Abstract
The traditional performance evaluation method, which is mainly based on financial indexes, is no longer applicable to the current dynamic, complex, and coordinated evaluation of the service quality of fresh agricultural produce supply chains. Comprehensive evaluations regarding the quality of coordination-based supply chain services are now required. Specific analyses of index weights, the identification of potential problems, the exploration of the best solutions, and efforts to improve the current situation—regarding the circulation of fresh agricultural products—are also required. By carrying out this research, this paper aims to construct a coordination-based service quality evaluation index system for the fresh agricultural produce supply chain platform. The evaluation system that was created covered the four dimensions involved in platform supply chain coordination. These dimensions are capital flow, logistics, business flow, and information flow. On this basis, this study designed a survey questionnaire to collect data to evaluate customer service quality satisfaction. The research used AHP and the Fuzzy Comprehensive Evaluation method to calculate and analyze indexes and models in the “Fresh Networking” project. Furthermore, this paper proposed a sensitivity analysis model of MCDM evaluation indexes and their weights. In order to verify whether the numerical analysis method was suitable for use in the MCDM evaluation system, in this paper, the sensitivity analysis process of the indexes and their weights was introduced in the evaluation of the “Fresh Networking” project. The evaluation results may reflect the real quality of service in the “Fresh Network” supply chain. The final conclusion to be drawn from this paper is that capital flow is the most sensitive weight, which means that it should be designed and implemented in accordance with optimization-based decisions. The novelty of this paper lies in: (1) the proposal of a coordination-based service quality evaluation index system which includes four dimensions: capital flow, logistics, business flow, and information flow; (2) the design of a research questionnaire for data collection; and (3) the introduction of an improved sensitivity analysis method for the MCDM index. The results presented in this paper will enrich the theoretical research related to MCDM in supply chain evaluations. The results of the analysis can be used to guide supply chain decision makers to make optimization decisions accordingly, which will ensure overall benefits in terms of supply chain coordination, improving the capacity of preservation services, and loss reduction.
1. Introduction
Fresh agricultural products have short life cycles, they deteriorate easily, and they rely heavily on preservation services. They are constantly needed in daily life and they occupy important positions in the retail consumer market. In recent years, the transaction scale of China’s fresh agricultural produce market has continued to expand. Especially since the onset of the COVID-19 pandemic, a large amount of capital has been poured into the fresh agricultural produce supply chain. E-commerce platforms selling fresh produce have displayed the highest growth rate of all the various distribution channels. At the end of 2021, the proportion of e-commerce platform use in this industry increased to 41%; this figure was 19.2 percentage points lower before the COVID-19 pandemic, thus demonstrating that there has been a significant increase in e-commerce platform use in this industry.
Given that it involves perishable products, the evaluation of the supply of fresh agricultural produce has attracted the attention and interest of many scholars. Uncertain delivery quantities, a heavy reliance on preservation services, and large product losses are typical characteristics of operations in this industry. These characteristics are also the main themes of many current research papers that attempt to provide evaluations on the supply of fresh agricultural produce.
1.1. Background
Regarding quality control in supply chain coordination, scholars have designed a cost-sharing and benefit-sharing contract to coordinate the supply chains. This was carried out in order to achieve quality coordination in terms of both production quality and sales quality when coordinating food supply chains. Moreover, issues that affect customer demand were considered during the design process [1]. Balachandran et al. [2,3] specifically studied the meaning of quality assurance in supply chains, and they conducted targeted research on a two-level manufacturing supply chain consisting of suppliers and manufacturers. Seth et al. [4,5] analyzed supply chain service quality, and they proposed a conceptual model of service quality measurement.
Zhang et al. [6] analyzed the research components of a product supply chain (i.e., suppliers and manufacturers), and they specifically analyzed preventive decision making related to supply chain quality when there is information asymmetry; in this case, it was used as a basis to develop a basic model based on improvements that had been made to the quality of the supply chain. Moral hazards, which are based on the principal–agent theory for supply chain quality control, have received attention from some scholars [7,8,9]. Some scholars have proposed a method to ensure that the manufacturing supply chain maintains a high level of quality by researching the high-quality components of a manufacturing supply chain; thus, the concept of a high-quality supply chain was proposed and designed [10]. Adam et al. [11] proposed and designed a method to prevent and control the quality of a supply chain; this method utilized both suppliers and manufacturers.
The most traditional and representative research regarding service quality is the 7Rs theory, which is based on creating time and space utilities. This theory was proposed by Perreault and Russ (1974) [12]. With the development of the social economy, LaLonde et al. [13] found that there is a significant difference between research focusing on service quality that is based on the supplier’s perspective, and research focusing on service quality that is based on the customer’s perspective. As a result, scholars began to study supply chain service quality from the perspective of customers [14,15]. At present, the most complete research related to supply chain service quality was carried out in 2001, by Mentzer [16], a scholar from Tennessee University in the United States, and others. Through field research into large third-party logistics companies and their customers, they summarized nine main indexes for measuring service quality, and they formed a service quality evaluation model. It is evident that the scholars’ research into service quality was very comprehensive and detailed. Research into service quality evaluations is mainly carried out using the following two perspectives: (1) in accordance with the characteristics of the industry, service quality evaluation indexes are built and evaluations are carried out; and (2) new service quality evaluation models are constructed with reference to the classic “SERVQUAL” scale.
Wu et al. [17,18,19] noted that the coordination of supply chains and their service quality evaluations can significantly contribute to the enhancement of the overall benefits it provides, and thus, the benefits to each internal member are able to be maximized. In addition to the review of agricultural supply chain evaluations in China and other countries, they also applied the fuzzy integrated evaluation method and the DEA model to evaluate two models of a green supply chain and a “farm-to-supermarket” supply chain. The concept of coordinated evaluation within supply chains has received increasing scholarly attention. According to the results of scholarly research, in practice, supply chain managers usually use effective evaluation models to evaluate and encourage independent members of the supply chain to approve and adopt overall optimization decisions, thus enhancing the effectiveness and profitability of the supply chain system as much as possible [20,21,22,23,24].
The aim of this study was to propose a new hybrid MCDM approach and to apply it to the evaluation of fresh agricultural products while considering sustainability criteria. This study used the supply chain coordination criteria in the evaluation process. Evaluation processes that are used for MCDM problems usually involve uncertain data, which can make this process complicated for decision makers. This issue can also affect the evaluation of the platform supply chain; however, it has not been seriously taken into consideration by researchers. The fuzzy set theory, which was introduced by Zadeh [25] in 1965, is the most common and efficient tool used to model uncertainty for MCDM problems. Using the fuzzy set theory for these problems has led to the introduction of many fuzzy multi-criteria decision-making approaches; these have been widely used for scientific and engineering problems.
Many studies have been conducted with a focus on how fuzzy MCDM approaches can be applied to evaluation problems [26,27,28]. Aliakbari Nouri et al. [29] developed an integrated MCDM approach based on the fuzzy analytic network process and fuzzy TOPSIS methods for the evaluation and selection of appropriate technology in an Iranian company. Liao et al. [30] integrated the fuzzy analytic hierarchy process, fuzzy additive ratio assessment (ARAS), and multi-segment goal programming methods to propose a model for the evaluation and selection of green suppliers. Jaskowski et al. [31], along with a group of decision makers, presented a new extended fuzzy AHP to determine the weights of various criteria for the evaluation of contractors. The superiority of their method, compared with the traditional fuzzy AHP method, was evident. Önden et al. [32] presented a model for use in the evaluation of logistics center locations by integrating the fuzzy analytic hierarchy process method with geographic information systems (GIS). They applied their model to a real case study in Turkey. Balin and Baraçli [33] developed a fuzzy multi-criteria decision-making methodology based on the AHP and TOPSIS method with interval type-2 fuzzy sets. They applied it to a selection of a suitable renewable energy alternatives in Turkey. A comprehensive review of the extensions and applications of the fuzzy MCDM approaches was performed by Mardani et al. [34].
1.2. Research Contribution
Intangibility, heterogeneity, and the process are unique characteristics of fresh agricultural produce platform supply chain preservation services and operation processes. Moreover, there are significant differences between the performance monitoring of different preservation services. Some information regarding basic supply chain product-based task performance is easily obtained through direct monitoring; however, there are also some aspects of the service (fresh product breakage, safe delivery capability, variety quantity flexibility, brand image recognition, etc.) that are difficult to observe directly with an evaluation performance. With traditional evaluation methods, the objectivity and relevance of consumers’ evaluations of the service quality of fresh agricultural produce supply chain platforms are not high; thus, the final evaluation results are relatively ambiguous.
A coordination-based approach to evaluating fresh produce supply chain platforms has not existed until now. The study also found that no numerical analysis research regarding corresponding indexes and their weights has been carried out.
The current research mainly focuses on certain parts, or certain types, of technical links in the development of the fresh agricultural produce supply chain. As a research object, quantitative research into service quality evaluation, and sensitivity analysis based on supply chain coordination for preservation services, is insufficient. Research into the service quality evaluation of the fresh agricultural produce supply chain is usually realized with the assistance of the results and opinions revealed in the analysis of customer evaluations. Customers’ understandings of service quality are gained through their own experiences. Different customers have different perceptions of the same service; therefore, to reveal how consumers perceive service quality, the evaluation of service quality is composed of the investigation, estimation, and judgment of the providers of fresh agricultural products.
In contrast with previous research, which focused on supply chain research regarding specific products or related members, this paper combined the characteristics of fresh agricultural products and conducted research into supply chain preservation services. At the same time, based on the four dimensions of supply chain coordination—logistics, business flow, information flow, and capital flow—this paper constructed a service quality evaluation index and a model of the fresh agricultural produce supply chain. On this basis, this research combined examples to carry out numerical tests and sensitivity analyses of evaluation indexes and their weights. Our work contributes to the current body of research in the following three ways:
- (1)
- Combined with AHP and the FCE (Fuzzy Comprehensive Evaluation) method, a coordination-based service quality evaluation index system for the fresh agricultural produce supply chain was constructed. This evaluation system includes the four dimensions of supply chain coordination—capital flow, logistics, business flow, and information flow. The study also designed survey questionnaires, which were required to collect data.
- (2)
- This research proposed an improved multi-attribute comprehensive evaluation index sensitivity analysis method and model. In this paper, it was shown that this model can accurately represent changes in each evaluation index, in the evaluation system, in the actual environment, and it can also represent the degree of influence of each evaluation index on the evaluation results.
- (3)
- This research verified and analyzed the “Fresh Networking” project as an example. The paper combined MATLAB programming to determine the indexes with high sensitivity in the original problem. The research conclusions also characterize how the changes in each index affect the evaluation results. This research provides evaluators and decision makers with more scientific and reasonable sensitivity characteristics, and the results provide further support for decision-making processes.
This paper is organized as follows: in Section 1, a review of the relevant literature and development background is provided. Moreover, the research contribution of this paper also is described. In Section 2, the paper introduces the research methods and the model’s construction in detail. In Section 3, the index construction, data processing, research design, program implementation, case discussion, result analysis, and so on are fully described. Notably, the example of the “Fresh Networking” project is used to verify the effectiveness of the model and algorithm. The conclusions and future research prospects are discussed in Section 4.
2. Materials and Methods
2.1. Proposed Approach
Peer reviewers have used various methods to evaluate the service quality level of supply chains, and they have developed various mathematical models that are based on them, such as: the data envelopment method, the artificial neural network method, the hierarchical analysis method, the Delphi method, and the FCE method.
2.1.1. AHP and FCE
The AHP has become a multi-criteria method that is widely used by decision makers. It is used in many fields, such as supply chain evaluation, economy and planning, energy policy and resource allocation, human resource management, prediction, and so on. The AHP is mainly used as an auxiliary decision-making tool. Only when it is organically combined with other methods can it be used effectively. From the existing research results, other methods that have been used in combination with the AHP include fuzzy set theory, fuzzy logic, digital planning, cost–benefit analysis, and so on.
FCE transforms a qualitative evaluation into a quantitative evaluation in accordance with the membership theory of fuzzy mathematics. It provides clear results and has a strong level of systematicness. FCE can solve fuzzy and difficult-to-quantify problems more effectively, and it is suitable for solving various uncertain problems. When there are variables that are thought to have been given numerical values through their experience as evaluation indicators, FCE can be considered; for instance, if they have been used to determine whether the service quality is excellent, whether the agricultural products are fresh, or whether the quality is safe. FCE effectively combines subjective human experiences with the rigorous reasoning of mathematical theory. It is suitable for research use in the fields of social investigation, quality assessment, market consultation, educational reform, the promotion of enterprising employees, evaluation, and promotion.
Fresh agricultural produce supply chain platform service quality evaluation indexes have a certain degree of fuzziness and uncertainty, and their specific scoring values are obtained through the analysis of research results relating to consumer satisfaction. For the comparative analysis of these evaluation methods, we chose to adopt and improve the more mature general methods in operations research—the hierarchical analysis and fuzzy comprehensive evaluation method. Moreover, we combined the advantages of both for comprehensive analysis to try and produce a more scientific and reasonable quantitative evaluation of fuzzy objects through effective mathematical means. This was carried out in order to effectively avoid the two when solving calculations. The shortcomings of both methods in terms of scientific and complexity were effectively avoided.
Due to the aforementioned advantages of the FCE method, this paper used the FCE method to carry out comprehensive evaluation research. Fuzzy comprehensive evaluations are based on concepts of fuzzy mathematics and the principle of fuzzy relation composition. It is a method that quantifies some factors which have unclear boundaries and are difficult to quantify, then, it comprehensively evaluates the subordination level of the evaluated aspects from multiple factors. The basic principles of this method are as follows: first, a factor set and comment set of the evaluated object are determined; then, the weight of each factor and its membership vector are determined, and the fuzzy evaluation matrix is obtained; finally, the fuzzy evaluation matrix and the weight vector of the factors are fuzzy calculated and normalized, thus enabling the FCE results to be obtained.
Considering the influence of operation difficulty, calculation complexity, and other factors, the objective weighting method was not suitable for use in this study. This paper used the AHP method to determine the weight of each index. The analytic hierarchy process was proposed by Sati, an expert in operational research at the University of Pittsburgh, in early the 1970s. The advantages of this method include the simplicity of the calculation, the clarity of the results, and the clarity of the logic. This combination of qualitative and quantitative methods can deal with many practical problems that cannot be solved using traditional optimization techniques. It can be widely used, and it is a practical MCDM method. The idea of AHP is to judge the relative importance of each objective based on the experience of decision makers by combining quantitative and qualitative analyses. This method gives reasonable weight to each criterion of each decision scheme. The basic principle of this method is based on the nature of the fresh agricultural produce platform supply chain and the overall goal to be achieved. The AHP deconstructs the problem into different constituent factors, and it aggregates and combines the factors at different levels in accordance with their inter-relationships. A multi-level analysis structure model is then formed so that the problem can finally be summarized in terms of relative important weight values (i.e., from the lowest relative level to the highest relative level, or by arranging the relative values according to their ‘goodness’ or ‘badness’).
2.1.2. Sensitivity Analysis
At present, the sensitivity analysis method of the multi-attribute evaluation index is still immature; previous studies have mainly focused on the evaluation ranking of the decision scheme, and less attention has been paid to the sensitivity analysis of the traditional multi-attribute evaluation index and decision method. The method has also not been applied during evaluations of the service quality of the fresh agricultural produce supply chain platform, which means that researchers should urgently carry out in-depth research in this field.
The decision makers in the fresh agricultural produce supply chain platform industry (and its member companies) make decisions based on evaluation results. They subsequently optimize their decisions in accordance with the stability of the supply chain (i.e., changes in the index values and their weights cause changes in the corresponding scores of the criteria and target layers). In this paper, our research discussed multi-attribute sensitivity based on previous research on sensitivity analysis. Moreover, this paper compared the coordination effect of the fresh agricultural produce supply chain platform by using the integrated weighted average method. The comparison results mainly depend on two change factors: index weights and index values. These are the two main aspects of the multi-attribute sensitivity analysis of the service quality of the fresh agricultural produce supply chain platform.
When conducting service quality evaluations, the raw data of the indexes that are used to assess service quality situations come from the statistical data collected after research has taken place; then, this is combined with the results of the analysis of the FCE method, and the raw data of the index weight calculation comes from the conclusions of the comprehensive expert scoring analysis. The impact of the changes on index values or index weights on the evaluation scores, and the magnitude of that impact, will directly affect the decision-making and selection processes that are determined by supply chain members.
2.2. Hierarchy Model Construction
2.2.1. Building the Hierarchy Structure Model
According to the relationship between factors, the factors were aggregated and combined in accordance with the different levels to form a multi-level structure model. Generally, this type of model is divided into three layers. The first layer is a target layer; the second is a criterion layer; the third, fourth, and subsequent layers are sub-criteria levels.
2.2.2. Constructing the Comparison Judgment Matrix
First, the judgment scale, from 1 to 9 (Table 1), was introduced in order to compare the elements of each layer in pairs; then, a comparison judgment matrix was constructed.
Table 1.
Definitions of the judgment scale.
The form of the judgment matrix is shown in Table 2.
Table 2.
Comparison judgment matrix.
The element aij in the judgment matrix represents the relative importance of element Ai to Aj for the evaluation criterion Hk.
2.2.3. Calculating Weights
The characteristic vector W of the comparison judgment matrix is the relative importance vector of the elements. At present, the methods used to calculate the eigenvalues of the matrices and their corresponding eigenvectors mainly include the square root method, the geometric average method, the sum product method, the power method, and so on. This research used the square root method. With n × n Matrix A = {aij}, the steps taken to calculate the matrix eigenvalue and corresponding eigenvector with the square root method are as follows:
- (1)
- Calculate the product of elements in each line of comparison of judgment matrix A:
- (2)
- Calculate the nth root of Mi:
- (3)
- Calculate the eigenvector of the comparison judgment matrix.
Normalize the vector to obtain the eigenvector W = [W1, W2, …, Wn]T.
This vector is the calculated weight.
- (4)
- Carry out a consistency test for the judgement matrix.
The comparison judgment matrix was obtained with an evaluator, through a comparison, in pairs, and the results were inevitably biased; therefore, it was necessary to determine the consistency. The consistency inspection steps are as follows
- ①
- Calculate the maximum eigenvalue of the comparison judgment matrix:
- ②
- Calculate the random consistency ratio (CR):where n is the matrix order and RI is the average random consistency index, the values of which are shown in Table 3.
Table 3. Values of the average random consistency index (RI).
2.3. Evaluation Model Construction and Sensitivity Analysis
After the analysis of the content of the four dimensions of coordination, the evaluation index system of the service quality of the supply chain of fresh agricultural products was constructed accordingly. It was then combined with research pertaining to the general method of operations to build a comprehensive evaluation model, with an additional focus on the sensitivity level of evaluation indexes and their weights to carry out targeted analysis.
2.3.1. FCE Model of Supply Chain Services
The specific process of the FCE of the research subject is as follows:
- (1)
- Determine the set of evaluation factors and their set of rubrics.
- ①
- Determination of evaluation factor set:First-tier Index Set:
- U =
- {U1, U2, U3, U4} = {coordination of capital flow, coordination of logistics, coordination of business flow, coordination of information flow}.
Secondary Index Set:- U1 =
- {U11, U12, U13, U14} = {convenience of payment, flexible payment capability, timeliness of refunds, average price advantage in the same category}.
- U2 =
- {U21, U22, U23, U24} = {fresh products delivery capability, product integrity, the level of packaging for freshness preservation, ability for circulation processing}.
- U3 =
- {U31, U32, U33, U34, U35} = {length of consumption time, flexibility level in terms of delivery, flexibility level of varieties, level of flexibility in terms of the quantity of products, brand image of the supply chain}.
- U4 =
- {U41, U42, U43, U44} = {frequency of information exchange, speed of collaborative response, information processing reliability, level of information system}.
- ②
- Determine the set of rubrics.In this paper, the Likert satisfaction scale was used for measurements, and the set of rubrics in the evaluation of customers’ satisfaction with the quality of the fresh agricultural produce services can be expressed as V = {V1, V2, V3, V4, V5}. These correspond with five levels, ranging from unsatisfactory to satisfactory, with scores corresponding to {20, 40, 60, 80, 100}.
- (2)
- Determine the weight vector W for each index set.
Combined with the weights of each evaluation index, as determined by the previous hierarchical analysis, the additional weight sets of the service quality indexes at all levels of the fresh agricultural produce supply chain platform were obtained. They are as follows:
Weight sets of the service quality evaluation indexes at the first level:
- W = (W1, W2, W3, W4).
Weight sets of the service quality evaluation indexes at the second level:
- W1 = (W11, W12, W13, W14).
- W2 = (W21, W22, W23, W24).
- W3 = (W31, W32, W33, W34, W35).
- W4 = (W41, W42, W43, W44).
- (3)
- Construct the fuzzy evaluation matrix R.
The fuzzy evaluation matrix can fuzzily reflect the relationship between service quality evaluation factors and evaluation scales in the fresh agricultural produce supply chain platform, which means that this matrix is a fuzzy mapping relationship.
rij denotes the affiliation of a certain index Ui to the evaluation level Vj.
- (4)
- Based on the collected evaluation data, the judging results of each program were determined.
By collecting statistical questionnaires and determining the fuzzy evaluation matrix R, the FCE model S was finally derived.
S = W * R = (S1, S2, …, Sn)
- (5)
- Determine the composite score of each evaluation object.
B = S′ * VT
2.3.2. Multi-Attribute Evaluation Index Sensitivity Analysis
This research improved the method used for the sensitivity analysis of indexes and their weights, which was first created by Ruiwei Fang and Xiedong Zhang. In the actual evaluation, on the one hand, the method and results of the sensitivity analysis of the evaluation index values are combined to make key improvements and to optimize the corresponding indexes in accordance with the size of the changes in the evaluation parameters; this is carried out in order to improve the score of the supply chain comprehensive evaluation. On the other hand, the sensitivity analysis of the evaluation index weights is considered in order to guide other supply chain members in the fresh agricultural produce supply chain platform so that they can make targeted improvements as soon as possible. For example, for more sensitive weight indexes, supply chain members can take timely intervention measures to maintain the stability of the supply chain [35].
- (1)
- Sensitivity analysis of evaluation indexes: Through the sensitivity analysis of fresh agricultural produce supply chain platform index values, supply chain members can clearly understand which index value changes will have a faster and greater impact on service quality evaluation results, and they will be able to obtain the improvement order of each index. Under the condition of limited resources being invested in the supply chain, decision makers in supply chain member companies can choose various measures to improve the service quality operation level in accordance with the sensitivity size; these measures can be targeted to improve the overall service quality of the supply chain.
Combined with the sensitivity analysis, the index value Ai starts at 0 and changes to 100 with the step ∆A′ = 1. According to the step index value score change ∆A, the target layer evaluation value score changes ∆B accordingly, and the criterion layer evaluation value score changes ∆C accordingly, meaning that the sensitivity γa of the comprehensive evaluation index value of the target layer can be expressed as follows:
Combining the formula used to solve the index values and target tier score values with the weighted average method, the derivation of Equation (4) yields:
The sensitivity γb of the evaluation index values in the criterion layer can be expressed as
Combining the formula used to solve the index value and the score value of the criterion level with the weighted average method, the derivation of Equation (6), combined with the equation above, leads to
As can be seen from Equation (7), the sensitivity of the index value change is mainly influenced by the combination of the index weight size, the initial index value, the index change value, and the initial score of the target layer (criterion layer).
- (2)
- Sensitivity analysis of index weights: small changes in the weights of the supply chain service quality evaluation indexes, which are constructed using the expert scoring method, may lead to large differences in the final evaluation and decision results. Once the sensitivity of the index weights or attribute values in the decision matrix is too large, the ranking results of the supply chain evaluation scheme will be comparatively very unstable, and the decision results will also be unstable.
Through the sensitivity analysis of the evaluation results, regarding the weight of each index of the supply chain in terms of service quality, this research could help ascertain the influence of each index’s weight. Consequently, this could help guide upstream members of the supply chain to coordinate and improve operations early and reduce subjective influences. The corresponding weight changes in indexes play a very important role in multi-attribute evaluation and decision analysis.
When the weight change is ∆Wi and the evaluation value change is ∆B, the sensitivity γi of the weight of evaluation index Ui can be expressed as
The research used the eigenvalues of the judgment matrix to calculate the weight of each index. The weight change depended on the changes in the judgment matrix, mainly in the following situations:
- ①
- Through the specific discussion of the AHP, once the judgment matrix in the criterion layer changes, the corresponding index layer weights and evaluation results change, that is, the indexes under the same criterion change in the same direction and proportion;
- ②
- Once the judgment matrix of the index layer changes, the evaluation results will also change accordingly;
- ③
- Once the judgment matrix of the criterion layer and the index layer is changed at the same time, the evaluation results will also change accordingly.
The research took the single-factor sensitivity of the weight change in a single index as an example for analysis. If the weight of an index Ui starts from 0 and changes to 1 with a certain step size σ = 0.01, if the weight of the index Uj changes and is inversely proportional to the proportion of the index weight in indexes other than Ui, and if the number of indexes is n, and the sum of the index weights is 1, then the weight of the index Uj after the kth change is:
3. Results and Discussion
The unique feature of fresh agricultural produce supply chain platform operations is related to its business object—fresh agricultural products. The supply, production, and sales process of fresh agricultural products in the supply chain revolves around the capability of the service to retain freshness in its products across all levels of the supply chain. Flow efficiency, quality, and safety are two aspects that require special attention [36,37].
- (1)
- At present, the definition of service quality with regard to the fresh agricultural produce supply chain platform and its evaluation are not systematic, perfect, or unified; hence, the focus of researchers in the selection process of service quality evaluation index systems may also vary. The traditional evaluation system is no longer suitable for the evaluation of the service quality of fresh agricultural produce supply chain platforms, and this system, which is mainly based on financial indexes, cannot be applied to this dynamic, complex, and coordinated type of evaluation. With the advancement of new technologies, how can one construct a supply chain service quality index system, taking its weights into consideration, in order to reflect the goal of coordinating fresh agricultural produce supply chain platforms?
- (2)
- At present, the fresh agricultural produce supply chain platform is not very stable in terms of its management system, business model, and information system. Moreover, the special refrigeration conditions required for fresh agricultural products cannot be guaranteed; thus, freshness and quality cannot be assured [38]. On the basis of constructing an evaluation index system, would it be difficult to determine how to select a model to regulate and influence cooperation among supply chain members? How could one enable the specific analysis of coordination-based evaluations in order to determine the service quality of fresh agricultural produce supply chain platforms, identify potential problems in supply chain development, and explore the best solutions to improve the current situation regarding fresh agricultural produce distribution?
- (3)
- Among the many indexes used for the evaluation of the service quality of fresh agricultural produce supply chain platforms, each of them has a different effect on the results in terms of sensitivity and the scores they obtain in the comprehensive evaluation. How can one build a scientific and reasonable sensitivity analysis model to observe the influence trend of indexes and index weights? How can one use scientific methods and advanced tools to make reasonable analyses of sensitivity changes?
To tackle these main problems, this paper presented a specific analysis and elaborated upon three aspects. Firstly, by constructing a coordination-based service quality evaluation index system for fresh agricultural produce supply chain platforms, the study designed a research questionnaire to collect data regarding service quality satisfaction for a fresh agricultural produce supply chain platform; we subsequently conducted research and analysis. Then, the research applied the hierarchical analysis and fuzzy comprehensive evaluation methods to analyze the indexes and models of the examples, respectively. Next, we drew conclusions based on the application of the examples. Finally, the study proposed a sensitivity analysis model of multi-attribute comprehensive evaluation indexes and their weights, and at the same time, in order to verify whether the sensitivity analysis method is applicable to the multi-attribute comprehensive evaluation system, this paper performed a numerical analysis of the sensitivity analysis of the indexes and their weights in the evaluation application.
The results of this sensitivity analysis could be used to accurately characterize the changes in each index in the service quality evaluation system of the fresh agricultural produce supply chain platform in the actual environment. The degree of influence that each evaluation index has on the evaluation results may also be characterized. It can also be used to guide decision making on fresh agricultural produce supply chain platform optimization, and it could eliminate the double marginal effect of the fresh agricultural produce supply chain platform through collaborative decision making among members, which is an important factor for achieving supply chain coordination.
3.1. Evaluation Index System Construction
In response to realistic problems concerning fresh agricultural produce supply chain platform coordination, the quantity of produce required by the supply chain service quality evaluation index gradually increases, the requirements are higher, and the content is more complex. The evaluation index system based on supply chain coordination begins with actual situations involving fresh agricultural products, which thus enable us to determine the appropriate evaluation indexes and scientific evaluation models.
Among the existing studies, theoretical research into the service quality of fresh agricultural produce supply chain platforms is relatively scarce; in particular, research based on coordination in evaluations is even scarcer. Therefore, the construction of a set of scientific, reasonable, convenient evaluations, and an easy-to-operate index system, can extend and deepen the relevant theoretical research in the field of fresh agricultural produce supply chain platform service quality evaluations.
However, supply chain service quality is difficult to observe, and it is not easy to achieve an objective evaluation; the evaluation indexes are numerous. The coordinated service quality evaluation index system of the fresh agricultural produce supply chain platform should reflect the service capabilities of the fresh agricultural produce supply chain platform on the one hand, and on the other hand, after simplification, it should objectively reflect the development level of the four dimensions of logistics, capital flow, information flow, and business flow in the coordinated fresh agricultural produce supply chain platform [39].
3.1.1. Construction Principles
The evaluation of the service quality of the fresh agricultural produce supply chain platform should combine the common characteristics of the general supply chain and the inherent characteristics of the fresh agricultural products themselves. The principles of systematicity, comprehensiveness, scientificity, simplicity, representativeness, and hierarchy should be followed in the design of a service quality evaluation index system.
3.1.2. Evaluation Index Construction
When determining evaluation criteria and selecting of evaluation indexes, multiple aspects of indexes need to be considered, such as cash flow, logistics, business flow, and information flow. When coordinating fresh agricultural produce supply chain platforms, the mutual influences between different criteria, and the influential relationship between different criteria and development goals should also be considered.
The establishment of a set of complete, scientific, and standardized index systems is a prerequisite for the effective evaluation of the service quality of fresh agricultural produce supply chain platforms. The evaluation index system is based on the four aspects of supply chain coordination: logistics, business flow, information flow, and capital flow. These are combined with the characteristics and requirements of fresh agricultural produce supply chain platform services, and the evaluation index system also consists of a series of indexes used to measure the quality of fresh agricultural produce supply chain platform services.
The service quality of a fresh agricultural produce supply chain platform comprises a large amount of data. In the analysis and construction of indexes, in this paper, the SERVQUAL service quality model was used to conduct an in-depth analysis, via an evaluation, of fresh agricultural produce supply chain platforms with regard service quality. The evaluation considered both the performance assessment objectives of the supply chain service quality results and its processes. On the one hand, the research focused on assessing the quality of the fresh agricultural produce supply chain platform’s services, which was achieved through an examination of the results of the platform’s performance. On the other hand, it focused on assessing the current operation status and capability of the fresh agricultural produce supply chain platform, which was achieved through an examination of the platform’s process performance. The final result was returned to the business in charge of the platform. This paper not only demonstrated the process of the post-event assessment and the whole assessment system, but it also considered the fresh agricultural produce supply chain platform’s long-term development.
The selection of evaluation indexes was achieved using Delphi, correlation analysis, and discriminant analysis.
First, based on the analysis of the relevant research literature regarding the coordinated evaluation of fresh agricultural produce supply chain platforms and service quality, the relevant indexes with a high frequency of use were summarized. They focused on the integrated supply-chain-related index system, the LSQ measurement model, the SERVQUAL service quality model proposed by Huo J Z et al., and the latest policy issued by the Ministry of Finance and the Ministry of Commerce in the first half of 2021, entitled “Performance evaluation index system” in the “Notice on further strengthening the construction of agricultural supply chain system” [40,41,42]. Combining the basic content of the index system, the framework system for the evaluation of the service quality of the fresh agricultural produce supply chain platform, based on the coordination of the four dimensions, was formed by modifying, adding, deleting, and redefining the corresponding dimensions.
Then, the indexes were specifically analyzed to avoid information overlapping between different indexes. This paper used the Delphi method to issue questionnaires to seven experts in the fresh agricultural produce supply chain platform field, and in service quality evaluations, among other fields. After three rounds of questionnaires, integration, and analysis, we organized the experts’ opinions and then merged, modified, and deleted some evaluation indexes to obtain a unified and effective evaluation index system. We also deleted indexes with relatively poor discriminative power on the basis of established index systems. The final service quality evaluation index system of fresh agricultural produce supply chain platforms, based on the coordination of four dimensions, was obtained through the application of these methods.
After repeated screening and sorting, the service quality evaluation index system of the fresh agricultural produce supply chain platform was obtained, as shown in Table 4. The index system was designed to determine the operation level of fresh agricultural produce supply chain platforms and their service quality. Moreover, its criterion layer was built around the four dimensions of supply chain synergy, which include capital flow, logistics, business flow, and information flow; there were 17 specific index layers.
Table 4.
Service quality evaluation index system of the fresh agricultural produce supply chain platform.
3.1.3. Index Description
Fresh agricultural products have short shelf lives, a high loss rate, and they rely heavily on preservation services. A continuous low-temperature environment needs to be maintained during the circulation process, and it must also be ensured that the supply chain service has a high efficiency when circulating fresh agricultural products. As the main targets of the fresh agricultural produce supply chain platform service, the satisfaction level of the consumer, and thus, the capability of the supply chain to perform services well, is paramount. Therefore, combined with the previous discussion, the index measurement was mainly based on the four dimensions of supply chain coordination and the consumer evaluation results.
- (1)
- Coordination of capital flow
Coordinated capital flow refers to the level of the rapid flow of funds in the supply chain and the ability to leverage economic benefits. In order to maximize the economic benefit of funds in the supply chain, the flow is accelerated, the turnover rate is improved, and the value of the use of funds is increased through various methods in order to invest the funds in more useful areas across the field of fresh agricultural produce.
The following key indexes were included:
- ①
- Convenience of payment: This refers to the convenience and quick ability of users to make account payments for fresh agricultural products or services through the use of their device terminals, and the specific application process provides consumers with convenient personalized financial services and quick payment channels.
- ②
- Flexible payment capacity: This refers to the adaptability of payment capacity requirements due to changes in the quantity, variety, and demand for products in the fresh agricultural product platform supply chain; thus, flexible payment capacity reflects the ability of the supply chain to adapt to a changing payment plan.
- ③
- Timeliness of refunds: This refers to the ability to process refunds in a timely manner when the products do not meet consumer expectations and fresh produce is returned.
- ④
- Average price advantage in the same category: This reflects the comparison between a targeted single product in a supply chain and other fresh produce terminals in terms of the combined average price of each single-consumer product.
- (2)
- Coordination of logistics
The coordination of logistics refers to the ability of a supply chain to realize the logistics of the operation, from the receipt of the customer’s order to the successful delivery of fresh agricultural products to customers. This includes daily logistics operations such as distribution processing, loading and unloading, warehousing, transportation, and distribution. The efficient coordination of supply chain logistics not only reduces the procurement cost, production cost, and storage cost in supply chain operations, but it also shortens the response time in the supply chain to fully realize orders, to achieve on-time deliveries, and improve customer satisfaction.
The following key indexes were included:
- ①
- Fresh product delivery capability: This refers to the advanced capability of the fresh agricultural produce supply chain platform to maintain the quality and freshness of products during the distribution process and to achieve reliable delivery to customers.
- ②
- Product integrity: This refers to the integrity of fresh agricultural products and their packaging when delivered to consumers after the relevant logistics operations in the supply chain.
- ③
- The level of packaging for freshness preservation: This refers to the ability of the supply chain to provide reasonable packaging in order to enhance freshness preservation services and to achieve a series of goals, such as maintaining freshness, preserving the original taste of fresh agricultural products, and increasing shelf life.
- ④
- Ability of circulation processing: This reflects the ability to process fresh agricultural products in the supply chain, accounting for physical and chemical changes. It refers to the packaging, sorting, tagging, and assembly of primary fresh agricultural products, from the place of production to place of sale, in order to improve the utilization of products and increase the speed of logistics operations; thus, promoting sales, maintaining products’ quality, and improving logistical efficiency is achieved.
- (3)
- Coordination of business flow
The coordination of business flow refers to the synergistic activities of business processes among supply chain members. An important element in the coordinated management of the fresh agricultural produce supply chain platform is that supply chain members maintain closer ties with companies that have synergistic business links. During the supply chain proceses, from order acceptance to product delivery, the coordination of business flow enables the members of each link to work together to reduce operational costs and improve the operational efficiency of the supply chain by effectively utilizing resources.
The following key indexes were included:
- ①
- Length of consumption time: This refers to the length of time between the moment when consumers in the supply chain purchase fresh products and services and when they consume fresh products and services. A longer time period between consumer purchase and consumption causes more consumers to adapt to the supply chain, and they subsequently form experiences, meaning that if there is a problem in a node of the supply chain, it can be handled quickly and restored to its original state.
- ②
- The level of flexibility in terms of product quantity: This refers to the ability of the fresh product supply chain to adapt to changes in the demand for the efficient and accurate handling of product quantity, which reflects the ability of the supply chain to change the quantities of fresh agricultural products under profitable conditions.
- ③
- Flexibility level of delivery: This refers to the ability of the fresh agricultural produce supply chain platform to adapt to the delivery schedule caused by changes in the demand of downstream consumers. This reflects the ability of the fresh agricultural produce supply chain platform and its supply chain members to jointly adapt to changing delivery schedule periods.
- ④
- Flexibility level in terms of varieties: This refers to the ability of the fresh agricultural produce supply chain platform to adapt to changes in demand for certain varieties, and variety flexibility reflects the ability of the supply chain to introduce, operate, and develop new, fresh agricultural product varieties.
- ⑤
- Brand image of the supply chain: This refers to the degree of notoriety and the reputation of a specific brand in the fresh agricultural produce supply chain platform sector. The brand image of the supply chain reflects the personality of the supply chain and the degree to which it is recognized. It is a visual display of the strength and characteristics of the fresh agricultural produce supply chain platform and the core member companies of the supply chain.
- (4)
- Coordination of information flow
The coordination of information flow refers to the timeliness, accuracy, and adequacy of the supply chain in providing relevant information to customers and the level to which it provides a rapid response to problems. Information sharing is an important element of fresh agricultural produce supply chain platform coordination, and information asymmetry can no longer be used in supply chains as a core component of long-term competition. Cooperation among supply chain members is based on the continuous exchange and sharing of information among all parties, and the competitiveness of the supply chain cannot be achieved without the timeliness and accuracy of information sharing among the members of the supply chain.
The following key indexes were included:
- ①
- Frequency of information exchange: This refers to the number of times consumers and service (products) providers in the fresh agricultural produce supply chain platform transmit and circulate information during the operation cycle. It reflects the cooperation and coordination base relationships present across the fresh agricultural product platform supply chain, and it is the basis for rationalizing the coordination of logistics and capital flow in the supply chain system.
- ②
- Speed of collaborative response: This refers to the level of the flexible collaborative response of the supply and demand sides of the fresh agricultural produce supply chain platform to cope with problems that arise during the process of cooperation. It reflects the efficient and flexible collaborative ability that is present between the members of upstream and downstream enterprises in the supply chain, between different departments within member enterprises, and between employees of member enterprises.
- ③
- Information processing reliability: This refers to the ability to provide reliable and accurate information during operations, thus reflecting the quality of information processing; therefore, reliable and accurate information can effectively guide decision making in fresh agricultural supply chain systems.
- ④
- Level of information system: This reflects the level of completeness and sophistication of the information system and facilities for providing customer service. Moreover, it reflects the ability to provide important information related to fresh agricultural products and the supply chain. The more adequate the information provided, the higher the level of service quality.
3.2. Evaluation Index Weighting Determination
In this paper, the hierarchical analysis method, in the general sense, was used to determine the corresponding weights of the fresh agricultural produce supply chain platform’s service quality evaluation indexes. The specific determination process involved inviting experts in the field of the fresh agricultural produce supply chain platforms to score the index, compare the corresponding indexes in the target layer and the criterion layer, in accordance with the determined criteria. Then, the judgment matrix was derived, the maximum eigenvalue and its corresponding eigenvector were calculated, and finally, the weights of each element in the layer relative to the criterion layer were derived.
In this paper, seven experts and executives of suppliers in the field of the fresh produce supply chain platforms were invited to participate in the scoring, including four experts from two universities in this field (experts with senior titles or above) and three executives from the main suppliers of “Fresh Networking”. Among them, four university professors were from Huazhong University of Science and Technology and Wuhan University of Science and Technology. They have more than 20 years of supply chain evaluation research experience. The three practical experts were all senior executives from supplier companies, who have more than 10 years of practical experience in agricultural produce supply chain platform operations. In collecting the scores of these experts, who were determining the relative importance of the indexes at each level, the judgment matrix of the indexes at each level was derived, and the weights of each index were finally obtained.
According to the indexes in Table 4, as an example, one of the industry experts filled out the questionnaire and used the five tables (Table 5, Table 6, Table 7, Table 8 and Table 9) to construct five judgment matrices for the comprehensive evaluation of the service quality of the fresh agricultural produce supply chain platform. As is shown from the comparison in Table 3, it was found that all of them met the consistency test through analysis, which proved that the judgment matrix, constructed by the experts’ two-by-two comparison of each index, was reasonable.
Table 5.
Comprehensive evaluation index judgment matrix and weight calculation.
Table 6.
Judgment matrix and weighting calculation of capital flow evaluation indexes.
Table 7.
Judgment matrix and weight calculation of logistic evaluation indexes.
Table 8.
Judgment matrix and weight calculation of business flow evaluation indexes.
Table 9.
Judgment matrix and weight calculation of information flow evaluation indexes.
With the same method, the ratings of the other six experts were analyzed using the consistency test, and the weights of the constructed service quality evaluation indexes of the fresh agricultural produce supply chain platform met the requirements of the specific evaluation and could be evaluated comprehensively in the next step.
The final weights of the indexes at each level were calculated as shown in Table 10.
Table 10.
Evaluation indexes showing the weighting and ranking service quality of the fresh agricultural produce supply chain platform.
Based on the calculation analysis, the research showed that the importance of the relationships of the first-tier index in the coordination-based service quality evaluation of the fresh agricultural produce supply chain platform was as follows: capital flow coordination service capability > information flow coordination service capability > logistics coordination service capability > business flow coordination service capability.
Therefore, in the process of comprehensive service quality evaluation, capital flow coordination service capability was shown to be the most important factor in the evaluation of the service quality of the fresh agricultural produce supply chain platform, followed by information flow coordination service capability, logistics coordination service capability, and the importance of business flow coordination service capability was weaker compared with the first layer.
3.3. Data Processing and Arithmetic
3.3.1. Questionnaire Design
The research combined the previously established evaluation index system with the service quality survey and analysis of the fresh agricultural produce supply chain platform to design a detailed questionnaire.
The specific measurement questions of each variable in the research model were described in detail, and the questionnaire was specifically divided into two parts: the first part was based on the four measurement dimensions and 17 specific evaluation indexes. Hence, the capital flow, logistics, information flow, and business flow of the service quality evaluation index system were included. Moreover, as constructed in our previous paper, for the coordination of the fresh agricultural product platform supply chain, the research questionnaire had 17 corresponding questions, and the questionnaire also included a question regarding service quality improvement to measure the respondents’ perceived degree of service quality, taking into account different aspects of service quality [43].
Each question in the first part of the questionnaire was answered using a Likert-5 scale, and the corresponding scores were set. A score of 20 meant “strongly disagree”, 40 meant “basically disagree”, 60 meant “generally agree”, 80 meant “basically agree”, and 100 meant “strongly agree”. The score values of these five levels were measured.
By statistically analyzing the percentage of each situation, here, the research results determined the specific value that the client placed on each index. The second part of the research questionnaire was designed to collect background information (gender, age, education level, and occupation), which was used to gain a basic picture of the respondent.
3.3.2. Distribution and Collection of Questionnaires
The end-use customers of the “Fresh Networking” supply chain were selected as the target of the survey, and through data statistics and analysis, the quality level of the supply chain services provided by the “Fresh Networking” project could be directly perceived. The questionnaire survey was directed at the consumers of fresh agricultural products distributed by the “Fresh Networking” project, and field research was the main surveying method, supplemented by online platform research.
The field research was conducted mainly in relation to customers in the three towns of Wuhan, including Qingshan, Hongshan, Jianghan, and Hanyang, where electronic vegetable boxes were installed. The online questionnaire was sent to the customers who most often bought fresh agricultural products from the “Fresh Networking” e-commerce platform and had experience of its supply chain service.
The combined online and offline survey process issued a total of 460 research questionnaires (400 offline and 60 online), of which 450 questionnaires (392 offline and 58 online) were returned, and of which 408 questionnaires were true and valid. After a simple calculation, the final efficiency of the questionnaire was deemed to be 88.69%.
3.3.3. FCE Calculation Process
Using the analysis result of Table 10, Table 11 shows the FCE index weights and their consistency tests for the quality of the fresh agricultural produce supply chain platform, the “Fresh Networking” service, based on the importance of the indexes at all levels, which were determined by the experts’ scores in the previous section.
Table 11.
FCE index weights and consistency tests for the quality of the fresh agricultural produce supply chain platform, the “Fresh Networking” service.
Combined with the index weights at all levels, as determined by the experts’ scoring, the FCE results of the “Fresh Networking” fresh agricultural produce supply chain platform’s service quality were further obtained after collation.
The research further obtained the values of the corresponding sets of W, W1, W2, W3, and W4 by combining the sets of R.
S1 = W1 * R1 = (0.302, 0.170, 0.212, 0.316)*
= (0.006, 0.027, 0.246, 0.364, 0.039)T
S1 was normalized, and the specific scores of B1, B2, B3, and B4 were 71.82, 72.18, 67.34, and 70.22, respectively.
In accordance with the first-level fuzzy evaluation, the first-level index evaluation matrix was obtained.
Finally, the results of the comprehensive evaluation of the service quality of the fresh agricultural produce supply chain platform, “Fresh Networking”, were calculated and obtained.
B = 0.008 * 20 + 0.069 * 40 + 0.362 * 60 + 0.488 * 80 + 0.073 * 100 = 70.98
3.4. Research Design and Discussion
In accordance with the results in Table 11, the evaluation results are shown in Table 12. Determining the rank in the comprehensive evaluation results utilized the concept of the maximum affiliation method (i.e., the rank was determined based on the location of the vector with the largest value in the evaluation result vector).
Table 12.
The comprehensive evaluation results of the service quality of the fresh supply chain platform, “Fresh Networking”.
Before formally distributing the questionnaire, the authors interviewed a sample of fresh agricultural product consumers who participate in the “Fresh Networking” project in order to understand their perception of the level of service quality in the “Fresh Networking” supply chain. The data research and analysis results show that the sample interviewees were generally satisfied with the service quality of the “Fresh Network” supply chain, which essentially mirrors the actual data and measurement results, and the comprehensive evaluation results basically reflect the real service quality level of “Fresh Networking”.
Through the questionnaire analysis and evaluation results, it was found that the “Fresh Networking” project is able to deliver fresh agricultural products to consumers on time with high quality produce, in sufficient quantities, through the coordinated operations of the supply chain. It appeared to me customer needs, and it demonstrates good collaborative services and operation management capabilities among upstream and downstream members of the supply chain.
3.4.1. Concrete Performance of “Fresh Networking”
- (1)
- The logistics efficiency of the “Fresh Networking” fresh agricultural produce supply chain platform is high. The logistics service quality evaluation score was 72.18, which represents the best performance score.
The results of this rating are directly related to the self-managed logistics system of “Fresh Networking”, which is flexible, controlled, and targeted to provide direct services to consumers and to guarantee real-time monitoring within the logistics and freshness services.
The most important aspect in the daily operation of the fresh agricultural produce supply chain platform is to control the temperature and ensure high quality. The supply chain used for the “Fresh Networking” project has invested substantial money and manpower into fresh storage, good transportation infrastructure, fresh packaging, and fresh technology to ensure that the fresh agricultural products are of a high quality each operation process; this has earned the project a high customer satisfaction rate, and overall, it has helped to improve the supply chain’s operations.
- (2)
- The ability to handle capital flow in the fresh agricultural produce supply chain platform, “Fresh Networking”, is good. The evaluation score for fund flow service quality was 71.82, which is high.
Especially in terms of payment and refund processing ability, the advantages are obvious and satisfaction is high, which shows that consumers greatly recognize the current ability of “Fresh Networking” to handle payment and issue refunds.
However, on the index of “average price advantage in the same category”, which ranked first in terms of weight, customer satisfaction was average, which also indicates that the price advantage is not obvious.
- (3)
- The information service level of the “Fresh Network” fresh agricultural produce supply chain platform needs to be improved. The evaluation score for information flow service quality was 70.22, which is not high.
The evaluation results show that “Fresh Networking” did not receive high scores for three criteria: information processing speed, reliability, and information system level. Nevertheless, it was shown that the customers are generally satisfied with these three criteria, which restricts the further development of the supply chain.
The reasons for this are, on the one hand, the level of collaborative information processing in the supply chain needs to be improved, and on the other hand, supply chain information technology and information system development capabilities need to be improved; however, the high score for “frequency of information exchange” indicates that the supply chain service personnel interact with consumers frequently and in a timely manner.
- (4)
- The business flow service capability of the fresh agricultural produce supply chain platform, “Fresh Networking”, needs to be improved. The evaluation score of business flow service quality was 67.34, which is the lowest score.
There is a significant gap between consumers’ expectations in terms of consumption time, flexibility in terms of variety, and brand image. Consumer stickiness is still insufficient, which is related to consumers’ greater sensitivity to the price of fresh produce on the one hand, and consumers’ recognition of the brand on the other. Moreover, fresh agricultural products are not rich enough in variety to meet consumers’ requirements for alternative purchases.
In addition, it was shown that the satisfaction level in terms of delivery flexibility and flexibility in terms of quantity is good, which is directly related to the high, self-managed logistical coordination capability mentioned previously, thus indicating the high level of flexibility in the “Fresh Networking” delivery process.
- (5)
- The comprehensive evaluation of the service quality of the “Fresh Networking” fresh agricultural produce supply chain platform showed more satisfactory results. The overall score for the service quality evaluation was 70.98, which ranks as “Satisfactory”, in accordance with the evaluation grade.
The overall evaluation results show that consumers’ overall perception of the “Fresh Networking” supply chain service quality is “satisfied”, and the ratings of the first-tier indexes of capital flow service capability, logistics service capability, and information flow service capability were 71.82, 72.18, and 70.22, respectively, which also reach the “satisfaction” level. The ratings of the first-tier indexes of capital flow service capability, logistics service capability, and information flow service capability were 71.82, 72.18, and 70.22, respectively, which also reach the “satisfaction” level, thus indicating that the supply chain service quality is relatively high and customer satisfaction is high.
At the same time, it should also be observed that the service capability of business flow in the first-level index was 67.34, which is rated as “average”, and thus, it needs to be further improved to enhance the collaborative processing capability of business flow.
3.4.2. Sensitivity Analysis of Service Quality Evaluation Index Values
From the derivation process of the sensitivity analysis formula of the index value of the fresh agricultural produce supply chain platform’s service quality evaluation, it can be observed that the sensitivity of the change to the composite score of the target layer and the criterion layer was mainly influenced by the combination of the index weight value, the index change value, the initial index value, and the initial score of the target layer (criterion layer). There was a linear correlation between the integrated score values and the parameters related to the index values.
More specifically, the comprehensive score values of the target and criterion layers in the service quality evaluation index system were positively correlated with the index weight values, initial index values, and index change values, on the one hand, and they were negatively correlated with the initial score values of the target layer (criterion layer) on the other.
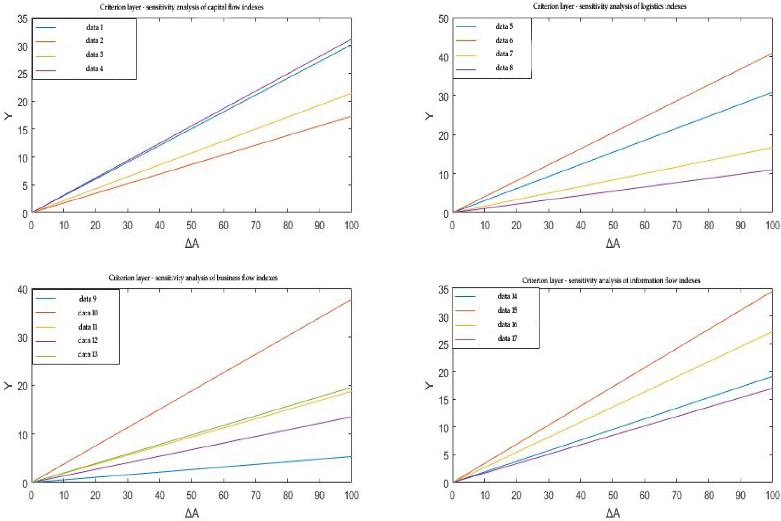
From the analysis of Figure 1 and Figure 2, it is evident that as the scores of the corresponding index values of the criterion and target layers changed, the changes in the composite scores were analyzed using the weighted average method, and the linear trends of the corresponding composite scores were obtained differently.
Figure 1.
Trend of changes in scores at each criterion level due to changes in index scores.
Figure 2.
Trend of changes in overall service quality score due to changes in index scores.
Through the analysis of the trend of change in the scores in the criterion level, the four indexes (namely, the average price advantage of the same category in capital flow coordination, the degree of product integrity in logistics coordination, the level of delivery flexibility in business flow coordination, and the speed of collaborative response in information flow coordination) caused the largest change in trend with regard to the composite score in the corresponding criterion level, and it caused the most obvious sensitivity in the corresponding criterion level.
We analyzed the changes in the composite score, which were caused by 17 index values in the target layer, and found that the average price of the same category and the convenience of payment in the capital flow, the collaborative response speed in the information flow, and the product integrity in terms of logistics, were the four indexes with the highest sensitivity. Through the evaluation of the service quality of the fresh agricultural product platform supply chain, and the sensitivity changes caused by the index values of “Fresh Networking”, it was observed that in order to achieve a faster improvement of service quality through lower resource input, the service level indexes of average price advantages in the same category (payment convenience, collaborative response speed, and product integrity) should be improved as a priority.
Among the four criterion layers, the index value corresponding to capital flow coordination had the most obvious influence on the score of the target layer, and the comprehensive sensitivity had the largest influence on the score of the target layer. In terms of the improvement of the service quality of “Fresh Networking”, with the retailer as the core and the consumer as the final target, the improvement of the corresponding index of supply chain capital flow coordination should be strengthened first.
3.4.3. Sensitivity Analysis of Evaluation Index Weights
- (1)
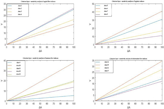
- Different trends were observed in relation to the impact of changes in index weights on the overall score. Combined with the weighted average method, we continued to analyze the specific impact of the weights of the evaluation indexes on the service quality of the “Fresh Network” project. The weights corresponded with the coordination of the four aspects in the criterion layer, and they were in accordance with the aforementioned weight change rules; therefore, the corresponding index weights in the index layer changed from 0 to 1 in units of 0.01, and we calculated the changes in the corresponding indexes in the capital flow, logistics, business flow, information flow, and target layer, as well as the criterion layer, to ascertain the overall score. The impact of the change on the corresponding indexes, and subsequently, on the composite score, was calculated. The effects of the changes on the corresponding index weights and on the composite score are shown in Figure 3 and Figure 4.
Figure 3. Changes in composite scores due to changes in index weights at each criterion level.
Figure 4. Summary of changes in the composite score due to changes in the weight of each index.
From the analysis of Figure 3 and Figure 4, it is evident that, with the changes in the weights of the corresponding indexes in the criterion and target layers, the changes in the composite scores were analyzed using the weighted average method, and the trends of the corresponding composite scores were different.
Among them, the trend of change in the composite score was caused by the weighting of three indexes, namely, flexible payment ability, refund timeliness, and payment convenience in the coordination of capital flow; the trend of change in the composite score was caused by the weighting of two indexes, namely, distribution and processing ability and freshness delivery ability in the coordination of logistics; the trend of change in the composite score was caused by the weighting of three indexes, namely, flexibility level in terms of varieties, flexibility level in terms of quantity, and consumption time length in the coordination of business flow. In the coordination of information flow, the frequency of information exchange, the reliability of information processing, and the level of information system, caused by the weighting of three indexes, had a greater tendency to change.
Combining all 17 indexes in the target layer, the weights of the indexes related to capital flow and logistics in the criterion layer had the most obvious influence on promoting the comprehensive score, and they were also important elements to ensure the stable development of the fresh agricultural produce supply chain platform.
- (2)
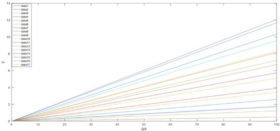
- The research considered the changes in the weights of the service quality evaluation indexes and their initial values to jointly contribute to the trend of change of the composite score. Considering the weight changes and their initial values, in accordance with the weighted average method, we continued to calculate the corresponding weight changes in the corresponding criterion layers of capital flow coordination, logistics coordination, business flow coordination, and information flow coordination; the results are shown in Figure 5 and Figure 6, respectively.
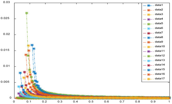
Figure 5. Sensitivity intervals caused by changes in the weights of indexes in each criterion layer and their initial values.
Figure 6. Summary of sensitivity intervals caused by changes in the weights of each index and their initial values.
Considering the influence of the initial value of each index in the index layer, with the change in the corresponding index weights in the criterion and target layers, the sensitivity changes in the corresponding weights were obtained differently.
From the analysis of Figure 5 and Figure 6, it can be seen that the two indexes of the same category, average price advantage, and payment convenience in capital flow coordination, had a higher weight sensitivity; the index of freshness delivery ability in logistics coordination had a higher weight sensitivity; the two indexes of delivery flexibility level and supply chain brand image in business flow coordination had a higher weight sensitivity; and the collaborative response speed and information processing reliability in information flow coordination had a higher weight sensitivity.
By combining the 17 indexes in the index layer, which corresponded with the target layer, we found that the two index weights of the average price advantage of the same category, coupled with the collaborative response speed, had the highest sensitivity, and their sensitivity changes had the greatest impact on the final evaluation results. By combining the four dimensions in the criterion layer, which corresponded with the target layer, it was evident that the index weights corresponding to capital flow had the most obvious impact on the comprehensive score; thus, the fresh agricultural produce supply chain platform and its members should realize the coordinated operation of the supply chain through the means and methods of revenue, price, and guaranteed capital flow at an early stage.
3.5. Analysis of Results
Main Numerical Analysis Results
Combined with the results of the interviews of a sample of consumers of the “Fresh Network” project, it was found that consumers are most sensitive to the average price advantage of the same category and the collaborative response speed of the supply chain as a whole; the analysis results were shown to be essentially consistent with the actual results. Therefore, the evaluation results are scientific and reasonable, and they confirm that the sensitivity analysis method for index values and index weights is suitable for the comprehensive evaluation of multi-attribute fresh agricultural produce supply chain platform systems.
The comprehensive comparison of the coordination effect of evaluation indexes is a relatively complex task. On the one hand, the influence of the index value on the service quality of the fresh agricultural produce supply chain platform on the comprehensive evaluation score was analyzed, and it was proposed that focusing on coordinating and improving the capital flow in the supply chain provides the possibility of using controllable index values to adjust the evaluation results. Moreover, based on the sensitivity analysis of index weights, an improved sensitivity analysis method that considers the changes caused by this method to index weights from their initial value was also proposed. This meant that two sensitivity analyses were conducted to determine the change in index weights from the initial values of the indexes, and the coordination ability of financial flow also needs to be noted. The conclusions of the analysis of index values and index weights show that the coordination of capital flow should be given priority in the process of fresh agricultural produce supply chain platform operations, and the coordination of supply chain operations can be achieved through various means of optimizing capital flow. Advantages and Disadvantages.
Compared with previous similar studies, it was found that our principle method for conducting a sensitivity analysis of indexes and their weights in this paper are scientific and practical, and they are especially applicable for use with the comprehensive evaluation method, with many indexes. Through Matlab programming, the initial values of the indexes and their weights, using the example of the “Fresh Networking” project, were inputted into the model program. The corresponding results were obtained through the operation, and the final conclusions reflect the characteristics of the indexes. More specifically, it was shown that the proposed improved evaluation index and its weight sensitivity analysis method can identify index parameters with higher levels of sensitivity in the original problem, and it can also determine how changes in each index parameter affect the evaluation results. It can provide evaluators and decision makers involved in the service quality of fresh agricultural produce supply chain platform with more scientific and reasonable sensitivity characteristics for further support in decision making. On one hand, the numerical analysis method in this study does not take into account the probability of future changes in uncertain factors. This probability is directly related to the occurrence of risk. On the other hand, the evaluation methods in the study are highly subjective, which means they cannot be used to solve the problem of information duplication caused by the correlation between evaluation indexes, and thus, they are not suitable for use in high-accuracy problems.
4. Conclusions
By referring to the research results of scholars in the field of service quality evaluation and supply chain coordination evaluation, the research oriented this paper to solve the issue that supply chain service quality is difficult to observe and not easy to evaluate. Unlike previous studies that have focused on supply chain products or members, this paper proposed a coordination-based service quality evaluation index system for fresh agricultural produce supply chain platforms, noting four dimensions: capital flow, logistics, business flow, and information flow. This paper designed a research questionnaire for data collection, then, we used a general method of operation research to analyze the “Fresh Networking” project. Then, a general method of operation research was applied to analyze the “Fresh Networking” project. Furthermore, an improved sensitivity analysis method for the MCDM evaluation index was proposed, which was introduced to the evaluation application of the “Fresh Network” project. It was shown that the sensitivity analysis based on multi-attribute indexes can accurately characterize the changes in each evaluation index, in an evaluation system, in the actual environment, and the influence of each evaluation index on the evaluation results is also taken into consideration. The final conclusion of this study is that the impact of capital flow on the fresh agricultural produce supply chain platform is the most sensitive, which means that it should be designed and implemented when optimization decisions are being made.
Inevitably, the research has some limitations, and these also help comprise directions for further research:
- (1)
- The case study presented in this paper was representative of fresh agricultural product circulation; however, the model of the fresh agricultural produce supply chain is diverse and multi-modal. The emergence and development of mobile Internet and fresh agricultural products in the community have sparked new topics of interest and goals for practical research. In order to make the corresponding method model applicable to a wide range of fields, in follow-up studies, scholars could further consider extending to other fresh agricultural product circulation fields and formats, such as communities relying on fresh e-commerce produce.
- (2)
- The basic construction of fresh agricultural produce supply chain platform coordination is still in progress. At present, in practice, there is a lack of extensive cases and data regarding relevant empirical research, especially in terms of a model built for online–offline integration modes. With the full development of the circulation of fresh agricultural products in the community and fresh e-commerce, this could be further verified using group empirical data in combination with the online–offline integration model. This is also an important topic and direction for development in the future.
Author Contributions
Conceptualization, Y.W. and X.D.; methodology, X.D.; software, Y.W.; validation, Y.W.; formal analysis, Q.L.; investigation, C.M.N., A.K. and M.G.; resources, Y.W. and Q.L.; data curation, Q.L.; writing—original draft preparation, Y.W.; writing—review and editing, Y.W., Q.L., and A.K.; supervision, X.D. and M.G.; project administration, Y.W. All authors have read and agreed to the published version of the manuscript.
Funding
The research was funded by the National Natural Science Foundation of China (NSFC) project (71901167); the Hainan Special PhD Scientific Research Foundation of Sanya Yazhou Bay Science and Technology City Project (HSPHDSRF-2022-03-032); the Wuhan University of Science and Technology (WUST) research project (2022H20537); the CSL and CFLP research project plan (2022CSLKT3-132); the Department of Education of Hubei Province young and middle-aged talents project (20211102).
Data Availability Statement
Not applicable.
Conflicts of Interest
The authors declare no conflict of interest.
References
- Dan, B.; Xu, G. Revenue sharing contract for dual-channel supply chain coordination with stochastic demand. J. Syst. Eng. 2013, 28, 514–521. [Google Scholar]
- Balachandran, K.R.; Radhakrishnan, S. Quality implications of warranties in a supply chain. Manag. Sci. 2005, 51, 1266–1277. [Google Scholar] [CrossRef]
- Vagnoni, E.; Franca, A.; Porqueddu, C.; Duce, P. Environmental profile of Sardinian sheep milk cheese supply chain: A comparison between two contrasting dairy systems. J. Clean. Prod. 2017, 165, 1078–1089. [Google Scholar] [CrossRef]
- Seth, N.; Deshmukh, S.G.; Vrat, P. A framework for measurement of quality of service in supply chains. Supply Chain Manag. Int. J. 2006, 11, 82–94. [Google Scholar] [CrossRef]
- Wang, Y.; Zhang, P.L. Empirical Research on Cold Chain Logistics Service Quality Evaluation in the Context of Industrial Convergence. China Bus. Mark. 2016, 33–39. [Google Scholar]
- Zhang, C.H.; Ren, J.Y.; Yu, H.B. Supply Chain Collaboration Mechanism Based on Penalty and Bonus under Asymmetric Information. Chin. J. Manag. Sci. 2006, 14, 32–37. [Google Scholar]
- You, J.X.; Lao, S.Q. Supply Chain Coordination Involving Logistics Service Quality of TPLSP. J. Tongji Univ. Nat. Sci. 2012, 40, 1422–1427. [Google Scholar]
- Chen, Y.; Xie, Y.W.; Song, N.X.; Du, X.J. Research on Risk Sharing Coordination of Closed-loop Supply Chain Based on Principal-agent Theory. Chin. J. Syst. Sci. 2019, 27, 73–79. [Google Scholar]
- Zhang, X.; An, S.Y. Dual-channel Supply Chain Coordination of Fresh Products Considering the Retailer’s Fairness Concern under Fresh-keeping Costs Sharing. Ind. Eng. Manag. 2021, 26, 15–22. [Google Scholar]
- Roethlein, C.; Ackerson, S. Quality communication within a connected manufacturing supply chain. Supply Chain Manag. Int. J. 2004, 9, 323–330. [Google Scholar] [CrossRef]
- Adam, B.D.; Holcomb, R.; Buser, M.; Mayfield, B.; Thomas, J.; O’Bryan, C.A.; Crandall, P.; Knipe, D.; Knipe, R.; Ricke, S.C. Enhancing Foog Safety, Product Quality, and Value-Added in Food Supply Chains Using Whole-Chain Traceability. Int. Food Agribus. Manag. Rev. 2016, 19, 191–214. [Google Scholar]
- Perrault, W.D.; Russ, F. Physical Distribution Service: A Neglected Aspect of Marketing Management. MUS Bus. Top. 1974, 22, 37–45. [Google Scholar]
- Lalonde Bernard, J.; Paul, H.Z. Customer Service: Meaning and Measurement; National Council of Physical Distribution Management: Chicago, IL, USA, 1976. [Google Scholar]
- Wang, X.; Lai, I.K.W.; Tang, H.; Pang, C. Coordination Analysis of Sustainable Dual-Channel Tourism Supply Chain with the Consideration of the Effect of Service Quality. Sustainability 2022, 14, 6530. [Google Scholar] [CrossRef]
- Sett, B.K.; Dey, B.K.; Sarkar, B. The Effect of O2O Retail Service Quality in Supply Chain Management. Mathematics 2020, 8, 1743. [Google Scholar] [CrossRef]
- Mentzer, J.T.; Flint, D.J.; Hult, G.T.M. Logistics Service Quality as a Segment-Customized Process. J. Mark. 2001, 65, 82–104. [Google Scholar] [CrossRef]
- Wu, M.L. Summary and Prospect of Research on Agricultural Products Supply Chain Management at Home and Abroad. China J. Commer. 2015, 8, 137–139. [Google Scholar]
- Zhang, J. Evaluation Method of Green Supply Chain Based on Fuzzy Mathematics and Network DEA Model. Stat. Decis. 2016, 14, 41–44. [Google Scholar]
- Ying, H.H.; Liu, Y.Y.; Liu, C.M. A Study on the Performance Evaluation of “Agriculture Supermarket Connection” of Vegetables: A Case Study of “Farmers + Cooperatives + Supermarkets” in Harbin, Heilongjiang Province, China. World Agric. 2015, 8, 48–52. [Google Scholar]
- Xiao, D.; Zhou, Y.W.; Shi, X.S. Stable Structure of Purchasing Coalitions with Horizontal Competing Retailers in Distribution Supply Chains. Chin. J. Manag. Sci. 2017, 25, 33–41. [Google Scholar]
- Govindan, K. Sustainable consumption and production in the food supply chain: A conceptual framework. Int. J. Prod. Econ. 2018, 195, 419–431. [Google Scholar] [CrossRef]
- Luzzini, D.; Caniato, F.; Spina, G. Designing vendor evaluation systems: An empirical analysis. J. Purch. Supply Manag. 2014, 20, 113–129. [Google Scholar] [CrossRef]
- Giannakis, M. Performance measurement of supplier relationships. Supply Chain Manag. Int. J. 2007, 12, 400–411. [Google Scholar] [CrossRef]
- Hald, K.S.; Ellegaard, C. Supplier evaluation processes: The shaping and reshaping of supplier performance. Int. J. Oper. Prod. Manag. 2011, 31, 888–910. [Google Scholar] [CrossRef]
- Zadeh, L.A. Fuzzy sets, Information and Control 8. J. Symb. Log. 1965, 8, 338–353. [Google Scholar]
- Ghorabaee, M.K.; Amiri, M.; Zavadskas, E.K.; Antucheviciene, J. A new hybrid fuzzy MCDM approach for evaluation of construction equipment with sustainability considerations. Arch. Civ. Mech. Eng. 2017, 18, 32–49. [Google Scholar] [CrossRef]
- Wudhikarn, R. An approach to enhancing the human capital of enterprises associated with cooperative education. Int. J. Learn. Intellect. Cap. 2017, 12, 61–81. [Google Scholar] [CrossRef]
- Lu, M.; Wudhikarn, R. Using the best-worst method to develop intellectual capital indicators in financial service company. In Proceedings of the 2022 Joint International Conference on Digital Arts, Media and Technology with ECTI Northern Section Conference on Electrical, Electronics, Computer and Telecommunications Engineering (ECTI DAMT & NCON), Chiang Rai, Thailand, 26–28 January 2022; pp. 81–86. [Google Scholar]
- Nouri, F.A.; Esbouei, S.K.; Antucheviciene, J. A Hybrid MCDM Approach Based on Fuzzy ANP and Fuzzy TOPSIS for Technology Selection. Informatica 2015, 26, 369–388. [Google Scholar] [CrossRef]
- Liao, C.N.; Yan, K.; Wu, L. Integrated FAHP, ARAS-F and MSGP Methods for Green Supplier Evaluation and Selection. Technol. Econ. Dev. Econ. 2016, 22, 651–669. [Google Scholar] [CrossRef]
- Jaskowski, P.; Biruk, S.; Bucon, R. Assessing contractor selection criteria weights with fuzzy AHP method application in group decision environment. Autom. Constr. 2010, 19, 120–126. [Google Scholar] [CrossRef]
- Önden, İ.; Acar, A.Z.; Eldemir, F. Evaluation of the logistics center locations using a multi-criteria spatial approach. Transport 2016, 33, 322–334. [Google Scholar] [CrossRef]
- Balin, A.; Baraçli, H. A fuzzy multi-criteria decision making methodology based upon the interval type-2 fuzzy sets for evaluating renewable energy alternatives in Turkey. Technol. Econ. Dev. Econ. 2017, 23, 742–763. [Google Scholar] [CrossRef]
- Mardani, A.; Jusoh, A.; Zavadskas, E.K. Fuzzy multiple criteria decision-making techniques and applications—Two decades review from 1994 to 2014. Expert Syst. Appl. 2015, 42, 4126–4148. [Google Scholar] [CrossRef]
- Lu, A.W.; Jing, W.J. Research on Incentive Mechanism for logistics service supply chain under Customer’s Evaluation of Service Quality. Commer. Res. 2015, 57, 166–174. [Google Scholar]
- Xu, G.S. Research on the Evaluation of Fresh E-commerce’s Logistics Service Quality Based on Rough Set. China Bus. Mark. 2019, 33, 35–44. [Google Scholar]
- Wang, Y.; Deng, X.D. Empirical Study on the Performance Evaluation of Agricultural Products Supply Chain Based on Factor Analysis. China Bus. Mark. 2015, 29, 10–16. [Google Scholar]
- Zhao, T.Y. Supply Chain Coordination Efficiency Evaluation Method and Its Application Based on Data Envelopment Analysis (DEA); University of Science and Technology of China: Hefei, China, 2021. [Google Scholar]
- China Ministry of Finance, China Ministry of Commerce. Notice on Further Strengthening the Construction of Agricultural Supply Chain System. [EB/OL]. Available online: http://www.gov.cn/zhengce/zhengceku/2021-05/18/content_5608311.htm (accessed on 10 May 2021).
- Han, X.; He, F. The Impact of the Operation Mode of Closed Supply Chain of Agricultural Products on the Supply Chain Performance -Taking 256 Leading Agricultural Enterprises as An Example. Financ. Econ. 2014, 11, 92–101. [Google Scholar]
- Hong, Z.S.; Su, Q.; Huo, J.Z. Study on the Research of Service Quality Management. Manag. Rev. 2012, 24, 152–163. [Google Scholar]
- Fang, R.W.; Zhang, X.D. Evaluation and Sensitivity Analysis of Ramp Type Selection of Urban Key Interchange. J. Wuhan Univ. Technol. (Transp. Sci. Eng.) 2017, 41, 434–438. [Google Scholar]
- Sui, B.W. Performance Appraisal of Cross-border Agro-food Supply Chain Alliance: An Empirical Analysis between Guangxi Province and ASEAN. J. Beijing Jiaotong Univ. (Soc. Sci. Ed.) 2017, 16, 129–136. [Google Scholar]
Disclaimer/Publisher’s Note: The statements, opinions and data contained in all publications are solely those of the individual author(s) and contributor(s) and not of MDPI and/or the editor(s). MDPI and/or the editor(s) disclaim responsibility for any injury to people or property resulting from any ideas, methods, instructions or products referred to in the content. |
© 2023 by the authors. Licensee MDPI, Basel, Switzerland. This article is an open access article distributed under the terms and conditions of the Creative Commons Attribution (CC BY) license (https://creativecommons.org/licenses/by/4.0/).





