IEEE Access. 2020, 8, 54940–54951. [Google Scholar]
- Ni, J.; Han, J.; Dong, F. Multivehicle cooperative lane change control strategy for intelligent connected vehicle. J. Adv. Transp. 2020. [Google Scholar] [CrossRef]
- Luo, Y.; Yang, G.; Xu, M.; Qin, Z.; Li, K. Cooperative lane-change maneuver for multiple automated vehicles on a highway. Automot. Innov. 2019, 2, 157–168. [Google Scholar]
- Du, R.; Chen, S.; Li, Y.; Dong, J.; Ha, P.Y.J.; Labi, S. A cooperative control framework for CAV lane change in a mixed traffic environment. arXiv 2020, arXiv:2010.05439. [Google Scholar]
- Nie, G.; Xie, B.; Lu, H.; Tian, Y. A cooperative lane change approach for heterogeneous platoons under different communication topologies. IET Intell. Transp. Syst. 2022, 16, 53–70. [Google Scholar]
- Wang, Z.; Shi, X.; Zhao, X.; Li, X. Modeling decentralized mandatory lane change for connected and autonomous vehicles: An analytical method. Transp. Res. Part C-Emerg. Technol. 2021, 133, 103441. [Google Scholar] [CrossRef]
- Zheng, Y.; Ran, B.; Qu, X.; Zhang, J.; Lin, Y. Cooperative lane changing strategies to improve traffic operation and safety nearby freeway off-ramps in a connected and automated vehicles environment. IEEE Trans. Intell. Transp. Syst. 2019, 21, 4605–4614. [Google Scholar]
- Luo, Q.; Nguyen, A.T.; Fleming, J.; Zhang, H. Unknown input observer based approach for distributed tube-based model predictive control of heterogeneous vehicle platoons. IEEE Trans. Veh. Technol. 2021, 70, 2930–2944. [Google Scholar] [CrossRef]
- Bai, Y.; Zhang, Y.; Hu, J. A motion planner enabling cooperative lane changing: Reducing congestion under partially connected and automated environment. J. Intell. Transport. Syst. 2021, 25, 469–481. [Google Scholar] [CrossRef]
- Tian, D.; Luo, H.; Zhou, J.; Wang, Y.; Yu, G. A self-adaptive V2V communication system with DSRC. In Proceedings of the 2013 IEEE International Conference on Green Computing and Communications and IEEE Internet of Things and IEEE Cyber, Physical and Social Computing, Beijing, China, 20–23 August 2013; pp. 1528–1532. [Google Scholar]
- Sun, K.; Zhao, X.; Wu, X. A cooperative lane change model for connected and autonomous vehicles on two lanes highway by considering the traffic efficiency on both lanes. Transp. Res. Interdiscip. Perspect. 2021, 9, 100310. [Google Scholar] [CrossRef]
- Chovan, J.; Tijerina, L.; Alexander, G.; Hendricks, D.L. Examination of Lane Change Crashes and Potential IVHS Countermeasures; Final Report 1994; No. HS-808 071; ROSAP: Copenhagen, Denmark, 1994. [Google Scholar]
- Katrakazas, C.; Quddus, M.; Chen, W.H.; Deka, L. Real-time motion planning methods for autonomous on-road driving: State-of-the-art and future research directions. Transp. Res. Part C-Emerg. Technol. 2015, 60, 416–442. [Google Scholar]
- Coppola, A.; Lui, D.G.; Petrillo, A.; Santini, S. Cooperative Driving of Heterogeneous Uncertain Nonlinear Connected and Autonomous Vehicles via Distributed Switching Robust PID-like Control. Inf. Sci. 2023, 625, 277–298. [Google Scholar] [CrossRef]
- Hult, R.; Sadeghitabar, R. Path Planning for Highly Automated Vehicles. Master’s Thesis, Chalmers University of Technology, Gothenburg, Sweden, 2013. [Google Scholar]
- Hart, W.E.; Laird, C.D.; Watson, J.P.; Woodruff, D.L.; Hackebeil, G.A.; Nicholson, B.L.; Siirola, J.D. Pyomo-Optimization Modeling in Python; Springer: Berlin, Germany, 2017; Volume 67, p. 277. [Google Scholar]
- VanderWerf, J.; Shladover, S.; Kourjanskaia, N.; Miller, M.; Krishnan, H. Modeling effects of driver control assistance systems on traffic. Transp. Res. Record. 2001, 1748, 167–174. [Google Scholar] [CrossRef]
- Mar, J.; Lin, H.T. The car-following and lane-changing collision prevention system based on the cascaded fuzzy inference system. IEEE Trans. Veh. Technol. 2005, 54, 910–924. [Google Scholar]

















| Related Parameters | Value | Related Parameters | Value |
|---|---|---|---|
| 4 s | 3.5 m | ||
| 20 m/s | 30 m/s | ||
| 5 m | 1 | ||
| −1000 | 0.571 | ||
| 1 | −4 m/s2 | ||
| 2 m/s2 | 0.1 s | ||
| 200 | 200 | ||
| 200 | 200 | ||
| 500 | 500 | ||
| 1000 | 1000 | ||
| 1.2 s |
| Control Strategies | Scenario 1 | Scenario 2 | |||
|---|---|---|---|---|---|
| Indicators | CLC | CACC_Sine | CLC | CACC_Sine | |
| AvgDLD_M (m) | 0.630 | 0.432 | 0.718 | 0.928 | |
| StdDLD_M (m) | 0.952 | 1.029 | 1.091 | 1.972 | |
| MaxDLD_M (m) | 3.053 | 4.023 | 3.510 | 6.918 | |
| AvgDLD_A (m) | 0.733 | 2.487 | 0.835 | 3.748 | |
| StdDLD_A (m) | 1.649 | 6.048 | 1.896 | 6.404 | |
| MaxDLD_A (m) | 10.121 | 24.229 | 12.069 | 25.978 | |
| Control Strategies | Scenario 1 | Scenario 2 | |||
|---|---|---|---|---|---|
| Indicators | CLC | CACC_Sine | CLC | CACC_Sine | |
| AvgLSD_M (m/s) | 0.428 | 0.354 | 0.454 | 0.521 | |
| StdLSD_M (m/s) | 0.810 | 0.935 | 0.818 | 1.124 | |
| MaxLSD_M (m/s) | 4.050 | 5.323 | 3.850 | 5.953 | |
| AvgLSD_A (m/s) | 1.112 | 1.116 | 1.324 | 1.703 | |
| StdLSD_A (m/s) | 1.860 | 2.111 | 2.238 | 2.620 | |
| MaxLSD_A (m/s) | 6.552 | 8.711 | 7.864 | 10.283 | |
| Control Strategies | Scenario 1 | Scenario 2 | |||
|---|---|---|---|---|---|
| Indicators | CLC | CACC_Sine | CLC | CACC_Sine | |
| AvgLA_M (m/s2) | 0.166 | 0.166 | 0.067 | 0.066 | |
| StdLA_M (m/s2) | 0.459 | 0.805 | 0.674 | 1.144 | |
| MaxLA_M (m/s2) | 1.823 | 2.0 | 1.365 | 2.0 | |
| AvgLA_A (m/s2) | 0.067 | 0.066 | 0.033 | 0.033 | |
| StdLA_A (m/s2) | 0.974 | 1.521 | 1.071 | 1.516 | |
| MaxLA_A (m/s2) | 2.0 | 2.0 | 1.980 | 2.0 | |
| Control Strategies | Scenario 1 | Scenario 2 | |||
|---|---|---|---|---|---|
| Indicators | CLC | CACC_Sine | CLC | CACC_Sine | |
| AvgLJ_M (m/s3) | 0.0052 | 0.0133 | 0.0133 | 0.0133 | |
| StdLJ_M (m/s3) | 0.0558 | 0.2304 | 0.0907 | 0.2573 | |
| MaxLJ_M (m/s3) | 0.3458 | 3.2520 | 0.5256 | 3.7890 | |
| AvgLJ_A (m/s3) | −0.0067 | −0.0067 | 0.0007 | −0.0020 | |
| StdLJ_A (m/s3) | 0.1284 | 0.4651 | 0.1009 | 0.4087 | |
| MaxLJ_A (m/s3) | 0.3676 | 5.1104 | 0.4252 | 5.1577 | |
Disclaimer/Publisher’s Note: The statements, opinions and data contained in all publications are solely those of the individual author(s) and contributor(s) and not of MDPI and/or the editor(s). MDPI and/or the editor(s) disclaim responsibility for any injury to people or property resulting from any ideas, methods, instructions or products referred to in the content. |
© 2023 by the authors. Licensee MDPI, Basel, Switzerland. This article is an open access article distributed under the terms and conditions of the Creative Commons Attribution (CC BY) license (https://creativecommons.org/licenses/by/4.0/).
Share and Cite
Sun, K.; Zhao, X.; Gong, S.; Wu, X. A Cooperative Lane Change Control Strategy for Connected and Automated Vehicles by Considering Preceding Vehicle Switching. Appl. Sci. 2023, 13, 2193. https://doi.org/10.3390/app13042193
Sun K, Zhao X, Gong S, Wu X. A Cooperative Lane Change Control Strategy for Connected and Automated Vehicles by Considering Preceding Vehicle Switching. Applied Sciences. 2023; 13(4):2193. https://doi.org/10.3390/app13042193
Chicago/Turabian StyleSun, Kang, Xiangmo Zhao, Siyuan Gong, and Xia Wu. 2023. "A Cooperative Lane Change Control Strategy for Connected and Automated Vehicles by Considering Preceding Vehicle Switching" Applied Sciences 13, no. 4: 2193. https://doi.org/10.3390/app13042193
APA StyleSun, K., Zhao, X., Gong, S., & Wu, X. (2023). A Cooperative Lane Change Control Strategy for Connected and Automated Vehicles by Considering Preceding Vehicle Switching. Applied Sciences, 13(4), 2193. https://doi.org/10.3390/app13042193

