Abstract
Currently, many virtual simulation design studies of compression pants do not consider pressure distribution and human body characteristics. Therefore, this study aimed to optimize the simulation design accuracy of compression pants by investigating female body characteristics to improve the pressure distribution and enhance comfort. Firstly, we divided the body part features into flexible and rigid parts, performed compression relationship analysis between the material and the body, and collected qualitative and quantitative data related to the potential influencing factors. Subsequently, by conducting correlation analysis of the data, a pressure prediction model was established to address the pressure value errors in the simulation data. The research results showed that there was a significant difference between the real and virtual pressures in the flexible parts of the female body, and that the real pressure was closely related to the elasticity and thickness properties of the material. By optimizing virtual pressure values, the consistency between the virtual pressure and real test results can be significantly improved. The accurate prediction and optimization of pressure values can lead to the reduction of material waste and energy consumption during the manufacturing process.
1. Introduction
In recent years, as the promotion of various leisure and fitness sports has increased, alongside the emphasis on personal physical quality and health, people have put forward stricter requirements for the quality and functionality of compression pants worn during sports. The demand for compression pants is not limited to the style and material, but pays more attention to its functionality. Compression pants are a type of tight clothing designed to provide moderate pressure and enhance comfort and support during exercise. However, most of the women’s functional compression pants available on the market today are not ideal to wear, and there are also products of varying quality, and most female consumers want to enhance the performance design, which they deserve.
Many studies have concluded that the performance of the material is the pivotal factor influencing the comfort felt while wearing compression pants [1,2,3]. However, it is worth noting that well-designed and balanced pressure distribution can greatly enhance both the comfort and aesthetic appeal of these pants [4]. The absence of realistic pressure distribution can result in the compression pants feeling unnatural, restrictive, or uncomfortable when virtually worn, subsequently impacting the user’s satisfaction and acceptance. There is no fixed standard value for the pressure value of compression pants because the ideal pressure will vary depending on individual differences, the type of exercise, and the purpose. The design of compression pants should be adjusted according to the needs of the sport and personal preference; the pressure applied by different brands, materials, and specific designs of compression pants can vary and is usually measured in millimeters of mercury (mmHg) or kilopascals (kPa), with a common pressure range from 10 mmHg to 30 mmHg or higher [5]. However, it is important to note that a higher pressure does not always mean a better performance or recovery. If the product ignores the pressure value design of the compression pants, it may lead to the problem of unreasonable pressure distribution. An excessive pressure value can have negative effects on the human body, such as reduced blood circulation, muscle hypoxia, fatigue, and discomfort [6]. On the contrary, excessively low pressure values may cause harm and adverse effects during movement, will be unable to provide adequate support, may increase the instability and risk of injury during exercise, and fail to achieve the desired effect. Moderate pressure and reasonable pressure distribution can provide support and comfort [7], promote blood circulation and muscle recovery, while avoiding some adverse effects on human health and exercise performance. Therefore, for sports compression pants products, it is very important to maintain a suitable pressure value [8].
For performance-oriented sports functional clothing, these design problems can be predicted and solved by considering pressure simulations in the development of virtual compression pants, thereby improving the overall performance of compression pants. Simulation designs play an important role in the development of compression pants, as they enable a quick test through a virtual try-on evaluation. However, relying solely on simulating the appearance of compression pants, while ignoring the pressure characteristics may lead to design defects related to the fit, mobility, and functionality of the compression pants and fail to achieve the desired compression effect. Furthermore, an inaccurate pressure simulation is also a major problem, as the design cannot fully consider the pressure distribution and material stretch within the design process. For example, excessive pressure in areas such as the crotch and knees may cause limitations and discomfort in wearing or exercising, while insufficient pressure in areas such as the hips and thighs may lead to an inadequate fit or support. In addition, pressure simulation plays a key role in predicting how materials behave at different pressure levels, including predicting the impact of material stretching, recovery, and compression properties on pressure characteristics [9]. Therefore, integrating pressure simulation into the design process is essential to improve the authenticity and accuracy of compression suit designs.
To overcome these limitations, further research and improvements are needed to enhance the virtual simulation methods and ensure the more accurate reproduction of the real wearing experience [10]. To ensure the accuracy and reliability of virtual simulation, it is necessary to study the consistency between the virtual and real pressure values [11].
By means of experimental testing and numerical simulation, many researchers have studied the consistency between the real and virtual pressure values of compression pants, which provides a valuable reference for improving and optimizing the virtual simulation design process. Zhang et al. [12] analyzed the relationship between contact pressure and strain and its changing trend by using the finite element method and established an equation to evaluate the pressure of simulated socks. Jariyapunya and Musilová [13] discovered that the predicted pressure was close to the pressure measured using the compression tester on a rigid body, while the soft tissue surface had no effect on the pressure disturbance, and the measured pressure was close to the predicted pressure value obtained via modeling. Dan and Shi [14] adopted the finite element method to simulate the dynamic relationship between waist pressure and the displacement of elastic tights. Zhang [15] compared and analyzed experimental pressure data with clothing comfort pressure data and verified the simulation, optimization, and correction of clothing structure rationality, which can effectively improve the accuracy of clothing structure simulation design. Hu et al. [16] used CLO 7.0 software to carry out virtual fitting, extract the feature points, and establish a virtual pressure comfort evaluation model. Brubacher et al. [17] used Optitex to simulate the pressure distribution of compressed garments and confirmed the effectiveness of virtual simulation in evaluating the performance of compressed garments. Lee et al. [18] examined stress and strain through 3D virtual fitting to assess the users’ satisfaction with the movement of body parts and posture, wearing comfort, and compression, while wearing tight pants. These studies emphasize the importance and reliability of virtual simulation in predicting the pressure value of compressed clothing design, provide guidance for improving and optimizing the virtual design process of compressed clothing, and contribute to the progress of virtual simulation technology and its integration with the compressed clothing design workflow.
In the past, evaluating the comfort of clothing often required making multiple physical prototypes for testing. However, checking the fit and wearing condition of the finished product by accurately simulating and adjusting the pressure of the garment to intuitively design and adjust the garment can help designers develop ergonomically correct the compression pants, improve their fit, and enhance the product quality [19]. It is also helpful to carry out virtual clothing personalization, considering each person’s body shape and needs, so as to better adapt to the curves and contours of the human body [20], meet the changing needs of consumers, and maintain a competitive edge in the rapidly changing fashion industry.
To sum up, accurate pressure simulations have a wide application prospect in the development of virtual clothing. They can quickly evaluate the effect of different design schemes, shorten the design iteration cycle, improve the design efficiency, and promote personalized customization. By combining pressure simulation and other relevant features, the success rate and users’ satisfaction of virtual compression pants or other clothing design processes can be improved. At the same time, the need for physical prototypes and samples, the development cost and time investment, and the consumption of raw materials and resources can be also reduced, which helps to reduce the environmental impact and has great significance for the sustainable development of the industry and economy [21].
2. Materials and Methods
2.1. Experimental Scheme
This research program is carried out in two contexts, virtual and real, by studying the physical properties of the materials, human characteristics, dimensions, and comfort. The detailed steps are shown in Figure 1.
Figure 1.
Research flowchart.
Before conducting the simulation experiment on the compression pants, it is necessary to correct and compare the performance simulations of the real material. This ensures that the subsequent compression pants simulation can achieve the desired effect. The collected data are analyzed, the conversion model of virtual and real data are established, and then the compression pants are evaluated as they are tried on.
2.2. Body Dimension
Ninety female woman aged between 18 and 28 years with a height of 161.4 ± 5.6 cm were used as the study subjects, the statistical values of key parts are shown in Table 1. A human body model was built, and a human body database was created using a 3D scanner (Human Solutions VITUS Smart XXL, Kaiserlauten, Germany). A preliminary analysis of their body type characteristics was conducted by obtaining their 3D body scan models and related data to identify suitable samples for the study.
Table 1.
Description of the measurement data, cm.
Then, to mitigate the impact of individual variations on the material pressure test, according to the average body size in the body data, six subjects with a similar body type (body weight 49.6 ± 4.2 kg, BMI 19 ± 3.0) were selected from the type with the widest coverage for the physical experiment. Before the experiment, the relevant experimental procedures and precautions were explained to the experimenters, so that the subjects could understand the experimental scheme, the test method, and process and clarify the test indicators and tasks to be completed. No strenuous exercise was performed one day before the experiment.
All the participants participated in the study voluntarily, obtained via written informed consent, and we ensured the confidentiality of their personal information. The participants explicitly agreed to the publication of the findings. Consent was obtained without any form of coercion, bribery, or misinformation. The study adhered strictly to the national and international research ethics guidelines.
2.3. Experimental Materials
Through a product survey and corresponding analysis of the collected data, it was found that compression pants on the market have fewer structural lines, more simple and classic pattern blocks, and are designed with separate crotch pieces. The separate crotch piece improves the functionality and comfort and improves the wearer’s freedom of movement while running.
The main components that compression pants generally contain are polyester fiber (polyester), spandex, and nylon. Five samples of weft-knitted knitted stretch materials were selected as the materials for this experiment (Table 2), and their properties were tested, and data were obtained using the KES-FB1...4 instrument from Japan’s KATO TECH. (Table 3).
Table 2.
Experimental material data.
Table 3.
Indexes of materials tested by KES-FB1…4.
2.4. Compression Test
The real pressure were was collected using the AMI3037-2 pressure tester, with a sensor thickness of 1 mm, a measuring range of 0–34.0 kPa (measuring accuracy ± 0.1 kPa), and the measurement duration of the single body part was 30 s. A virtual pressure measurement was performed directly using CLO 7.0 software. First, the corresponding preset virtual five materials in CLO 7.0 were selected, and their density, thickness, and other physical property parameters were adjusted [9]. Then, a virtual material strip was created on the corresponding body part, which was sewn and placed on the virtual body to test its pressure value.
In this study, the pressure test was divided into two parts, and five materials were tested at each of the seven girths of the lower limb (Figure 2). The first part was the static pressure and tensile experiments on the material (carried out in the real and virtual environments, respectively). For this, the material was cut into 10 cm wide strips, with the lengths adjusted according to the girths of the corresponding body parts and were stretched for each girth: 5% (low strength), 10% (medium strength), 15% (medium–high strength), and 20% (high strength). Simultaneously, the pressure values of each part were collected, and six collection points were designated for each girth (Figure 2). The second part involved the dynamic and static pressure tests of the samples, which were also performed in both real and virtual environments.
Figure 2.
Test location and points.
The experiment was designed to be carried out in a closed laboratory, with a room temperature of 20 ± 2 °C, a relative humidity of 55 ± 5%rh, and a wind speed of ≤1 m/s to eliminate the influence of the external environment.
The purpose of this study was to investigate the compressibility simulation effect of women’s compression pants. Using 3D software to simulate the effect of the try-on and testing virtual pressure values, the optimization results were quantitatively analyzed, and real objective pressure test samples were made and analyzed.
3. Results
3.1. “Virtual-Real” Comparison of Material Pressure Properties
Firstly, the real pressure (PR) measurement was conducted following the aforementioned pressure testing procedure to record the pressure data provided by five materials under different elongation conditions. Subsequently, the same virtual pressure (PV) measurement was then performed in the virtual system.
After the measurement was completed, the normality test of the data was conducted. The Shapiro–Wilk results are shown in Table 4.
Table 4.
Tests of normality.
The test results of normality show all p values > 0.05; that is, the PR and PV measured values follow a normal distribution. Further, the results of variance homogeneity test are shown in Table 5.
Table 5.
Test of homogeneity of variance.
The pressure values of each test point under different postures also passed the homogeneity test of variance (p value > 0.05). The two groups of PR and PV have the same number of samples, the same test methods, and the sequence also has a one-to-one correspondence, so the paired t-test can be performed for analysis to observe whether there is a significant difference between the two groups of data (Table 6).
Table 6.
Paired samples test.
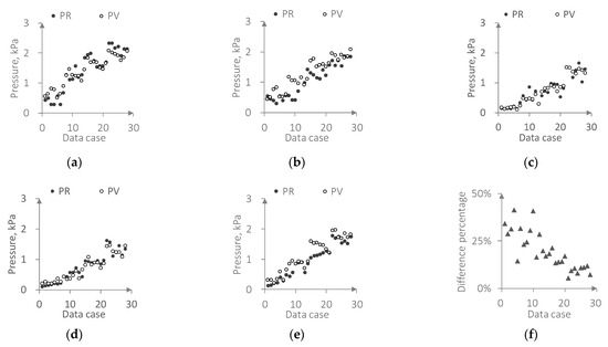
Table 6 gives the results of statistical test, t = 4.246 and p value < 0.05, indicating that there is a significant difference between the measured and virtual pressure values. However, the mean difference in the data is not large (0.086 kPa). It is necessary to further analyze the PV and PR data to obtain accurate results for the later simulation. After descriptive statistical analysis, Figure 3 shows the comparison of PV and PR data and the mean percentage difference (n = 28).
Figure 3.
Comparison of PV and PR data of five materials: (a–e) pressure of M1, M2, M3, M4, and M5; (f) average difference.
It can be found from the data distribution that the PV and PR data of the five materials are consistent overall. With the increase in the stretch (within the range of 20%), the percentage difference between the PV and PR data showed a decreasing trend (Figure 3f), range from 29.2%, 25.4%, 14.7%, to 9.8%.
In Table 7, the average difference between PV and PR is not obvious. The Dif(Max-Min) range of PR is greater (0.59...1.31 kPa), the PV range is smaller (0.79...1.10 kPa), and the low-pressure PV data are significantly higher, especially when the material elongation (E) ≥ 10%. Due to the rigid characteristics of the model, the flexible parts of a real body cannot be expressed, so the median PV is too large. Moreover, the complex flexible features of a body need to be considered. The pressure data can be subdivided into two categories: one for the flexible soft tissue parts with smaller curvature parts, such as the five girths of the waist, hips, thighs, mid-thighs, and calves; and the other for the rigid human skeletal parts with a large curvature, such as the girths of the knees and ankles. The data were analyzed separately (Table 8).
Table 7.
Differences in pressure data (Dif.PR–PV) under frequency statistics, kPa.
Table 8.
Average difference values of PR–PV in various body parts, kPa.
The analysis results show that as the elongation decreases, the average PR–PV difference value gradually increases, indicating that there are significant differences in the pressure distributions of different human body parts. The rigid parts show smaller pressure differences, while the flexible parts show significant differences.
At 10% and 20% elongation, the average difference in PR–PV at the waist and ankles was the smallest (0.02 kPa). In contrast, the hips had the largest average PR–PV difference value (−0.10 kPa). Overall, the average difference between PR and PV at different sites was generally negative or close to 0. However, it is important to note that the difference values for each elongation are consistently small for the rigid parts such as the knees, which may indicate higher pressure stability for the rigid parts that remains consistent across states.
As can be seen from Table 8, the PV values of the flexible parts need to be considered and optimized in virtual systems. In the design and manufacturing process of materials, we should pay special attention to these data to optimize the PV.
3.2. Correlation Analysis and Modeling
The construction of the modified model needs to be based on real parameters. The PR, PV, and material KES data were then used for a bivariate analysis using SPSS 25. The critical value of the overall Pearson’s correlation coefficient (two-tailed test) was r ≥ 0.76, with a significance level of 0.05%. Table 6 demonstrates the mean values of correlation coefficients in multiple tensile states of the material.
For easy observation, only the average correlation coefficients with a high significance value (p value < 0.05), such as the thickness characteristic TM, are shown in the table. As can be seen in Figure 4, in the rigid part, the KES test data for the T0 and TM variables had a significant positive correlation with PR of 5…20%, whereas in the flexible part, the thickness properties of the RC, T0, and TM variables of the materials have significant positive correlations with PV of 5…20% of the PV. Moreover, the elastic properties of the LT and EMT variables have significant negative correlations with pressure. Based on this relationship, the PV test values of flexible parts can be optimized.
Figure 4.
Correlation between pressure under different stretching conditions and KES data.
It is important to note that the correlation coefficient in Figure 4 represents only the correlation between the pressure at different material elongation values and the KES test data and does not represent a causal relationship. Therefore, more in-depth studies are needed to determine the significance and implications of these relationships. In addition, due to the testing limitations, these results are only applicable to specific fabric types and testing conditions.
The thickness and elasticity of the elastic material have a great influence on the pressure, followed by tension; it can be judged that the analysis results of the PR, PV, and KES data are reasonable. The pressure data of key parts of the human body (within 20%) and the KES parameters were further analyzed, and the statistics are shown in Figure 5.
Figure 5.
Correlation between average pressure and KES data.
From the results in Figure 5, it can be seen that the correlation results between the PV and KES data are more significant. The correlation between the thickness characteristic of TM and PR and PV of several parts, such as ankles, waist, hips, and legs, was strong, with correlation coefficients ranging from 0.85 to 0.96. In addition, the correlation between the elastic properties of EMT and PR and PV of several parts, such as the thighs, hips, ankles, and waist, was strong, with correlation coefficients ranging from 0.85 to 0.91. The thickness and elastic properties of the materials are significantly correlated with the pressure values of multiple body parts, and the tensile and thickness properties of materials in the virtual system also have a greater influence on the pressure values. The strong correlation between the PV and KES data can be used to analyze the pressure value of the flexible parts.
Six groups of pressure values that need to be corrected are marked in Figure 6, and there are significant correlations between the six groups of PR and the KES parameters, TM, T0, and LT, etc., in the state of tensile change. Therefore, the model can be constructed based on the real KES data correction.
Figure 6.
The PR measurement and prediction values based on the mechanical properties of the material: (a) PRhip (E = 15%) calculated based on variable LT; (b) PRhip (E = 10%) calculated based on variable T0; (c) PRwaist (E = 10%) calculated based on variable T0; (d) PRthigh (E = 5%) calculated based on variable HG5; (e) PRmid-thigh (E = 5%) calculated based on variable HG5; (f) PRcalf (E = 5%) calculated based on variable G.
The regression analysis between the highly correlated variables was carried out using SPSS, and the prediction calculation model of PR (elongation ≤ 20%) was obtained.
The in Equations (1) to (6) represents predicted values at Ehip = 15%, Ehip = 10%, Ewaist = 10%, Ethigh = 5%, Emid-thigh = 5%, and Ecalf = 5%, respectively. LT, T0, HG5, and G are the KES tensile, thickness, and bending parameters of the material, respectively. The equations can be used to correct for pressure values that are not as accurate as those in the predicted simulations.
4. Simulation and Comparison
Based on the above tests, the validation was carried out using virtual software (Figure 7). First, the CAD samples of compression pants for average body size were imported into the CLO 7.0 system, and the samples were assembled into a 3D model via virtual sewing. Secondly, the compression pants model was worn on the human body, and different ease values (ease allowance for the clothing structural design) for different body parts were added, respectively. In the structural design, the proportions of −10%, −10% (−15%), −5%, −5%, and −5% were added to the waist, hips, thighs, mid-thighs, and calves, respectively, to satisfy the pressure values of each part of the human body under six different ease states (Figure 8). At the same time, the parameters of thickness, density, and elasticity were adjusted in the fabric physical property settings in CLO 7.0 to be consistent with the physical data measured for the real fabric.
Figure 7.
Pattern blocks of compression pants.
Figure 8.
Compression pant models with pressure maps.
From the color map of the compression pants constructed from five materials in a static standing pose, it can be seen that the yellow and green color distributions are dominant, and the pressure is moderate (the maximum value was less than 2.0 kPa). The measured pressure values of M1, M2, and M5 had a higher PV than those of M3 and M4, which is in accordance with the real pressure testing. Then, the mean pressure values of each part of the waist, hips, thighs, mid-thighs, and calves were measured, as shown in Figure 9.
Figure 9.
Compare the prediction with test results of compression pants.
The comparison of the calculated results of the prediction equations with the real test results shows that the mean value of the relative error between PR and is 11.1%, and the absolute error is 0.04 kPa, and the relative error is small and almost negligible, especially at the waist and calves, while the mean value of the relative error between PR and PV reached 63.0%, with an absolute error of 0.19 kPa. It can be seen that the accuracy of the simulated pressure test values of compression pants with the same multi-calculated calibration improved by 0.15 kPa.
5. Conclusions
This study focuses on the relationship between the compression simulation effect of compression pants and female human body characteristics, comparing virtual and real compression performance tests on a variety of common compression pants elastic fabrics, as well as data analysis and model construction. Finally, the following conclusions are drawn: The PV simulation values of the females’ flexible parts need more attention and numerical optimization, and the construction of corrective and predictive equations in this study enables the optimization of objective eigenvalues for flexible parts with feasibility.
It can be seen from the real and virtual results that even though there is a significant difference between the PV and PR values, the mean difference is not large (0.09 kPa). The percentage difference between the PV and PR of the five fabrics shows a decreasing trend as the stretch increases (within 20%). It shows that under a strong tensile force, the pressure value will increase and tend to a certain value, and the difference will be reduced. However, there is a significant difference between PV and PR in the flexible body parts, the waist, hips, and thighs. Among the flexible parts, the compression recovery rate RC and the thickness characteristics T0 and TM have a significant positive correlation with PV; and the tensile linearity LT and EMT parameters of the elastic properties have a significant negative correlation with PV.
Moreover, the virtual and real results are generally consistent. However, there is still a small amount of deviation in the flexible parts. By comparing the virtual simulation with the real measurement data, the parameters and algorithms of the virtual simulation system can be adjusted to improve the accuracy of the pressure simulation. The accuracy of pressure simulation value can be increased by 51.9% through a calculation.
The compression pants’ effect is designed to optimize humans’ efficiency, safety, and comfort. The structure characteristics of different body parts, such as the elasticity and deformation properties of muscle tissues, need to be considered when calibrating the pressure values for virtual simulations. By combining ergonomic theories, the algorithms and models of the virtual simulation system can be adjusted to make them similar to a real human body’s response.
This not only improves the efficiency of clothing development and shortens the cycle, but also reduces the costs. By minimizing the errors in the virtual simulation, the need for physical prototyping and testing can be decreased, resulting in reduced material usage and a smaller ecological footprint.
Future studies could further explore the adaptation and effects of compression pants on different body types and body sizes in order to provide more individualized choices and recommendations. To draw more generalizable conclusions, the studies should include diverse samples covering people of different ages, body types, and body sizes. This would provide a better understanding of the effects of compression pants on all people, not just specific groups. And it should strengthen the deepening investigation of the accurate performance of virtual design, further enhance the feasibility of clothing design in a virtual system, and provide a high-efficiency technical reference for design and production.
Author Contributions
Conceptualization, Z.C. and X.W.; methodology, Z.C.; software, Z.C. and X.W.; validation, X.W. and Z.C.; formal analysis, Z.C.; investigation, Z.C. and X.W.; resources, V.K.; data curation, Z.C.; writing—original draft preparation, Z.C.; writing—review and editing, V.K. and X.W.; project administration, Z.C.; funding acquisition, X.W. All authors have read and agreed to the published version of the manuscript.
Funding
This research was funded by Hubei Provincial Department of Education, the Philosophy and Social Sciences Research Project (21Q104, 22Q089), the Nurture Project of WTU (Grant Numbers: 20220609 and 2023022), and the WTU Teaching and Research Project (Grant Numbers: 2021JY105 and 2022JY7).
Institutional Review Board Statement
Not applicable.
Informed Consent Statement
Informed consent was obtained from all subjects involved in the study. Written informed consent was obtained from the patient(s) to publish this paper.
Data Availability Statement
The data presented in this study are available on request from the corresponding author. The data are not publicly available due to privacy or ethical.
Conflicts of Interest
The authors declare no conflict of interest.
References
- Wu, X.; Cheng, Z.; Kuzmichev, V.E. Dynamic Fit Optimization and Effect Evaluation of a Female Wetsuit Based on Virtual Technology. Sustainability 2023, 15, 2197. [Google Scholar] [CrossRef]
- Lee, H.; Kim, K.; Lee, Y. Effect of Compression Pants on EEG Spectrum. Int. J. Cloth. Sci. Technol. 2019, 32, 197–207. [Google Scholar] [CrossRef]
- Zhang, N.; Liu, C. Study on the Influence of Elastic Compression Pants Elasticity and Movement Speed on Human Joint Protection. Fibres Text. East. Eur. 2022, 30, 80–90. [Google Scholar] [CrossRef]
- Sanchez-Jimenez, J.L.; Priego-Quesada, J.I.; Gisbert-Ruiz, M.J.; Cibrian-Ortiz de Anda, R.M.; Perez-Soriano, P.; Aparicio, I. Effect of Compression Tights on Skin Temperature in Women with Lipedema. Appl. Sci. 2023, 13, 1133. [Google Scholar] [CrossRef]
- Lawrence, D.; Kakkar, V.V. Graduated, Static, External Compression of the Lower Limb: A Physiological Assessment. Br. J. Surg. 2005, 67, 119–121. [Google Scholar] [CrossRef] [PubMed]
- Null, T.M.; Kondo, S. Clothing Pressure Gradient for Comfortable Pantyhose. J. Fiber Bioeng. Inform. 2022, 15, 243–257. [Google Scholar] [CrossRef]
- Lee, H.; Hong, K.; Lee, Y. Compression Pants with Differential Pressurization: Kinetic and Kinematical Effects on Stability. Text. Res. J. 2017, 87, 1554–1564. [Google Scholar] [CrossRef]
- Luo, S.; Wang, J.; Shi, H.; Yao, X. A Novel Approach to Characterize Dynamic Pressure on Lower Limb Wearing Compression Cycling Shorts. J. Text. Inst. 2016, 107, 1004–1013. [Google Scholar] [CrossRef]
- Cheng, Z.; Kuzmichev, V.; Adolphe, D. A Digital Replica of Male Compression Underwear. Text. Res. J. 2020, 90, 877–895. [Google Scholar] [CrossRef]
- Kuzmichev, V.E.; Cheng, Z. Sizing and Fit for Pressure Garments. In Anthropometry, Apparel Sizing and Design; Elsevier: Amsterdam, The Netherlands, 2020; pp. 331–370. ISBN 978-0-08-102604-5. [Google Scholar]
- Teyeme, Y.; Malengier, B.; Tesfaye, T.; Vasile, S.; Van Langenhove, L. Fit and Pressure Comfort Evaluation on a Virtual Prototype of a Tight-Fit Cycling Shirt. AUTEX Res. J. 2023, 23, 153–163. [Google Scholar] [CrossRef]
- Zhang, M.; Dong, H.; Fan, X.; Dan, R. Finite Element Simulation on Clothing Pressure and Body Deformation of the Top Part of Men’s Socks Using Curve Fitting Equations. Int. J. Cloth. Sci. Technol. 2015, 27, 207–220. [Google Scholar] [CrossRef]
- Jariyapunya, N.; Musilová, B. Predictive Modelling of Compression Garments for Elastic Fabric and the Effects of Pressure Sensor Thickness. J. Text. Inst. 2019, 110, 1132–1140. [Google Scholar] [CrossRef]
- Dan, R.; Shi, Z. Dynamic Simulation of the Relationship between Pressure and Displacement for the Waist of Elastic Pantyhose in the Walking Process Using the Finite Element Method. Text. Res. J. 2021, 91, 1497–1508. [Google Scholar] [CrossRef]
- Zhang, H. Virtual Simulation Verification of Clothing Structure Rationality Based on Clothing Comfort Pressure Threshold. In Proceedings of the International Conference on Computational Modeling, Simulation, and Data Analysis (CMSDA 2021), Sanya, China, 3–5 December 2021; Cen, F., Bouras, C.J., Yaakob, R., Eds.; SPIE: Bellingham, WA, USA, 2022; p. 15. [Google Scholar]
- Hu, G.; Gao, C.; Zhao, B.; Liu, J.; Yao, T. Research on the Evaluation Method of Virtual Clothing Pressure Comfort Based on Fuzzy Clustering. In Proceedings of the 2022 5th International Conference on Advanced Electronic Materials, Computers and Software Engineering (AEMCSE), Wuhan, China, 22–24 April 2022; IEEE: Piscataway, NJ, USA, 2022; pp. 267–271. [Google Scholar]
- Brubacher, K.; Tyler, D.; Apeagyei, P.; Venkatraman, P.; Brownridge, A.M. Evaluation of the Accuracy and Practicability of Predicting Compression Garment Pressure Using Virtual Fit Technology. Cloth. Text. Res. J. 2023, 41, 107–124. [Google Scholar] [CrossRef]
- Lee, J.K.; Lim, H.S. Movement, Wear Comfort, and Compression Evaluation of Nylon and Polyurethane Blend Stretch Knit Material and 3D Virtual Fitting Stress Strain Comparison. Fibers Polym. 2023, 24, 2541–2555. [Google Scholar] [CrossRef]
- Xiong, Y.; Tao, X. Compression Garments for Medical Therapy and Sports. Polymers 2018, 10, 663. [Google Scholar] [CrossRef] [PubMed]
- Xia, Y.; Shao, J.; Zhang, B.; Jin, S.; Li, Y.; Gu, B. Individualized Generation of Young Women’s Crotch Curve Based on Body Images. Int. J. Ind. Ergon. 2022, 90, 103296. [Google Scholar] [CrossRef]
- Lee, S.; Rho, S.H.; Lee, S.; Lee, J.; Lee, S.W.; Lim, D.; Jeong, W. Implementation of an Automated Manufacturing Process for Smart Clothing: The Case Study of a Smart Sports Bra. Processes 2021, 9, 289. [Google Scholar] [CrossRef]
Disclaimer/Publisher’s Note: The statements, opinions and data contained in all publications are solely those of the individual author(s) and contributor(s) and not of MDPI and/or the editor(s). MDPI and/or the editor(s) disclaim responsibility for any injury to people or property resulting from any ideas, methods, instructions or products referred to in the content. |
© 2023 by the authors. Licensee MDPI, Basel, Switzerland. This article is an open access article distributed under the terms and conditions of the Creative Commons Attribution (CC BY) license (https://creativecommons.org/licenses/by/4.0/).













