A Scalable and Trust-Value-Based Consensus Algorithm for Internet of Vehicles
Abstract
:1. Introduction
- (1)
- We propose a multi-weight subjective logic model to calculate the RSUs node’s credit value more accurately.
- (2)
- We propose a committee election algorithm to select appropriate nodes to participate in consensus based on node reputation, reduce communication complexity, and improve the scalability of blockchain.
- (3)
- We propose a double-layer consensus structure algorithm, which firstly carries out regional consensus and then global consensus to reduce consensus latency and communication complexity.
- (4)
- We experimentally tested the proposed reputation assessment model RCMWSL and the C-PBFT consensus algorithm.
2. Related Work
2.1. IoV Reputation
2.2. Consensus Protocol Scalability
3. System Model
3.1. System Architecture
- (1)
- Vehicle: The vehicle is equipped with an intelligent On Board Unit (OBU), which enables it to have functions such as sensing, computing, and storage. The vehicle is responsible for uploading its interaction records, feedback ratings, and other information to the RSUs.
- (2)
- RSU: Compared with the vehicles, the RSU has strong computing and storage resources as well as a sufficient energy supply, so the RSU is selected as the node of the blockchain network. In addition, the RSU needs to collect the communication data among vehicles within its communication range as well as the feedback rating data, update the reputation value of vehicles at the end of each cycle according to their behavior, and then package the results into blocks to be added into the blockchain network for global vehicles and other subjects to query.
- (3)
- Reputation Center (RC): The reputation center stores the latest reputation of vehicles and RSUs in the network. When the reputation obtained by RSUs from the vehicle side is too different from that stored by RSUs, RSUs will request the latest reputation of the corresponding vehicles from the RC. At the same time, the RC issues certificates for legitimate vehicles and RSUs and distributes public and private keys of vehicles and RSUs through secure channels. The model assumes that the RC is completely credible.
3.2. Network Model
3.3. Security Properties
- (1)
- SafetyAt the same block height, any two honest nodes submit the same blocks.
- (2)
- LivenessIf a transaction is received by an honest node, then that transaction will eventually be included in the honest node’s ledger.
4. C-PBFT Consensus Algorithm
4.1. Algorithm Design Overview
4.2. Reputation Calculation Using Multi-Weighted Subjective Logic Model
4.2.1. Local Opinions of Subjective Logic
4.2.2. Multi-Weight Local Opinions of Subjective Logic
- Interaction Frequency: The higher the interaction frequency means that vehicle has more prior knowledge of , so the calculation of ’s credit value to is more accurate and reliable. The interaction frequency of with is the number of times interacts with , the ratio of to the number of times V interacts with and other interactions in a time window. For distinction, the frequency of interaction between vehicle and in this step is expressed as :, where z is the set of all RSUs interacting with vehicle in the time window, with N elements. The higher the interaction frequency, the higher the reputation expectation of vehicle on .
- Timeliness of Interaction: Recent behavioral events with a higher degree of freshness are weighted more heavily than past events. In order to reflect the effect of reaction time on reputation, a freshness decay function is defined to represent the freshness of a behavioral event: , where is a given decay parameter about the freshness of an event. In a time period X, the local opinion vector of vehicle on the evaluation of is expressed aswhere represents the freshness attenuation function, , and are shown in Formula (1).
- Interaction Effects: Positive interactions increase the reputation value of RSU nodes, while negative interactions decrease the reputation of RSU nodes. In general, the effects of negative events are much more serious in public opinion than positive effects, so the interaction effects of messages have higher weights on local opinions. The weight of positive interaction is , and the weight of negative interaction is , where , . Combining the interaction timeliness and the weight of the interaction effect, the positive and negative interaction effects of and are expressed as follows:Among them, represents the positive interaction between and , while represents the negative interaction effect between and .
- Distance Factor: Considering the influence of the geographical location where the vehicle Vi sends the message, that is, the farther the geographical location where the message is generated is from the geographical location where the event occurs, the lower the event weight. Assuming that the distance between the location where the event is generated and the location where the message is sent is 0-L, we believe that the information is credible in terms of distance factors.The factors influencing distance are shown as follows:where , and are the location coordinates of the message generated by vehicle Vi and the geographic location coordinates of the message generation, respectively.Therefore, the overall credibility value weight of the local opinion is , where .
4.2.3. Recommended Opinions of Subjective Logic
4.2.4. Combining Local Opinions with Recommended Opinions
4.3. Committee Election Algorithm
| Algorithm 1 Reputation election |
|
4.4. Double-Layer Consensus Structure
4.4.1. Regional Local Consensus
- (1)
- Pre-prepare Phase
- (2)
- Prepare Phase
- (3)
- Commit Phase
- (4)
- Reply Phase
| Algorithm 2 Regional Local Consensus Pseudocode |
|
4.4.2. Global Consensus
| Algorithm 3 Global Consensus Pseudocode |
|
5. Theoretical Analysis
5.1. Safety Analysis
5.2. Liveness Analysis
5.3. Honest Majority of the Committee
5.4. Attacks Discussion
- (1)
- The master node may be a malicious node.Malicious primary nodes intentionally generate divergent pre-prepared messages and transmit them to other nodes. In the PBFT’s prepare and commit phases, nodes engage in voting amongst themselves. If the pre-prepared messages from the primary node are inconsistent, replica nodes can readily detect this discrepancy. Consequently, replica nodes will abandon the consensus proposed by the primary node and await the re-presentation of transactions by other nodes. Simultaneously, the credibility assessment mechanism and the view change protocol ensure that the malicious behavior of the primary node is curtailed within reasonable bounds.
- (2)
- The malicious nodes predict the master node in advance to carry out the attack.Our proposed consensus algorithm utilizes a committee election mechanism to randomly designate primary nodes. This approach ensures a certain degree of randomness while still maintaining the requirement that nodes meet the credibility threshold. This prevents the scenario wherein the node with the highest reputation consistently acts as the primary node, thereby thwarting malicious nodes from preemptively predicting the primary node.External attack. An attacker may maliciously attack the nodes in the blockchain network to make them behave maliciously and thus attack the consensus algorithm from the external network.
- (1)
- The data is tampered and forged.The RSU nodes within the system employ techniques such as pseudonymous identification, hash algorithms, and digital signatures. To safeguard against data tampering, the blockchain system utilizes asymmetric encryption technology. As a result, nodes lacking the requisite private keys are incapable of forging the identities of other nodes or the signatures of their messages. The integration of blockchain technology and digital signatures substantially elevates the cost of successful impersonation by potential attackers, thereby reinforcing the overall system’s reliability.
- (2)
- On-off attack by malicious nodes.The so-called On-off attack is when the attacker performs well for a period of time to enhance its reputation value, and when it accumulates to a high reputation value, it suddenly launches an attack until the reputation value is about to drop to a certain value, and then stops doing evil and becomes a normal node.
6. Performance Evaluation
6.1. Reputation Value Change Rate
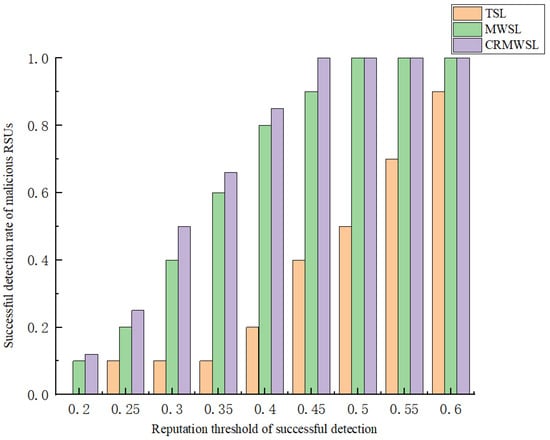
6.2. Malicious RSUs Detection Success Rate
6.3. Communication Overhead
- (1)
- In the pre-prepare phase, each group master node broadcasts the message to each node of the committee, and the communication overhead is u − 1 at this time.
- (2)
- In the prepare phase, when each RSU node that receives the message sends a verification message to all nodes in the group except its own node, and the overhead is (u − 1)(u − 1) at this time.
- (3)
- In the commit phase, in which all nodes receive verification messages from other nodes in the previous phase, the nodes confirm and count the number of messages received, and the overhead is u(u − 1) at this time.
- (4)
- In the reply phase, each node sends a reply message to the master node, and the communication volume is u − 1.
- (1)
- In the pre-prepare phase, when the master node in each region receives enough feedback messages, this message is put into the first layer transaction pool, and the first layer master node reads the transaction and broadcasts it to all nodes in the first layer, at this time the communication overhead is n − 1.
- (2)
- The communication overhead of the prepare and commit phases is similar to that of the first round of consensus in the bottom layer; then, its communication overhead is n(n − 1) + (n − 1)(n − 1).
- (3)
- In the reply phase, each regional master node sends a reply message to the master node, and the communication is n − 1.
6.4. Consensus Latency
6.5. Throughput
7. Conclusions
Author Contributions
Funding
Informed Consent Statement
Data Availability Statement
Conflicts of Interest
References
- Yang, Z.; Yang, K.; Lei, L.; Zheng, K. Blockchain-based decentralized trust management in vehicular networks. IEEE Internet Things J. 2018, 6, 1495–1505. [Google Scholar] [CrossRef]
- Yue, L.; Junqin, H.; Shengzhi, Q. Big data model of security sharing based on blockchain. In Proceedings of the 3rd International Conference on Big Data Computing and Communications (BIGCOM), Orlando, FL, USA, 15–18 December 2017. [Google Scholar]
- Yuan, Y.; Wang, F.Y. Towards blockchain-based intelligent transportation systems. In Proceedings of the IEEE 19th International Conference on Intelligent Transportation Systems (ITSC), Changsha, China, 17–18 December 2016. [Google Scholar]
- Kim, K.S. The trailer of blockchain governance game. arXiv 2018. [Google Scholar] [CrossRef]
- Liu, X.; Huang, H.; Xiao, F.; Ma, Z. A Blockchain-Based Trust Management With Conditional Privacy-Preserving Announcement Scheme for VANETs. IEEE Internet Things J. 2020, 7, 4101–4112. [Google Scholar] [CrossRef]
- Zhang, X.; Chen, X. Data Security Sharing and Storage Based on a Consortium Blockchain in a Vehicular Ad-hoc Network. IEEE Access 2019, 7, 58241–58254. [Google Scholar] [CrossRef]
- Gao, J.; Agyekum, O.; Sifah, E.B.; Acheampong, K.N. A Blockchain-SDN-Enabled Internet of Vehicles Environment for Fog Computing and 5G Networks. IEEE Internet Things J. 2020, 7, 4278–4291. [Google Scholar] [CrossRef]
- Li, U.G.; Yang, Q.; Wang, H. Trust Assessment in Online Social Networks. IEEE Trans. Dependable Secur. Comput. 2019, 18, 994–1007. [Google Scholar] [CrossRef]
- Liu, Y.; Li, K.; Jin, Y. A novel reputation computation model based on subjective logic for mobile ad hoc networks. Future Gener. Comput. Syst. 2011, 27, 547–554. [Google Scholar] [CrossRef]
- Jaimes, L.M.S.; Ullah, K. ARS: Anonymous reputation system for vehicular ad hoc networks. In Proceedings of the 2016 8th IEEE Latin-American Conference on Communications (LATINCOM), Medellin, Colombia, 15–17 November 2016. [Google Scholar]
- Rivas, D.A.; Guerrero-Zapata, M. Chains of trust in vehicular networks: A secure points of interest dissemination strategy. Ad Hoc Netw. 2012, 10, 1115–1133. [Google Scholar] [CrossRef]
- Lin, H.; Ma, J.; Hu, J. SLCRM—Subjective logic based cross layer reputation mechanism for wireless mesh networks. China Commun. 2012, 5, 10572. [Google Scholar]
- Moreira, E. An Evaluation of Reputation with Regard to the Opportunistic Forwarding of Messages in VANETs. EURASIP J. Wirel. Commun. Netw. 2019, 10, 993–1004. [Google Scholar]
- Josang, A.; Hayward, R.; Pope, S. Trust Network Analysis with Subjective Logic. In Proceedings of the Twenty-Ninth Australasian Computer Science Conference, Cap Esterel, France, 25–31 August 2006. [Google Scholar]
- Miller, A.; Juels, A. Permacoin: Repurposing bitcoin work for data preservation. In Proceedings of the 2014 IEEE Symposium on Security and Privacy, Berkeley, CA, USA, 18–21 May 2014. [Google Scholar]
- Gao, S.; Yu, T.; Zhu, J. T-PBFT: An eigentrust-based practical byzantine fault tolerance consensus algorithm. China Commun. 2019, 5, 9761. [Google Scholar] [CrossRef]
- Xiang, F.; Huaimin, W. Proof of previous transactions (PoPT): An efficient approach to consensus for JCLedger. IEEE Trans. Syst. 2019, 19, 332. [Google Scholar] [CrossRef]
- Wang, Q.; Yu, J.; Peng, Z. Security analysis on dBFT protocal of NEO. In Proceedings of the International Conference on Financial Cryptography and Data Security, Montreal, QC, Canada, 22–25 October 2020. [Google Scholar]
- Kwon, J. Tendermint: Consensus without Mining. 2022. Available online: https://tendermint.com/static/docs/tendermint (accessed on 10 March 2023).
- Gilad, Y. Algorand: Scaling byzantine agreements for cryptocurrencies. In Proceedings of the 26th Symposium on Operating Systems Principles, Gino-wan, Japan, 25–28 March 2017. [Google Scholar]
- Li, W.Y.; Feng, C.L.; Zhang, L. A scalable multi-layer PBFT consensus for blockchain. IEEE Trans. Parallel Distrib. Syst. 2020, 32, 1146–1160. [Google Scholar] [CrossRef]
- Singh, A.K. A multi-layered network model for blockchain based security surveillance system. In Proceedings of the 2020 IEEE International Conference for Innovation in Technology, Bangluru, India, 6–8 November 2020. [Google Scholar]
- Fortino, G.; Messina, F.; Rosaci, D. Using blockchain in a reputation-based model for grouping agents in the internet of things. IEEE Trans. Eng. Manag. 2020, 67, 1231–1243. [Google Scholar] [CrossRef]
- Hou, Y.C.; Liu, W.X.; Lin, H. Multi-layer access control mechanism based on blockchain for mobile edge computing. In Proceedings of the 2020 IEEE International Conference on Parallel & Distributed Processing with Applications, Big Data & Cloud Computing, Sustainable Computing & Communications, Social Computing & Networking, Exeter, UK, 17–19 December 2020. [Google Scholar]
- Xu, G.X.; Wang, Y.S. Improved PBFT Algorithm Based on Vague Sets. Secur. Commun. Netw. 2022, 6, 144664. [Google Scholar] [CrossRef]
- Zhai, B.Q.; Wang, J.; Han, L. Hierarchical proxy consensus optimization for IoV based on blockchain and trust value. Chin. J. Netw. Inf. Secur. 2022, 212, 109048. [Google Scholar]
- Liu, W.; Zhang, X.H.; Feng, W.L. Optimization of PBFT algorithm based on QoS-aware trust service evaluation. Sensors 2022, 22, 4590. [Google Scholar] [CrossRef] [PubMed]
- Wikipedia. Binomial Distribution. Available online: https://en.wikipedia.org/wiki/Binomial_distribution (accessed on 15 April 2023).
- Huang, X.; Yu, R.; Kang, J.; Xia, Z. Software defined networking for energy harvesting internet of things. IEEE Internet Things J. 2018, 5, 1389–1399. [Google Scholar] [CrossRef]
- Kang, J.W. Towards Secure Blockchain-enabled Internet of Vehicles: Optimizing Consensus Management Using Reputation and Contract Theory. IEEE Trans. Veh. Technol. 2019, 68, 2906–2920. [Google Scholar] [CrossRef]









| Notation | Definition |
|---|---|
| A local opinion vector from a vehicle to | |
| Vi’s expected beliefs about RSU | |
| The number of positive/negative interactions | |
| The weight of positive/negative interactions | |
| Reputation value of node i | |
| n | Number of regions |
| u | Average number of nodes in each committee |
| m | Average number of nodes in each region |
| The given decay parameter for event freshness | |
| The initial reputation value of the node predefined in the system |
| Parameter | Setting |
|---|---|
| Frequency of interaction between vehicle and RSU | [50,200] times/week |
| Coverage range of RSUs | [300,500] m |
| Speed of vehicles | [50,150] km/h |
| Weighting parameters | , , , |
| Rate of compromised vehicles | [10%, 90%] |
| Successful transmission probability of data packets | [0.5,1] |
| Vehicle to RSU bandwidth | 20 MHz |
Disclaimer/Publisher’s Note: The statements, opinions and data contained in all publications are solely those of the individual author(s) and contributor(s) and not of MDPI and/or the editor(s). MDPI and/or the editor(s) disclaim responsibility for any injury to people or property resulting from any ideas, methods, instructions or products referred to in the content. |
© 2023 by the authors. Licensee MDPI, Basel, Switzerland. This article is an open access article distributed under the terms and conditions of the Creative Commons Attribution (CC BY) license (https://creativecommons.org/licenses/by/4.0/).
Share and Cite
Du, Z.; Zhang, J.; Fu, Y.; Huang, M.; Liu, L.; Li, Y. A Scalable and Trust-Value-Based Consensus Algorithm for Internet of Vehicles. Appl. Sci. 2023, 13, 10663. https://doi.org/10.3390/app131910663
Du Z, Zhang J, Fu Y, Huang M, Liu L, Li Y. A Scalable and Trust-Value-Based Consensus Algorithm for Internet of Vehicles. Applied Sciences. 2023; 13(19):10663. https://doi.org/10.3390/app131910663
Chicago/Turabian StyleDu, Zhiqiang, Jiaheng Zhang, Yanfang Fu, Muhong Huang, Liangxin Liu, and Yunliang Li. 2023. "A Scalable and Trust-Value-Based Consensus Algorithm for Internet of Vehicles" Applied Sciences 13, no. 19: 10663. https://doi.org/10.3390/app131910663
APA StyleDu, Z., Zhang, J., Fu, Y., Huang, M., Liu, L., & Li, Y. (2023). A Scalable and Trust-Value-Based Consensus Algorithm for Internet of Vehicles. Applied Sciences, 13(19), 10663. https://doi.org/10.3390/app131910663

