Adaptability Evaluation of Rotary Jet Grouting Pile Composite Foundation for Shallow Buried Collapsible Loess Tunnel
Abstract
1. Introduction
2. Model Establishment
2.1. Project Status
2.2. Model Test
2.2.1. Similarity Ratio
2.2.2. Material Selection
2.3. Numerical Simulation
2.3.1. Model Establishment
2.3.2. Pile Soil Coupling
3. Analysis of Deformation Control
3.1. Analysis of Deformation Control during Construction
3.1.1. Reinforcement Opportunity
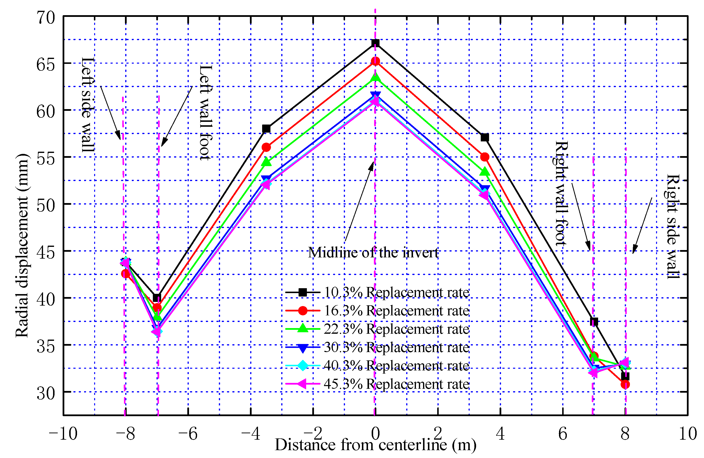
3.1.2. Reinforcement Scope
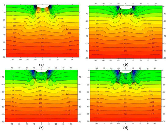
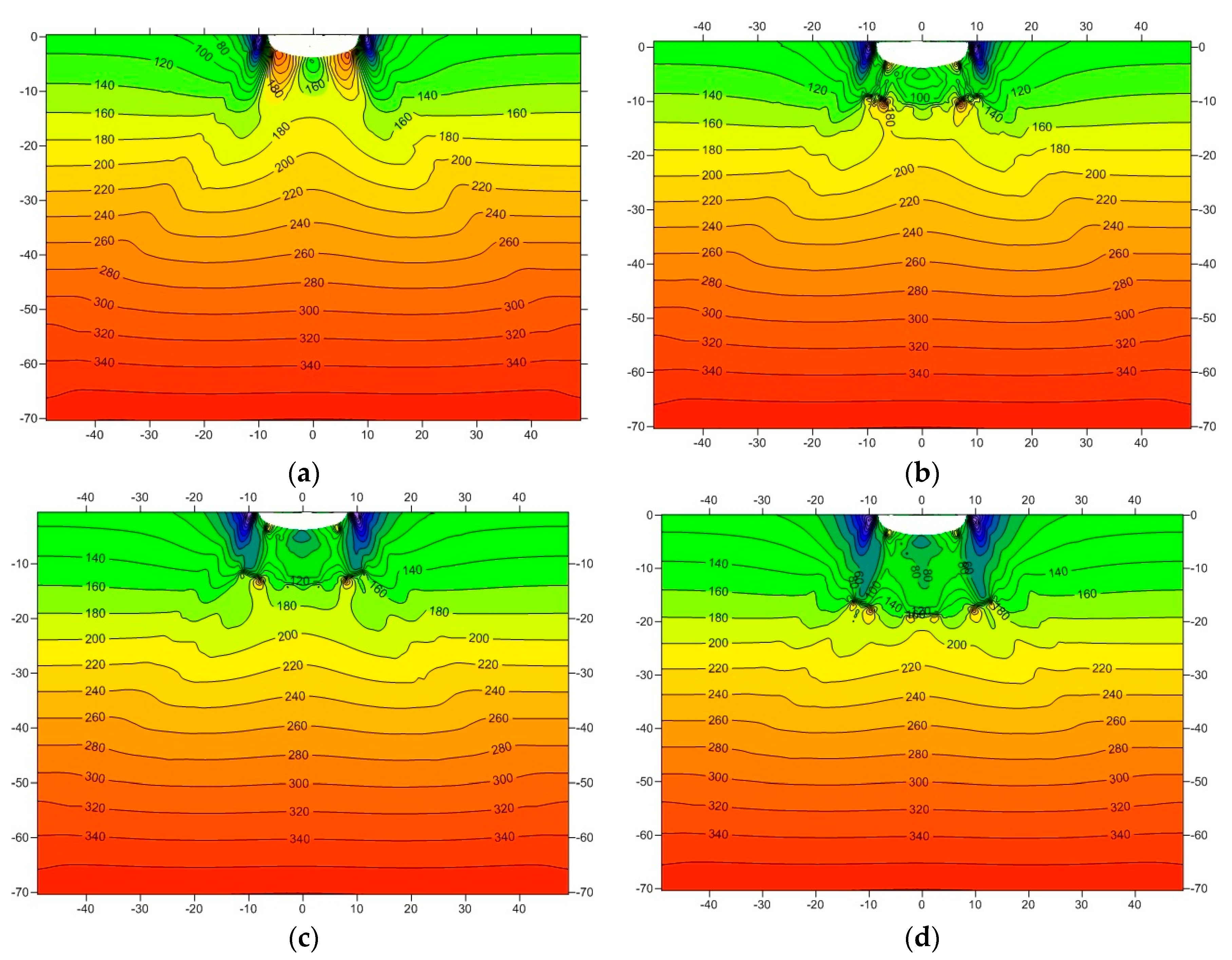
3.2. Analysis of Post-Construction Settlement Control
4. Analysis of Differential Deformation Control
4.1. Analysis of Differential Deformation Control during Construction
4.1.1. Variable Stiffness Method
4.1.2. Long Pile and Short Pile Combination Method
4.2. Analysis of Post-Construction Differential Settlement Control
4.3. Evaluation of Reinforcement Effect
5. Conclusion
Author Contributions
Funding
Institutional Review Board Statement
Informed Consent Statement
Data Availability Statement
Conflicts of Interest
References
- Zhu, H.Y.; Chen, J.X.; Luo, Y.B.; Li, Y.; Shi, Z.; Liu, W.W.; Wu, Y.F. The angle for setting foot reinforcement bolt based on the failure mode of shallow tunnel in loess. Tunn. Undergr. Space Technol. 2021, 108, 103689. [Google Scholar] [CrossRef]
- Ma, E.; Lai, J.; Xu, S.; Shi, X.; Zhang, J.; Zhong, Y. Failure analysis and treatments of a loess tunnel being constructed in ground fissure area. Eng. Fail. Anal. 2022, 134, 106034. [Google Scholar] [CrossRef]
- Assallay, A.M.; Rogers, C.D.F.; Smalley, I.J. Formation and collapse of metastable particle packings and open structures in loess deposits. Eng. Geol. 1997, 48, 101–115. [Google Scholar] [CrossRef]
- Haeri, S.M.; Khosravi, A.; Garakani, A.A.; Ghazizadeh, S. Effect of soil structure and disturbance on hydromechanical behavior of collapsible loessial soils. Int. J. Geomech. 2017, 17, 04016021. [Google Scholar] [CrossRef]
- Qiu, J.; Liu, H.; Lai, J.; Lai, H.; Chen, J.; Wang, K. Investigating the long-term settlement of a tunnel built over improved loessial foundation soil using jet grouting technique. J. Perform. Constr. Facil. 2018, 32, 04018066. [Google Scholar] [CrossRef]
- Sharifzadeh, M.; Kolivand, F.; Ghorbani, M.; Yasrobi, S. Design of sequential excavation method for large span urban tunnels in soft ground–Niayesh tunnel. Tunn. Undergr. Space Technol. 2013, 35, 178–188. [Google Scholar] [CrossRef]
- Kruse, G.A.; Dijkstra, T.A.; Schokking, F. Effects of soil structure on soil behaviour: Illustrated with loess, glacially loaded clay and simulated flaser bedding examples. Eng. Geol. 2007, 91, 34–45. [Google Scholar] [CrossRef]
- Jian-Guo, Y.; Yong-Li, X.; Yun-Zhou, W.; Wei, M. Pre-supporting with horizontal piles of jet grouting in weak loess tunnel. In Proceedings of the 2009 International Conference on Information Management, Innovation Management and Industrial Engineering, Xi’an, China, 26–27 December 2009; IEEE: Piscataway, NJ, USA, 2009; Volume 4, pp. 141–144. [Google Scholar]
- Huang, C.; Zhou, K.; Deng, B.; Li, D.; Song, Q.; Su, D. Influence of construction of the following tunnel on the preceding tunnel in the reinforced soil layer. Appl. Sci. 2022, 12, 10335. [Google Scholar] [CrossRef]
- Sun, H.; Sun, W. Effect of soil reinforcement on tunnel deformation as a result of stress relief. Appl. Sci. 2019, 9, 1420. [Google Scholar] [CrossRef]
- Huang, M.; Zou, C.; Meng, Z. The influence of different grouting methods on the surface environment of short clear distance tunnel. IOP Conf. Ser. Earth Environ. Sci. 2020, 510, 052063. [Google Scholar] [CrossRef]
- Zhao, H.H.; Chen, G.X.; Ye, B. Research on the deformation of single pile induced by adjacent shield driving. Chin. J. Undergr. Eng. 2010, 6, 794–802. [Google Scholar]
- Han, K.; Ju, J.W.W.; Kong, H.; Wang, M. Functional catastrophe analysis of progressive failures for deep tunnel roof considering variable dilatancy angle and detaching velocity. Rock Mech. Rock Eng. 2019, 52, 3987–3997. [Google Scholar] [CrossRef]
- Han, K.; Wang, L.; Su, D.; Hong, C.; Chen, X.; Lin, X.T. An analytical model for face stability of tunnels traversing the fault fracture zone with high hydraulic pressure. Comput. Geotech. 2021, 140, 104467. [Google Scholar] [CrossRef]
- Zhu, Y.P.; Du, X.Q.; Yang, X.H.; Li, H.J. Research on utility tunnel foundation treated by compaction piles and post-work immersion test in self-weight collapsible loess area with large thickness. Acad. Sin. 2019, 40, 2914–2924. [Google Scholar] [CrossRef]
- Li, Y.; Xu, S.; Liu, H.; Ma, E.; Wang, L. Displacement and stress characteristics of tunnel foundation in collapsible loess ground reinforced by jet grouting columns. Adv. Civ. Eng. 2018, 2018, 2352174. [Google Scholar] [CrossRef]
- Dapeng, L.; Xiaohua, Y.; Zhengjun, M. Research on high-pressure chemical churning pile in loess tunnel foundation reinforcement. In Proceedings of the 2013 Fourth International Conference on Digital Manufacturing & Automation, Shinan, China, 29–30 June 2013; IEEE: Piscataway, NJ, USA, 2013; pp. 1058–1060. [Google Scholar]
- Wu, B.; Zhang, Z.; Huang, W. Comparison and selection of reinforcement schemes for shield tunnelling close crossing high-speed railway viaduct group. IOP Conf. Ser. Earth Environ. Sci. 2019, 267, 042119. [Google Scholar] [CrossRef]
- Li, Z.; Chen, Z.; Wang, L.; Zeng, Z.; Gu, D. Numerical simulation and analysis of the pile underpinning technology used in shield tunnel crossings on bridge pile foundations. Undergr. Space 2021, 6, 396–408. [Google Scholar] [CrossRef]
- Li, Y.Y.; Xie, K.; Sun, Y.M.; Li, S.H.; An, X.H. Stress and deformation analysis and reinforcement time selection of composite foundations in shallow loess tunnels. Chin. J. Rock Mech. Eng. 2019, 38, 2332–2343. [Google Scholar]
- Xue, X.H.; Su, Z.M.; Sun, Z.J.; Song, F. Instability mechanism and supporting measure for highway tunnel with high ground stress and soft surrounding rock. Adv. Mater. Res. 2014, 1049, 213–216. [Google Scholar] [CrossRef]
- Peng, Z.Y.; Liu, W.N.; Zeng, Q.L. Research on pre-reinforcing composite foundation with a shield tunnel under-passing. Adv. Mater. Res. 2011, 243, 3556–3559. [Google Scholar] [CrossRef]
- Huang, S.; Chen, Z.; Xie, Y.; Lin, Z. A variational approach to the analysis of excavation-induced vertical deformation in a segmental tunnel. Tunn. Undergr. Space Technol. 2022, 122, 104342. [Google Scholar] [CrossRef]
- Sun, H.; Zhang, J.; Zhao, G.; Wang, H. Tunnel behaviour caused by basement excavation in clay. Geofluids 2021, 2021, 5570846. [Google Scholar] [CrossRef]
- Chen, B.; Wen, Z. Elasto-plastic analysis for the effect of longitudinal uneven settlement on shield tunnel. In (RE) Claiming the Underground Space; Routledge: London, UK, 2003; pp. 969–974. [Google Scholar]
- Aygar, E.B. Evaluation of new Austrian tunnelling method applied to Bolu tunnel’s weak rocks. J. Rock Mech. Geotech. Eng. 2020, 12, 541–556. [Google Scholar] [CrossRef]
- Wu, R.; Fujita, Y.; Soga, K. Integrating domain knowledge with deep learning models: An interpretable AI system for automatic work progress identification of NATM tunnels. Tunn. Undergr. Space Technol. 2020, 105, 103558. [Google Scholar] [CrossRef]
- Sun, Z.; Zhang, D.; Fang, Q.; Dui, G.; Chu, Z. Analytical solutions for deep tunnels in strain-softening rocks modeled by different elastic strain definitions with the unified strength theory. Sci. China Technol. Sci. 2022, 65, 2503–2519. [Google Scholar] [CrossRef]
- Liu, L.; Li, Z.; Liu, X.; Li, Y. Frost front research of a cold-region tunnel considering ventilation based on a physical model test. Tunn. Undergr. Space Technol. 2018, 77, 261–279. [Google Scholar] [CrossRef]
- Sun, Z.; Zhang, D.; Fang, Q.; Huangfu, N.; Chu, Z. Convergence-confinement analysis for tunnels with combined bolt–cable system considering the effects of intermediate principal stress. Acta Geotech. 2022, 1–26. [Google Scholar] [CrossRef]
- Liu, L.; Cai, G.; Zhang, J.; Liu, X.; Liu, K. Evaluation of engineering properties and environmental effect of recycled waste tire-sand/soil in geotechnical engineering: A compressive review. Renew. Sust. Energ. Rev. 2020, 126, 109831. [Google Scholar] [CrossRef]





















| Number | Route Name | Tunnel Name | Length | Distress Location | Distress Condition |
|---|---|---|---|---|---|
| 1 | Shenmu-Shuozhou | Shekoumao | 5804 | Arch wall, tunnel Foundation, ballast bed | Cracks occurred on the arch wall; ponding in the tunnel bottom; cracking of tunnel bottom and channel; subsidence of ballast bed |
| 2 | Shenmu-Shuozhou | Huojialiang | 4722 | Tunnel foundation, ballast bed | Mud pumping of foundation; subsidence of ballast bed |
| 3 | G312 | Qijiadashan | 860 | Lining, pavement | Cracks occurred on the pavement and lining |
| 4 | Baotou-Xi’an | Maotianshan | 14,915 | Ballast, ballast bed | Larger deformation occurred on the ballast bed; mud pumping of the foundation |
| 5 | Baotou-Xi’an | Tongmushi | 8282 | Tunnel foundation | Water emitting caused by cushion cracks |
| 6 | Baotou-Xi’an | Jiuyanshan | 9353 | Ballast bed | Mud pumping induced by cushion cracks |
| 7 | Baotou-Xi’an | Sizehe | 7655 | Ballast bed | Mud pumping of foundation; subsidence of ballast bed |
| 8 | Taiyuan-Yinchuan | Hengshan | 11,448 | Tunnel foundation | Cracks occurred on the cushion |
| 9 | Taiyuan-Yinchuan | Xingwangmao | 11,055 | Tunnel foundation | Cracks occurred on the cushion; mud pumping of the foudation |
| 10 | Xi’an-Yan’an | Lingjiachuan | 1137 | Tunnel foundation | Water emitting caused by cushion cracks |
| Structure | Elastic Modulus E (MPa) | Poisson’s ratio μ | Weight γ kN/cm3 | Collapsibility Coefficient δs | Compressive Strength Rc (MPa) |
|---|---|---|---|---|---|
| Surrounding rock structure | 1.3 | 0.3 | 15.2 | 0.043 | —— |
| Lining structure | 3300 | 0.38 | —— | —— | 25 |
| Jet grouting pile | 260 | 0.25 | —— | —— | 0.315 |
| Material | Weight γ (KN/cm3) | Elastic Modulus E (GPa) | Poisson’s Ratio μ | Cohesion c (kPa) | Internal Friction Angle φ (°) |
|---|---|---|---|---|---|
| Loess | 15.2 | 0.052 | 0.32 | 20 | 28 |
| Lining structure | 17.2 | 3.3 | 0.38 | —— | —— |
| Jet grouting pile | 20 | 10.4 | 0.25 | —— | —— |
Disclaimer/Publisher’s Note: The statements, opinions and data contained in all publications are solely those of the individual author(s) and contributor(s) and not of MDPI and/or the editor(s). MDPI and/or the editor(s) disclaim responsibility for any injury to people or property resulting from any ideas, methods, instructions or products referred to in the content. |
© 2023 by the authors. Licensee MDPI, Basel, Switzerland. This article is an open access article distributed under the terms and conditions of the Creative Commons Attribution (CC BY) license (https://creativecommons.org/licenses/by/4.0/).
Share and Cite
Li, Z.; Zhao, J.; Hu, K.; Li, Y.; Liu, L. Adaptability Evaluation of Rotary Jet Grouting Pile Composite Foundation for Shallow Buried Collapsible Loess Tunnel. Appl. Sci. 2023, 13, 1570. https://doi.org/10.3390/app13031570
Li Z, Zhao J, Hu K, Li Y, Liu L. Adaptability Evaluation of Rotary Jet Grouting Pile Composite Foundation for Shallow Buried Collapsible Loess Tunnel. Applied Sciences. 2023; 13(3):1570. https://doi.org/10.3390/app13031570
Chicago/Turabian StyleLi, Zhiqiang, Jinpeng Zhao, Kunkun Hu, Youyun Li, and Lulu Liu. 2023. "Adaptability Evaluation of Rotary Jet Grouting Pile Composite Foundation for Shallow Buried Collapsible Loess Tunnel" Applied Sciences 13, no. 3: 1570. https://doi.org/10.3390/app13031570
APA StyleLi, Z., Zhao, J., Hu, K., Li, Y., & Liu, L. (2023). Adaptability Evaluation of Rotary Jet Grouting Pile Composite Foundation for Shallow Buried Collapsible Loess Tunnel. Applied Sciences, 13(3), 1570. https://doi.org/10.3390/app13031570
