Assessment of Intramural Segment Compression in Anomalous Coronary Arteries through Patient-Specific Finite Element Modeling
Abstract
:1. Introduction
2. Materials and Methods
2.1. Study Population
2.2. Patient-Specific Model and Simulation: From CTA to CAD Model
2.3. Geometric Model Accuracy
2.4. Simulation Settings and Analysis
2.5. Post-Processing of Simulation Results
2.6. Statistical Analysis
3. Results
3.1. Study Population
3.2. Geometric Model Accuracy
3.3. Variations in Coronary Cross-Sectional Area
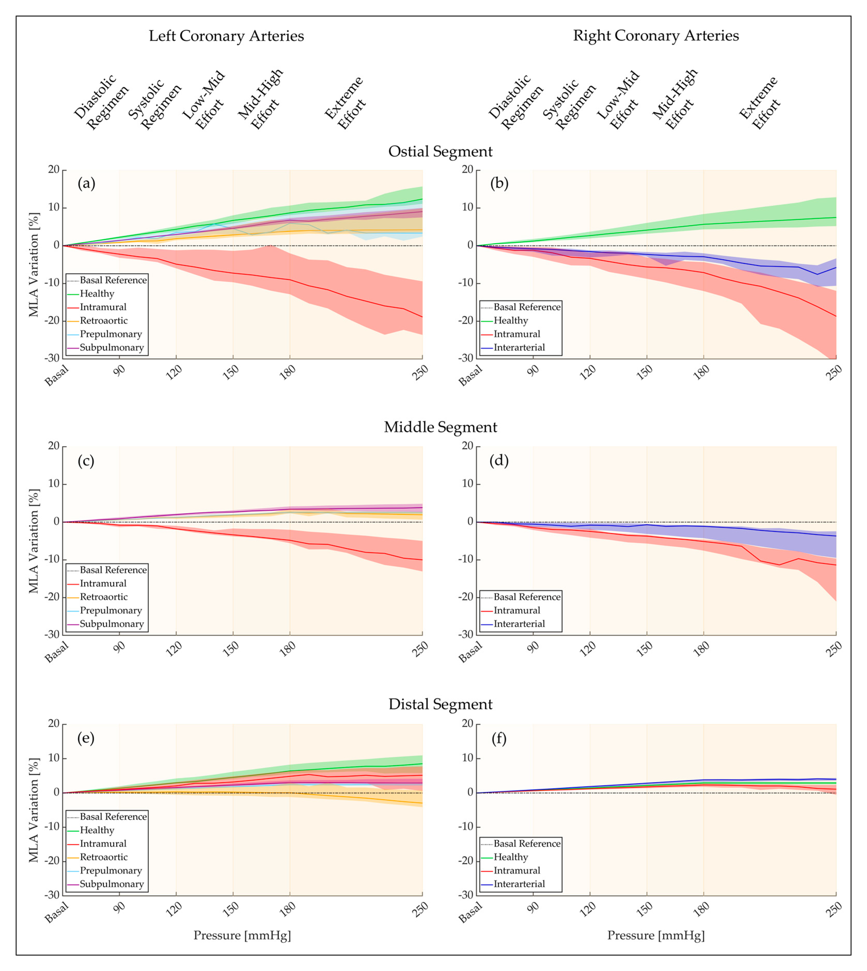
3.3.1. LCA Ostial Segment
| LCA OST | Simulated Pressure [mmHg] | |||||
|---|---|---|---|---|---|---|
| Course | 70 | 90 | 120 | 180 | 250 | |
| MLA Variation [%] | HC | 0.76 (0.21) | 2.24 (0.62) | 4.37 (1.41) | 8.71 (2.54) | 12.38 (4.59) |
| IM | −0.76 (1.57) | −2.23 (2.31) | −4.88 (4.8) | −9 (10.84) | −18.87 (14.19) | |
| PP | 0.31 (0.31) | 1.38 (0.93) | 3.53 (2.02) | 5.95 (4.57) | 3.36 (9.71) | |
| SP | 0.5 (0.15) | 1.4 (0.25) | 2.95 (0.36) | 6.79 (1.34) | 9.05 (2.52) | |
| RA | 0.3 (0.34) | 0.91 (0.49) | 1.89 (1.22) | 3.85 (3.69) | 4.24 (6.34) | |
| p-value | IM vs. HC | 0.006 | <0.001 | <0.001 | <0.001 | <0.001 |
| IM vs. SP | 1.000 | 0.016 | 0.016 | 0.016 | 0.016 | |
| IM vs. RA | 1.000 | 0.200 | 0.080 | 0.080 | 0.013 | |
| SP vs. HC | 0.099 | 0.027 | 0.022 | 0.022 | 0.033 | |
| RA vs. HC | 0.005 | 0.003 | 0.004 | 0.006 | 0.028 | |
3.3.2. LCA Middle Segment
| LCA MID | Simulated Pressure [mmHg] | |||||
|---|---|---|---|---|---|---|
| Course | 70 | 90 | 120 | 180 | 250 | |
| MLA Variation [%] | IM | −0.14 (0.3) | −0.81 (0.8) | −1.8 (1.01) | −4.8 (3.55) | −9.98 (8.09) |
| PP | 0.18 (0.09) | 0.63 (0.15) | 1.25 (0.4) | 2.58 (0.66) | 2.46 (0.63) | |
| SP | 0.29 (0.21) | 0.88 (0.47) | 2.01 (0.62) | 3.43 (1.03) | 3.85 (2.2) | |
| RA | 0.2 (0.14) | 0.65 (0.28) | 1.21 (0.57) | 2.63 (1.13) | 1.96 (2.05) | |
| p-value | IM vs. SP | 0.112 | 0.009 | 0.009 | 0.009 | 0.009 |
| IM vs. RA | 0.076 | 0.004 | 0.004 | 0.004 | 0.004 | |
3.3.3. LCA Distal Segment
| LCA DIS | Simulated Pressure [mmHg] | |||||
|---|---|---|---|---|---|---|
| Course | 70 | 90 | 120 | 180 | 250 | |
| MLA Variation [%] | HC | 0.49 (0.17) | 1.36 (0.67) | 2.99 (1.63) | 6.41 (2.66) | 8.52 (5.2) |
| IM | 0.42 (0.31) | 1.03 (1.21) | 2.08 (1.81) | 4.86 (3.55) | 5.15 (7.12) | |
| PP | 0.21 (0.07) | 0.6 (0.25) | 1.19 (0.42) | 2.4 (0.84) | 2.38 (0.77) | |
| SP | 0.27 (0.05) | 0.78 (0.29) | 1.62 (0.44) | 3.02 (1.03) | 2.9 (1.46) | |
| RA | 0.12 (0.21) | 0.23 (0.92) | 0.33 (1.91) | 0.08 (4.26) | −2.94 (4.93) | |
| p-value | IM vs. HC | 1.000 | 1.000 | 0.400 | 0.320 | 0.286 |
| IM vs. SP | 1.000 | 1.000 | 1.000 | 1.000 | 1.000 | |
| IM vs. RA | 0.813 | 0.426 | 0.200 | 0.293 | 0.127 | |
| SP vs. HC | 0.139 | 0.069 | 0.058 | 0.050 | 0.058 | |
| RA vs. HC | 0.005 | 0.006 | 0.005 | 0.014 | 0.002 | |
3.3.4. RCA Ostial Segment
| RCA OST | Simulated Pressure [mmHg] | |||||
|---|---|---|---|---|---|---|
| Course | 70 | 90 | 120 | 180 | 250 | |
| MLA Variation [%] | HC | 0.55 (0.35) | 1.25 (0.88) | 2.69 (1.77) | 5.68 (4.07) | 7.49 (7.66) |
| IM | −0.59 (1.14) | −1.19 (2.62) | −3.34 (3.42) | −7.11 (7.67) | −18.69 (19.32) | |
| IA | −0.37 (0.61) | −0.81 (1.08) | −1.54 (1.89) | −2.9 (2.04) | −5.75 (7.28) | |
| p-value | IM vs. HC | <0.001 | <0.001 | <0.001 | <0.001 | <0.001 |
| IM vs. IA | 1.000 | 1.000 | 0.378 | 0.256 | 0.167 | |
| IA vs. HC | <0.001 | <0.001 | <0.001 | <0.001 | <0.001 | |
3.3.5. RCA Middle Segment
| RCA MID | Simulated Pressure [mmHg] | |||||
|---|---|---|---|---|---|---|
| Course | 70 | 90 | 120 | 180 | 250 | |
| MLA Variation [%] | IM | −0.41 (0.58) | −1.46 (1.06) | −2.46 (2.34) | −5.13 (2.91) | −11.36 (11.38) |
| IA | 0.01 (0.35) | −0.53 (1.2) | −0.8 (1.69) | −1.11 (3.39) | −3.67 (7.04) | |
| p-value | IM vs. IA | 0.285 | 0.020 | 0.027 | 0.006 | 0.002 |
3.3.6. RCA Distal Segment
| RCA DIS | Simulated Pressure [mmHg] | |||||
|---|---|---|---|---|---|---|
| Course | 70 | 90 | 120 | 180 | 250 | |
| MLA Variation [%] | HC | 0.24 (0.07) | 0.72 (0.23) | 1.44 (0.35) | 2.92 (0.8) | 2.91 (0.71) |
| IM | 0.23 (0.13) | 0.65 (0.22) | 1.24 (0.4) | 2.32 (0.97) | 1.1 (2.89) | |
| IA | 0.29 (0.1) | 0.91 (0.19) | 1.87 (0.46) | 3.85 (0.68) | 3.98 (0.76) | |
| p-value | IM vs. HC | 0.919 | 0.528 | 0.623 | 0.175 | 0.018 |
| IM vs. IA | 0.625 | 0.050 | 0.068 | 0.068 | 0.068 | |
| IA vs. HC | 1.000 | 0.076 | 0.231 | 0.203 | 0.263 | |
3.4. Proximal to Distal Narrowing
4. Discussion
5. Conclusions
Author Contributions
Funding
Institutional Review Board Statement
Informed Consent Statement
Data Availability Statement
Acknowledgments
Conflicts of Interest
Appendix A
| LCA OST | Simulated Pressure [mmHg] | |||||
|---|---|---|---|---|---|---|
| Course | 70 | 90 | 120 | 180 | 250 | |
| MLA Variation [%] | HC | 0.76 (0.21) | 2.24 (0.62) | 4.37 (1.41) | 8.71 (2.54) | 12.38 (4.59) |
| IM | −0.76 (1.57) | −2.23 (2.31) | −4.88 (4.8) | −9 (10.84) | −18.87 (14.19) | |
| PP | 0.31 (0.31) | 1.38 (0.93) | 3.53 (2.02) | 5.95 (4.57) | 3.36 (9.71) | |
| SP | 0.5 (0.15) | 1.4 (0.25) | 2.95 (0.36) | 6.79 (1.34) | 9.05 (2.52) | |
| RA | 0.3 (0.34) | 0.91 (0.49) | 1.89 (1.22) | 3.85 (3.69) | 4.24 (6.34) | |
| p-value | IM vs. HC | 0.006 | <0.001 | <0.001 | <0.001 | <0.001 |
| IM vs. SP | 1.000 | 0.016 | 0.016 | 0.016 | 0.016 | |
| IM vs. RA | 1.000 | 0.200 | 0.080 | 0.080 | 0.013 | |
| SP vs. HC | 0.099 | 0.027 | 0.022 | 0.022 | 0.033 | |
| RA vs. HC | 0.005 | 0.003 | 0.004 | 0.006 | 0.028 | |
| Effect Size [%] | IM vs. HC | −1.5 [−2.2, −0.2] | −4.5 [−5.6, −2] | −9.2 [−10.8, −4] | −17.7 [−22.6, −8] | −31.3 [−46.2, −25.2] |
| IM vs. SP | −1.3 [−2, 0.1] | −3.6 [−4.7, −1.1] | −7.8 [−9.2, −2.7] | −15.8 [−20.9, −6] | −27.9 [−38, −18.5] | |
| IM vs. RA | −1.1 [−1.7, 0.2] | −3.1 [−4.3, −0.8] | −6.8 [−8.7, −1.7] | −12.8 [−19, −3.1] | −23.1 [−34.2, −11.5] | |
| SP vs. HC | −0.3 [−0.4, −0.1] | −0.8 [−1.2, −0.5] | −1.4 [−2.2, −0.9] | −1.9 [−3.3, −1] | −3.3 [−6, −0.9] | |
| RA vs. HC | −0.5 [−0.9, −0.3] | −1.3 [−1.9, −0.8] | −2.5 [−3.6, −1.3] | −4.9 [−6.8, −1] | −8.1 [−11.8, −1.4] | |
| LCA MID | Simulated Pressure [mmHg] | |||||
|---|---|---|---|---|---|---|
| Course | 70 | 90 | 120 | 180 | 250 | |
| MLA Variation [%] | IM | −0.14 (0.3) | −0.81 (0.8) | −1.8 (1.01) | −4.8 (3.55) | −9.98 (8.09) |
| PP | 0.18 (0.09) | 0.63 (0.15) | 1.25 (0.4) | 2.58 (0.66) | 2.46 (0.63) | |
| SP | 0.29 (0.21) | 0.88 (0.47) | 2.01 (0.62) | 3.43 (1.03) | 3.85 (2.2) | |
| RA | 0.2 (0.14) | 0.65 (0.28) | 1.21 (0.57) | 2.63 (1.13) | 1.96 (2.05) | |
| p-value | IM vs. SP | 0.112 | 0.009 | 0.009 | 0.009 | 0.009 |
| IM vs. RA | 0.076 | 0.004 | 0.004 | 0.004 | 0.004 | |
| Effect Size [%] | IM vs. SP | −0.4 [−0.8, −0.2] | −1.7 [−2.6, −1.2] | −3.8 [−5.9, −2.9] | −8.2 [−9.7, −5.2] | −13.8 [−18.2, −8.2] |
| IM vs. RA | −0.3 [−0.8, 0.2] | −1.5 [−3.4, −1.1] | −3 [−5.1, −2.1] | −7.4 [−9.6, −4.4] | −11.9 [−15.8, −6.3] | |
| LCA DIS | Simulated Pressure [mmHg] | |||||
|---|---|---|---|---|---|---|
| Course | 70 | 90 | 120 | 180 | 250 | |
| MLA Variation [%] | HC | 0.49 (0.17) | 1.36 (0.67) | 2.99 (1.63) | 6.41 (2.66) | 8.52 (5.2) |
| IM | 0.42 (0.31) | 1.03 (1.21) | 2.08 (1.81) | 4.86 (3.55) | 5.15 (7.12) | |
| PP | 0.21 (0.07) | 0.6 (0.25) | 1.19 (0.42) | 2.4 (0.84) | 2.38 (0.77) | |
| SP | 0.27 (0.05) | 0.78 (0.29) | 1.62 (0.44) | 3.02 (1.03) | 2.9 (1.46) | |
| RA | 0.12 (0.21) | 0.23 (0.92) | 0.33 (1.91) | 0.08 (4.26) | −2.94 (4.93) | |
| p-value | IM vs. HC | 1.000 | 1.000 | 0.400 | 0.320 | 0.286 |
| IM vs. SP | 1.000 | 1.000 | 1.000 | 1.000 | 1.000 | |
| IM vs. RA | 0.813 | 0.426 | 0.200 | 0.293 | 0.127 | |
| SP vs. HC | 0.139 | 0.069 | 0.058 | 0.050 | 0.058 | |
| RA vs. HC | 0.005 | 0.006 | 0.005 | 0.014 | 0.002 | |
| Effect Size [%] | IM vs. HC | −0.1 [−0.4, 0.1] | −0.3 [−1.1, 0.8] | −0.9 [−2.1, 0.9] | −1.6 [−4.1, 0.8] | −3.4 [−9.7, 0.7] |
| IM vs. SP | 0.1 [−0.1, 0.3] | 0.3 [−0.3, 1.4] | 0.5 [−0.6, 1.9] | 1.8 [−0.7, 4.1] | 2.3 [−4, 5.6] | |
| IM vs. RA | 0.3 [0, 0.6] | 0.8 [−0.1, 2.1] | 1.8 [0.3, 3.8] | 4.8 [0.3, 8.5] | 8.1 [2, 15.1] | |
| SP vs. HC | −0.2 [−0.3, −0.1] | −0.6 [−1.1, −0.1] | −1.4 [−2.2, −0.8] | −3.4 [−5.4, −2.3] | −5.6 [−8.3, −3.6] | |
| RA vs. HC | −0.4 [−0.6, −0.1] | −1.1 [−2, −0.5] | −2.7 [−3.9, −1.3] | −6.3 [−8.9, −1.6] | −11.5 [−16.8, −6.9] | |
| RCA OST | Simulated Pressure [mmHg] | |||||
|---|---|---|---|---|---|---|
| Course | 70 | 90 | 120 | 180 | 250 | |
| MLA Variation [%] | HC | 0.55 (0.35) | 1.25 (0.88) | 2.69 (1.77) | 5.68 (4.07) | 7.49 (7.66) |
| IM | −0.59 (1.14) | −1.19 (2.62) | −3.34 (3.42) | −7.11 (7.67) | −18.69 (19.32) | |
| IA | −0.37 (0.61) | −0.81 (1.08) | −1.54 (1.89) | −2.9 (2.04) | −5.75 (7.28) | |
| p-value | IM vs. HC | <0.001 | <0.001 | <0.001 | <0.001 | <0.001 |
| IM vs. IA | 1.000 | 1.000 | 0.378 | 0.256 | 0.167 | |
| IA vs. HC | <0.001 | <0.001 | <0.001 | <0.001 | <0.001 | |
| Effect Size [%] | IM vs. HC | −1.1 [−1.8, −0.5] | −2.4 [−4.2, −1.4] | −6 [−7.9, −3.5] | −12.8 [−17.7, −8.5] | −26.2 [−39.4, −17.6] |
| IM vs. IA | −0.2 [−1.1, 0.6] | −0.4 [−2.4, 1.1] | −1.8 [−4, 0.6] | −4.2 [−8, 2.3] | −12.9 [−27.4, −2.8] | |
| IA vs. HC | −0.9 [−1.6, −0.6] | −2.1 [−3.5, −1.5] | −4.2 [−5.7, −2.4] | −8.6 [−12, −6.5] | −13.2 [−18.9, −7] | |
| RCA MID | Simulated Pressure [mmHg] | |||||
|---|---|---|---|---|---|---|
| Course | 70 | 90 | 120 | 180 | 250 | |
| MLA Variation [%] | IM | −0.41 (0.58) | −1.46 (1.06) | −2.46 (2.34) | −5.13 (2.91) | −11.36 (11.38) |
| IA | 0.01 (0.35) | −0.53 (1.2) | −0.8 (1.69) | −1.11 (3.39) | −3.67 (7.04) | |
| p-value | IM vs. IA | 0.285 | 0.020 | 0.027 | 0.006 | 0.002 |
| Effect Size [%] | IM vs. IA | −0.4 [−0.9, 0] | −0.9 [−2, 0.1] | −1.7 [−3.8, −0.1] | −4 [−6.8, −0.4] | −7.7 [−19.7, −1.1] |
| RCA DIS | Simulated Pressure [mmHg] | |||||
|---|---|---|---|---|---|---|
| Course | 70 | 90 | 120 | 180 | 250 | |
| MLA Variation [%] | HC | 0.24 (0.07) | 0.72 (0.23) | 1.44 (0.35) | 2.92 (0.8) | 2.91 (0.71) |
| IM | 0.23 (0.13) | 0.65 (0.22) | 1.24 (0.4) | 2.32 (0.97) | 1.1 (2.89) | |
| IA | 0.29 (0.1) | 0.91 (0.19) | 1.87 (0.46) | 3.85 (0.68) | 3.98 (0.76) | |
| p-value | IM vs. HC | 0.919 | 0.528 | 0.623 | 0.175 | 0.018 |
| IM vs. IA | 0.625 | 0.050 | 0.068 | 0.068 | 0.068 | |
| IA vs. HC | 1.000 | 0.076 | 0.231 | 0.203 | 0.263 | |
| Effect Size [%] | IM vs. HC | 0 [−0.1, 0.4] | −0.1 [−0.2, 0.7] | −0.2 [−0.6, 0] | −0.6 [−1.3, 0.1] | −1.8 [−3.9, −0.9] |
| IM vs. IA | −0.1 [−0.2, 0.1] | −0.3 [−0.4, 0] | −0.6 [−1.1, −0.3] | −1.5 [−2.2, −0.8] | −2.9 [−5, −1.4] | |
| IA vs. HC | 0 [0, 0.6] | 0.2 [0, 0.5] | 0.4 [0, 0.8] | 0.9 [0.3, 1.5] | 1.1 [−0.6, 1.7] | |
| LCA | Simulated Pressure [mmHg] | |||||
|---|---|---|---|---|---|---|
| Course | Basal | 90 | 120 | 180 | 250 | |
| OST MLA [mm2] | HC | 14.27 | 14.60 | 14.90 | 15.49 | 16.41 |
| IM | 9.79 | 9.75 | 9.55 | 8.87 | 7.17 | |
| PP | 8.36 | 8.48 | 8.66 | 8.86 | 8.54 | |
| SP | 5.94 | 6.01 | 6.09 | 6.27 | 6.38 | |
| RA | 5.89 | 5.98 | 6.08 | 6.29 | 6.41 | |
| MID MLA [mm2] | IM | 6.78 | 6.73 | 6.66 | 6.50 | 6.07 |
| PP | 5.60 | 5.66 | 5.72 | 5.84 | 5.87 | |
| SP | 6.14 | 6.19 | 6.24 | 6.35 | 6.37 | |
| RA | 5.37 | 5.38 | 5.39 | 5.46 | 5.36 | |
| DIS MLA [mm2] | HC | 11.55 | 11.71 | 11.87 | 12.26 | 12.48 |
| IM | 13.05 | 13.18 | 13.31 | 13.71 | 13.82 | |
| PP | 2.77 | 2.78 | 2.80 | 2.83 | 2.83 | |
| SP | 7.37 | 7.41 | 7.47 | 7.60 | 7.63 | |
| RA | 4.41 | 4.38 | 4.36 | 4.31 | 4.18 | |
| RCA | Simulated Pressure [mmHg] | |||||
|---|---|---|---|---|---|---|
| Course | Basal | 90 | 120 | 180 | 250 | |
| OST MLA [mm2] | HC | 9.30 | 9.44 | 9.61 | 10.00 | 10.34 |
| IM | 5.31 | 5.09 | 4.99 | 4.57 | 3.67 | |
| IA | 5.94 | 5.87 | 5.80 | 5.74 | 5.28 | |
| MID MLA [mm2] | IM | 5.13 | 5.05 | 4.98 | 4.78 | 4.40 |
| IA | 6.86 | 6.81 | 6.78 | 6.67 | 6.44 | |
| DIS MLA [mm2] | HC | 7.95 | 8.01 | 8.06 | 8.18 | 8.19 |
| IM | 9.15 | 9.19 | 9.22 | 9.25 | 8.88 | |
| IA | 7.17 | 7.22 | 7.27 | 7.37 | 7.39 | |
References
- Angelini, P. Coronary Artery Anomalies: An Entity in Search of an Identity. Circulation 2007, 115, 1296–1305. [Google Scholar] [CrossRef]
- Cheezum, M.K.; Ghoshhajra, B.; Bittencourt, M.S.; Hulten, E.A.; Bhatt, A.; Mousavi, N.; Shah, N.R.; Valente, A.M.; Rybicki, F.J.; Steigner, M.; et al. Anomalous Origin of the Coronary Artery Arising from the Opposite Sinus: Prevalence and Outcomes in Patients Undergoing Coronary CTA. Eur. Heart J.-Cardiovasc. Imaging 2017, 18, 224–235. [Google Scholar] [CrossRef] [PubMed]
- Jegatheeswaran, A.; Devlin, P.J.; McCrindle, B.W.; Williams, W.G.; Jacobs, M.L.; Blackstone, E.H.; DeCampli, W.M.; Caldarone, C.A.; Gaynor, J.W.; Kirklin, J.K.; et al. Features Associated with Myocardial Ischemia in Anomalous Aortic Origin of a Coronary Artery: A Congenital Heart Surgeons’ Society Study. J. Thorac. Cardiovasc. Surg. 2019, 158, 822–834.e3. [Google Scholar] [CrossRef] [PubMed]
- Angelini, P.; Uribe, C. Critical Update and Discussion of the Prevalence, Nature, Mechanisms of Action, and Treatment Options in Potentially Serious Coronary Anomalies. Trends Cardiovasc. Med. 2022, S1050173822000743. [Google Scholar] [CrossRef]
- Maron, B.J. Sudden Death in Young Competitive Athletes: Clinical, Demographic, and Pathological Profiles. JAMA 1996, 276, 199. [Google Scholar] [CrossRef] [PubMed]
- Basso, C.; Maron, B.J.; Corrado, D.; Thiene, G. Clinical Profile of Congenital Coronary Artery Anomalies with Origin from the Wrong Aortic Sinus Leading to Sudden Death in Young Competitive Athletes. J. Am. Coll. Cardiol. 2000, 35, 1493–1501. [Google Scholar] [CrossRef]
- Gentile, F.; Castiglione, V.; De Caterina, R. Coronary Artery Anomalies. Circulation 2021, 144, 983–996. [Google Scholar] [CrossRef]
- Maron, B.J.; Doerer, J.J.; Haas, T.S.; Tierney, D.M.; Mueller, F.O. Sudden Deaths in Young Competitive Athletes: Analysis of 1866 Deaths in the United States, 1980–2006. Circulation 2009, 119, 1085–1092. [Google Scholar] [CrossRef]
- Lo Rito, M.; Romarowski, R.M.; Rosato, A.; Pica, S.; Secchi, F.; Giamberti, A.; Auricchio, F.; Frigiola, A.; Conti, M. Anomalous Aortic Origin of Coronary Artery Biomechanical Modeling: Toward Clinical Application. J. Thorac. Cardiovasc. Surg. 2021, 161, 191–201.e1. [Google Scholar] [CrossRef]
- Formato, G.M.; Lo Rito, M.; Auricchio, F.; Frigiola, A.; Conti, M. Aortic Expansion Induces Lumen Narrowing in Anomalous Coronary Arteries: A Parametric Structural Finite Element Analysis. J. Biomech. Eng. 2018, 140, 111008. [Google Scholar] [CrossRef]
- Agrawal, H.; Lamari-Fisher, A.; Hasbani, K.; Philip, S.; Fraser, C.D.; Mery, C.M. Decision Making in Anomalous Aortic Origin of a Coronary Artery. Expert Rev. Cardiovasc. Ther. 2023, 21, 177–191. [Google Scholar] [CrossRef] [PubMed]
- Qasim, A.; Doan, T.T.; Dan Pham, T.; Reaves-O’Neal, D.; Sachdeva, S.; Mery, C.M.; Binsalamah, Z.; Molossi, S. Is Exercise Stress Testing Useful for Risk Stratification in Anomalous Aortic Origin of a Coronary Artery? Semin. Thorac. Cardiovasc. Surg. 2022, S1043067922002088. [Google Scholar] [CrossRef] [PubMed]
- Doan, T.T.; Sachdeva, S.; Bonilla-Ramirez, C.; Reaves-O’Neal, D.L.; Masand, P.; Mery, C.M.; Binsalamah, Z.; Heinle, J.H.; Molossi, S. Ischemia in Anomalous Aortic Origin of a Right Coronary Artery: Large Pediatric Cohort Medium-Term Outcomes. Circ. Cardiovasc. Interv. 2023, 16, 147–156. [Google Scholar] [CrossRef] [PubMed]
- Antiga, L.; Piccinelli, M.; Botti, L.; Ene-Iordache, B.; Remuzzi, A.; Steinman, D.A. An Image-Based Modeling Framework for Patient-Specific Computational Hemodynamics. Med. Biol. Eng. Comput. 2008, 46, 1097. [Google Scholar] [CrossRef] [PubMed]
- Muraru, D.; Maffessanti, F.; Kocabay, G.; Peluso, D.; Bianco, L.D.; Piasentini, E.; Jose, S.P.; Iliceto, S.; Badano, L.P. Ascending Aorta Diameters Measured by Echocardiography Using Both Leading Edge-to-Leading Edge and Inner Edge-to-Inner Edge Conventions in Healthy Volunteers. Eur. Heart J.-Cardiovasc. Imaging 2014, 15, 415–422. [Google Scholar] [CrossRef]
- De Kerchove, L.; Jashari, R.; Boodhwani, M.; Duy, K.T.; Lengelé, B.; Gianello, P.; Nezhad, Z.M.; Astarci, P.; Noirhomme, P.; El Khoury, G. Surgical Anatomy of the Aortic Root: Implication for Valve-Sparing Reimplantation and Aortic Valve Annuloplasty. J. Thorac. Cardiovasc. Surg. 2015, 149, 425–433. [Google Scholar] [CrossRef]
- Yoshitani, H.; Takeuchi, M.; Ogawa, K.; Otsuji, Y. Comparison of Usefulness of the Wall Thickness of the Left Anterior Descending Coronary Artery, Determined by Transthoracic Echocardiography, and Carotid Intima-Media Thickness in Predicting Multivessel Coronary Artery Disease. J. Echocardiogr. 2009, 7, 2–8. [Google Scholar] [CrossRef]
- Jiang, M.X.; Khan, M.O.; Ghobrial, J.; Rogers, I.S.; Pettersson, G.B.; Blackstone, E.H.; Marsden, A.L. Patient-Specific Fluid–Structure Simulations of Anomalous Aortic Origin of Right Coronary Arteries. JTCVS Tech. 2022, 13, 144–162. [Google Scholar] [CrossRef]
- Sabbahi, A.; Arena, R.; Kaminsky, L.A.; Myers, J.; Phillips, S.A. Peak Blood Pressure Responses During Maximum Cardiopulmonary Exercise Testing: Reference Standards From FRIEND (Fitness Registry and the Importance of Exercise: A National Database). Hypertension 2018, 71, 229–236. [Google Scholar] [CrossRef]
- Cook, C.M.; Ahmad, Y.; Howard, J.P.; Shun-Shin, M.J.; Sethi, A.; Clesham, G.J.; Tang, K.H.; Nijjer, S.S.; Kelly, P.A.; Davies, J.R.; et al. Impact of Percutaneous Revascularization on Exercise Hemodynamics in Patients with Stable Coronary Disease. J. Am. Coll. Cardiol. 2018, 72, 970–983. [Google Scholar] [CrossRef]
- Bigler, M.R.; Ashraf, A.; Seiler, C.; Praz, F.; Ueki, Y.; Windecker, S.; Kadner, A.; Räber, L.; Gräni, C. Hemodynamic Relevance of Anomalous Coronary Arteries Originating From the Opposite Sinus of Valsalva-In Search of the Evidence. Front. Cardiovasc. Med. 2021, 7, 591326. [Google Scholar] [CrossRef]
- Bigler, M.R.; Kadner, A.; Räber, L.; Ashraf, A.; Windecker, S.; Siepe, M.; Padalino, M.A.; Gräni, C. Therapeutic Management of Anomalous Coronary Arteries Originating From the Opposite Sinus of Valsalva: Current Evidence, Proposed Approach, and the Unknowing. JAHA 2022, 11, e027098. [Google Scholar] [CrossRef]
- Formato, G.M.; Agnifili, M.L.; Arzuffi, L.; Rosato, A.; Ceserani, V.; Zuniga Olaya, K.G.; Secchi, F.; Deamici, M.; Conti, M.; Auricchio, F.; et al. Morphological Changes of Anomalous Coronary Arteries From the Aorta During the Cardiac Cycle Assessed by IVUS in Resting Conditions. Circ. Cardiovasc. Interv. 2023, 16, e012636. [Google Scholar] [CrossRef]
- Stocker, T.J.; Leipsic, J.; Chen, M.Y.; Achenbach, S.; Knuuti, J.; Newby, D.; Hausleiter, J. Influence of Heart Rate on Image Quality and Radiation Dose Exposure in Coronary CT Angiography. Radiology 2021, 300, 701–703. [Google Scholar] [CrossRef]
- Stark, A.W.; Giannopoulos, A.A.; Pugachev, A.; Shiri, I.; Haeberlin, A.; Räber, L.; Obrist, D.; Gräni, C. Application of Patient-Specific Computational Fluid Dynamics in Anomalous Aortic Origin of Coronary Artery: A Systematic Review. JCDD 2023, 10, 384. [Google Scholar] [CrossRef]
- Votta, E.; Presicce, M.; Della Corte, A.; Dellegrottaglie, S.; Bancone, C.; Sturla, F.; Redaelli, A. A Novel Approach to the Quantification of Aortic Root in Vivo Structural Mechanics: Numerical Modelling of Aortic Root in Vivo Structural Mechanics. Int. J. Numer. Meth. Biomed. Engng. 2017, 33, e2849. [Google Scholar] [CrossRef]
- Bols, J.; Degroote, J.; Trachet, B.; Verhegghe, B.; Segers, P.; Vierendeels, J. A Computational Method to Assess the in Vivo Stresses and Unloaded Configuration of Patient-Specific Blood Vessels. J. Comput. Appl. Math. 2013, 246, 10–17. [Google Scholar] [CrossRef]
- Holzapfel, G.A.; Sommer, G.; Gasser, C.T.; Regitnig, P. Determination of Layer-Specific Mechanical Properties of Human Coronary Arteries with Nonatherosclerotic Intimal Thickening and Related Constitutive Modeling. Am. J. Physiol.-Heart Circ. Physiol. 2005, 289, H2048–H2058. [Google Scholar] [CrossRef]




| LCA | RCA | |
|---|---|---|
| Anomalous (n = 40) | 22 | 18 |
| Intramural | 8 | 11 |
| Interarterial | - | 7 |
| Prepulmonary | 3 | - |
| Retroaortic | 6 | - |
| Subpulmonary | 5 | - |
| Non-anomalous (n = 44) | 23 | 21 |
| Course | Segments | Simulated Pressure [mmHg] | ||||
|---|---|---|---|---|---|---|
| Basal | 90 | 120 | 180 | 250 | ||
| IM | OST/DIS | 25.0 | 26.1 | 28.3 | 35.3 | 48.1 |
| MID/DIS | 48.1 | 48.9 | 50.0 | 52.6 | 56.0 | |
| PP | OST/DIS | −201.9 | −204.5 | −209.1 | −213.1 | −201.7 |
| MID/DIS | −102.2 | −103.3 | −104.2 | −106.3 | −107.3 | |
| SP | OST/DIS | 19.4 | 18.8 | 18.4 | 17.6 | 16.4 |
| MID/DIS | 16.7 | 16.4 | 16.4 | 16.5 | 16.5 | |
| RA | OST/DIS | −33.5 | −36.5 | −39.6 | −46.0 | −53.2 |
| MID/DIS | −21.8 | −22.9 | −23.7 | −26.6 | −28.2 | |
| Course | Segments | Simulated Pressure [mmHg] | ||||
|---|---|---|---|---|---|---|
| Basal | 90 | 120 | 180 | 250 | ||
| IM | OST/DIS | 41.9 | 44.6 | 45.9 | 50.6 | 58.7 |
| MID/DIS | 43.9 | 45.1 | 46.0 | 48.3 | 50.4 | |
| IA | OST/DIS | 17.2 | 18.7 | 20.2 | 22.1 | 28.6 |
| MID/DIS | 4.4 | 5.6 | 6.7 | 9.5 | 12.8 | |
Disclaimer/Publisher’s Note: The statements, opinions and data contained in all publications are solely those of the individual author(s) and contributor(s) and not of MDPI and/or the editor(s). MDPI and/or the editor(s) disclaim responsibility for any injury to people or property resulting from any ideas, methods, instructions or products referred to in the content. |
© 2023 by the authors. Licensee MDPI, Basel, Switzerland. This article is an open access article distributed under the terms and conditions of the Creative Commons Attribution (CC BY) license (https://creativecommons.org/licenses/by/4.0/).
Share and Cite
Rosato, A.; Lo Rito, M.; Anglese, S.; Ceserani, V.; Pascaner, A.F.; Secchi, F.; Conti, M. Assessment of Intramural Segment Compression in Anomalous Coronary Arteries through Patient-Specific Finite Element Modeling. Appl. Sci. 2023, 13, 11185. https://doi.org/10.3390/app132011185
Rosato A, Lo Rito M, Anglese S, Ceserani V, Pascaner AF, Secchi F, Conti M. Assessment of Intramural Segment Compression in Anomalous Coronary Arteries through Patient-Specific Finite Element Modeling. Applied Sciences. 2023; 13(20):11185. https://doi.org/10.3390/app132011185
Chicago/Turabian StyleRosato, Antonio, Mauro Lo Rito, Serena Anglese, Valentina Ceserani, Ariel Fernando Pascaner, Francesco Secchi, and Michele Conti. 2023. "Assessment of Intramural Segment Compression in Anomalous Coronary Arteries through Patient-Specific Finite Element Modeling" Applied Sciences 13, no. 20: 11185. https://doi.org/10.3390/app132011185
APA StyleRosato, A., Lo Rito, M., Anglese, S., Ceserani, V., Pascaner, A. F., Secchi, F., & Conti, M. (2023). Assessment of Intramural Segment Compression in Anomalous Coronary Arteries through Patient-Specific Finite Element Modeling. Applied Sciences, 13(20), 11185. https://doi.org/10.3390/app132011185

