Abstract
The present study assessed the accumulation and distribution of metals in tomato (Lycopersicon esculentum L.) fruits grown with wastewater. The concentrations of nine metals (Co, Cd, Mn, Cu, Ni, Fe, Zn, and Pb) were analyzed in wastewater collected from the study site. Four metals with substantially higher concentrations in wastewater, namely Fe, Zn, Mn, and Pb, were selected for further analysis in soil, plant organs, and parts of tomato fruits. In addition, the concentrations of essential nutrients (Na, K, Ca, P, and N) in all samples were also analyzed. Concentrations of Zn (0.77 mg L−1) and Pb (0.44 mg L−1) were found to be the maximum, and Mn concentration was the minimum (0.16 mg L−1) in wastewater samples. However, in soil samples, the concentrations of Fe (35.88 mg kg−1) and Pb (29.62 mg kg−1) were the highest, which ultimately led to their higher accumulation in plant tissues. When metal accumulation in the whole plant and tomato fruit was compared with the WHO permissible limits, the accumulated concentrations of Zn (16.35, 12.98, and 23.85 mg kg−1 d.wt. in peri-, endo-, and mesocarp, respectively), Mn (7.08, 7.75, and 4.6 mg kg−1 d.wt. in peri-, endo-, and mesocarp, respectively), and Pb (30.05, 29.42, and 34.95 mg kg−1 d.wt. in peri-, endo-, and mesocarp, respectively) exceeded the safe limits except for Fe (13.6, 32.3, and 63.43 mg kg−1 d.wt. in peri-, endo-, and mesocarp, respectively). Thus, the irrigation of tomato fruits with wastewater can cause health risks to humans under prolonged consumption, and the regular monitoring of metals is necessary to reduce the health risks from human consumption.
1. Introduction
Due to growing urbanization and population, the demand for food crops is increasing rapidly, and it is in fact exerting pressure, particularly on peri-urban agriculture. Increasing anthropogenic activities contribute to metal pollution in marginal places of agricultural land, resulting in a severe environmental cue [1]. Sources of metal pollution include natural (volcanic eruptions), agricultural (fertilizers, pesticides, wastewater), and anthropogenic (industrial and household effluents, traffic emission, mining, and smelting) activities that release high amounts of metals in soil, water, and the biosphere [2]. Thus, the presence of metal pollutants in marginal places of agricultural land is the most alarming matter as vegetables being contaminated with harmful metals cause easy entry into the food chain. Although certain metals such as Cu, Zn, Mn, Co, Cr, etc., are essential micronutrients for microbes, plants, and animals, they are of considerable concern due to their toxicity at higher concentrations [3].
Wastewater irrigation to agricultural land is also a contributing factor in the increase in metal elements in the soil. In Pakistan, polluted water (industrial effluents or untreated sewage water) is directly discharged into croplands being used for growing vegetables and other crops [4]. Faisalabad is one of the industrial cities where there is no proper treatment facility for wastewater disposal [5]. Due to the shortage of canal water for irrigation, untreated wastewater taken out from the nearby wastewater stabilization ponds is used to irrigate the agricultural land of Chakera village. This is a direct example of untreated wastewater irrigation in Chakera lands [6].
Large quantities of industrial effluents and sewage sludge are potential sources of metal contamination in water and soil environments due to their direct discharge into surface water bodies [7]. As a result, vegetables grown with wastewater irrigation accumulate metals from the polluted soil and water, thus exceeding safe limits [8,9]. The use of effluents/wastewater over a long period of time to grow vegetables results in the uptake of toxic metals by crops with a possibility of their excess in the food chain. One of the effects of these toxic metals in soil is the eventual inhibition of many physiologic and metabolic pathways in plants [10]. These metals reduce the uptake of water and nutrients in plants by damaging the root system [11]. Chlorosis and enzymatic disturbances are also mainly caused by increasing concentrations of metals [12,13].
The persistence of metals in soils and their assimilation depends on their form and uptake by plants [14]. For instance, some metal ions like Pb are absorbed by soil but are rarely translocated to plants, while Cd is less mobile in soil but can be easily absorbed by plants [11]. Moreover, metal uptake by plants largely depends on soil type, plant species, and growth stage, and they passively transport from roots to shoots via xylem vessels [15]. Some metals are poorly mobile in the phloem, and they do not accumulate in storage organs, i.e., fruits and seeds, due to low transpiration rates. According to Zheljazkov and Nielsen [16], the accumulated concentration of metals in vegetables per unit of dry matter is in the following order: leaves > fresh fruits > seeds. Metals are readily taken up from the soil and accumulate in edible parts of vegetables and fruits. Therefore, the metal-induced contamination of the human food chain occurs via the direct consumption of those edible parts by humans [17,18]. The ingestion of vegetables contaminated with metals through foodstuffs over a long period results in higher metal concentrations in humans that may cause several disorders such as kidney, liver, and cardiovascular problems [19].
Certain heavy metals pose health risks in humans when they enter the human body. Most of these metals affect multi-organ systems, where they prove to be very toxic. For example, lead (Pb) toxicity is commonly known to have adverse effects on the brain development of children, causing learning disabilities, decreased intelligence, and behavioral problems. In adults, high blood pressure, kidney damage, and reproductive issues occur from lead exposure [19]. Similarly, cadmium metal accumulates in the kidneys and causes kidney damage, leading to kidney disease over time. Certain health issues like lung and kidney problems have been reported upon exposure to high Cd levels [20]. The health effects of copper include nausea, vomiting, abdominal pain, and liver damage. High aluminum levels can lead to bone and brain toxicity, especially in individuals with impaired kidney function. Long-term exposure to high levels of nickel has been associated with lung and nasal cancers. However, the extent of damage to human health depends on exposure dose and time and the type of metals prevailing in the surrounding environment [11].
In view of all the abovementioned reports, the present study was undertaken to quantify the metal contents in tomato plants and particularly in fruit that can impose serious health risks for humans over prolonged consumption.
2. Materials and Methods
2.1. Study Site
A field study on tomato plants was carried out in the peri-urban area of Faisalabad, Pakistan. Chakera village was selected as the study site since canal water is scarce, and wastewater is mostly used for irrigation. The village is located on the northwestern side of Faisalabad (31°27′38.99″ N, 73°00′10.39″ E) at an elevation of 588 feet above sea level. The land is mainly used to grow seasonal vegetables. Crops grown there are irrigated with wastewater discharged from a polluted drain originating from the nearby wastewater stabilization ponds (Figure S1) that carry the wastewater from Faisalabad city and surrounding industrial units.
2.2. Sampling
Soil, water, and plant (tomato) samples were randomly collected from five different sites within a field (replicates). Wastewater samples (five) were taken from an irrigation canal at a depth of 15 cm using a measuring cylinder and were stored in plastic bottles. Soil samples (five) at 0–20 cm depth were collected using a stainless steel auger. The water and soil sampling was carried out at 15-day intervals from the same sampling points during the entire crop growth period, and averages were used to generate replicated data. Five mature tomato plants with ripened fruits were randomly picked. All soil and plant samples were stored in paper bags and oven-dried at 70 °C. A similar sampling procedure was performed for all control samples from the site where canal water was used for irrigation. The sampling was carried out following a completely randomized design (CRD), with five replications.
2.3. Water Analysis
Water samples were filtered using filter paper (Whatman No. 41) for measuring EC, pH metals, and nutrients. One drop of concentrated HCl was added to each wastewater sample and kept in the dark in a refrigerator until metal analysis [21]. The concentrations of nine metals (Co, Cd, Mn, Cu, Ni, Fe, Zn, Pb, and Cr) in wastewater samples were determined using an atomic absorption spectrophotometer (AAnalyst 300, PerkinElmer, Germany). Four metals with the highest concentrations (Fe, Mn, Zn, and Pb) were selected for detailed analysis in soil, plant organs (root, stem, and leaves), and tomato fruit (peri-, meso-, and endocarp). The atomic absorption spectrophotometer (AAS) was calibrated with appropriate standards and run with the following specifications: oxidant flow rate, 4 L min−1; fuel (C2H2) flow rate, 3 L min−1, read replicates, 5; read time for each replicate, 60 s; detection sensitivity, 5.0 μg L−1; and standard read accuracy, ±0.05 mg L−1. The concentrations of Na, K, and Ca in water samples were determined with a flame photometer (Jenway, PFP-7, Cadmus, Essex, UK), whereas the concentration of P and N were determined following Jackson [22] and Bremner [23], respectively.
2.4. Soil Analysis
Oven-dried soil samples were passed through a 2 mm sieve to remove debris and coarse particles. For ECe analysis, 50 g of soil was dissolved in 50 mL of distilled water. The solution was shaken thoroughly and left for 30 min. ECe was measured using an EC meter (WTW series InoLab pH/Cond 720) [24]. For soil pH, 10 g of soil was dissolved in 100 mL of distilled water. The solution was shaken for 10 min, and pH was measured with a pH meter (WTW series InoLab pH/Cond 720). For metal and nutrient analyses, the acid digestion method by Wolf [25] was followed. The concentrations of Fe, Zn, Mn, and Pb in acid-digested soil samples (0.1 g) were determined using an atomic absorption spectrophotometer (AAnalyst 300, PerkinElmer, Germany), with specifications as outlined in Section 2.3. The concentrations of Na, K, Ca, P, and N were also estimated in the acid-digested soil samples following appropriate methods and apparatuses similar to those of water and plant nutrient analyses.
2.5. Plant Analysis
The tomato plant was cut into edible (fruit) and nonedible (root, stem, and leaves) parts. Fruit samples were further grouped into pericarp, mesocarp, and endocarp samples. All samples were oven-dried prior to analysis. The oven-dried samples were ground, and 0.1g of this material was digested using the wet digestion method developed by Wolf [25]. The concentrations of four metals, i.e., Fe, Zn, Mn, and Pb, in acid-digested plants and fruit were determined using an atomic absorption spectrophotometer (AAnalyst 300, Perkin-Elmer, Germany), with specifications as outlined in Section 2.3. The concentrations of Na, K, and Ca in plant and fruit samples were determined with a flame photometer (Jenway, PFP-7, UK), whereas the concentration of P was determined following Jackson [22]. Then, 4 ml of Barton reagent was added to 1 mL of the acid-digested extract, and the total volume was brought up to 50 mL using distilled water. The samples were kept for half an hour, and optical density was measured at 460 nm using a spectrophotometer (Hitachi-220 model). The actual amount of P was calculated using a standard curve developed using the known concentrations of K2HPO4. The amount of N was estimated using the Kjeldahl method [23], with the help of a micro-Kjeldahl ammonia distillation unit (Behr Labor-Technik GmbH, Behrotest® InKjel, Germany).
2.6. Statistical Analysis
Analysis of variance (ANOVA) of the collected data was computed using the COSTAT computer package (CoHort Software v 6.303, 2004, Monterey, CA, USA). The data thus obtained were also subjected to an LSD (least significant difference) test at a 5% probability level to determine the differences among treatment means [26]. Heatmap clustering, Pearson’s correlation coefficient, and principal component analysis (PCA) were carried out with R Studio (Version 1.1.463, RStudio, Inc., Boston, MA, USA) to determine the distribution pattern of various minerals and metals within different plant organs and fruit parts.
3. Results
3.1. Mineral and Metal Contents in Soil and Water
Table 1 shows the summary of EC, pH, and other metals observed in wastewater. The concentrations of all observed metals in the wastewater were generally higher than those of the water samples collected from the uncontaminated control site. The concentrations of the four predominated metals were in the decreasing order of Zn > Pb > Fe > Mn, with 131, 68, 95, and 69% increases over those of the control site, respectively (Figure 1a). In comparison, the soil being irrigated with wastewater had the highest amount of Fe, followed by Pb, Zn, and Mn (Figure 1b). Similarly, it was also observed that all the nutrients were higher in the wastewater and wastewater-irrigated soil. Of all the nutrients, Na was found to be in the highest amount, followed by Ca, K, P, and N with 54, 22, 56, 210, and 45% increases compared with the nutrient contents found in canal water (Figure 1c). Likewise, Na reached its maximum value in soil irrigated with wastewater, followed by K. However, Ca was found to be the least among all the nutrients analyzed, whereas P and N were found in almost equal concentrations in wastewater-irrigated soil, with a 39 and 53% increase compared with those in soil irrigated with canal water (Figure 1d).
Table 1.
Heavy metals in wastewater and soil and their comparison with standards set by various organizations/researchers.
Figure 1.
Concentrations of different metals and mineral nutrients in wastewater (a,c) and soil being irrigated with wastewater (b,d); *, **, *** = significant at 0.05, 0.01, and 0.001 levels, respectively; ns = nonsignificant.
3.2. Mineral and Metal Contents in Plant Organs and Fruit Parts
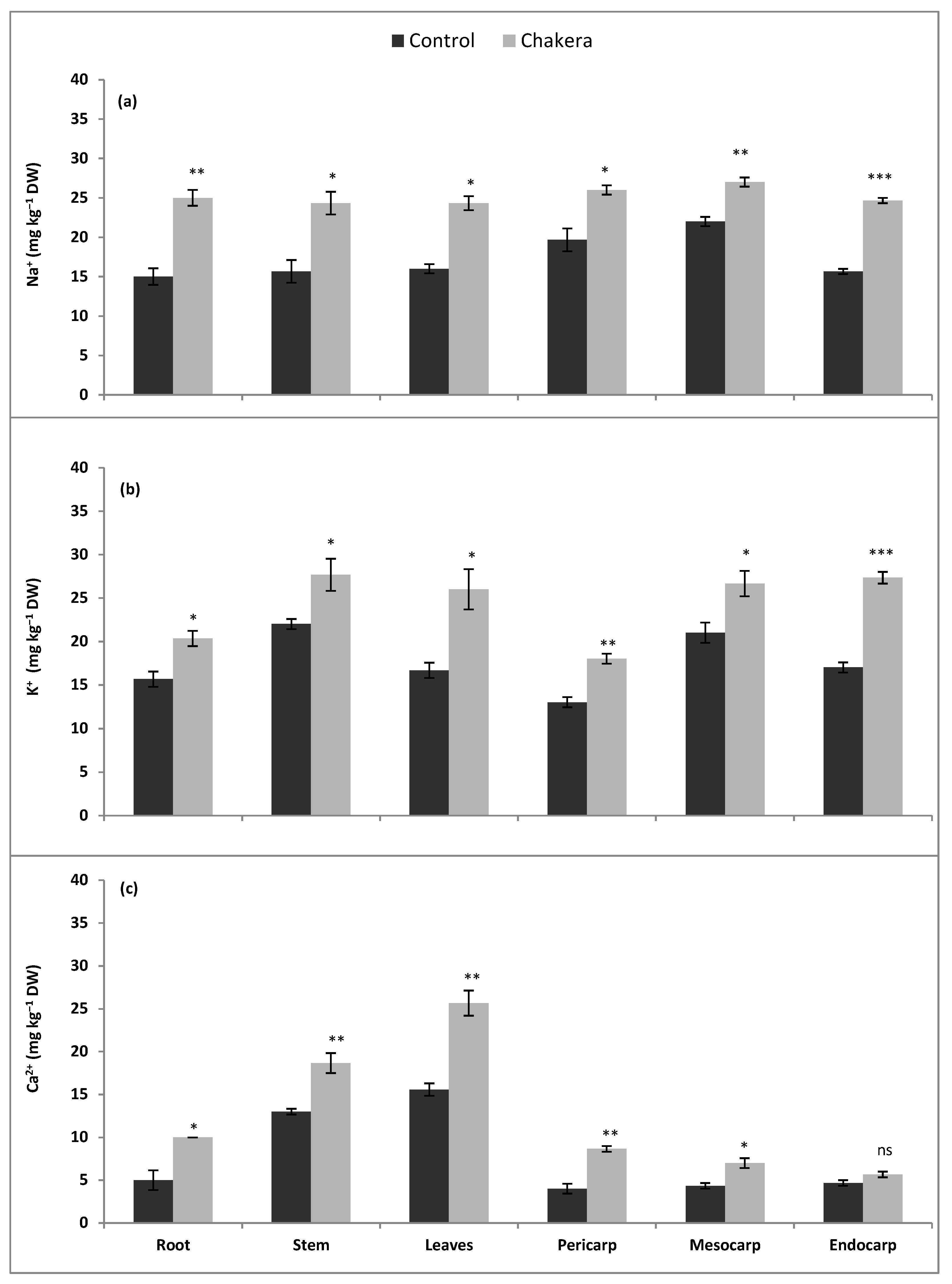
Plants receiving wastewater irrigation accumulated high mineral contents in their parts as compared to the plants irrigated with canal water. Of the edible parts of wastewater-irrigated plants, the mesocarp accumulated a high amount of Na, with a 19% increase over control, while among the nonedible parts, the root accumulated a maximum amount of Na, with a 42% increase over control. In contrast, no significant differences were found in stem and leaf Na contents, where a 34% increase in Na over control was recorded. The order of decreasing Na concentration in wastewater-grown plant organs was: mesocarp > root > pericarp > endocarp > stem > leaves (Figure 2a).
Figure 2.
Concentrations of Na (a), K (b), and Ca (c) in different organs of tomato plants and fruits grown with wastewater; *, **, *** = significant at 0.05, 0.01, and 0.001 levels, respectively; ns = nonsignificant.
The comparison of K accumulation in different plant organs showed that the stem (nonedible part) had a high accumulation of K, followed by the endocarp (edible part), and they showed an increase of 20% and 38% compared with that in the organs of plants irrigated with canal water. Leaves and the mesocarp accumulated an equal amount of K. The decreasing order of K concentration in edible and nonedible parts of plants grown with wastewater was stem > endocarp > mesocarp > leaves > root > pericarp (Figure 2b).
Wastewater-irrigated plants accumulated a higher amount of Ca than plants irrigated with canal water. By comparing its accumulation in different plant organs, it was found that leaves accumulated higher Ca content, followed by stems, with 39% and 31% increases compared with plants grown with canal water irrigation. The minimum accumulation of Ca was found in the endocarp, which differed nonsignificantly from the control. The decreasing order of Ca concentration in wastewater-irrigated plants was leaves > stem > root > pericarp > mesocarp > endocarp (Figure 2c).
The plants irrigated with wastewater had higher N content than canal-water-irrigated plants, in all their parts. The maximum N content was found in leaves, followed by the endocarp, while no significant difference was found in leaf N content compared with control plants. On the other hand, N was found in almost equal amounts in the stem and mesocarp. N concentration in different organs of wastewater-grown plants was in the following decreasing order: leaves > endocarp > root > mesocarp > pericarp > stem (Figure 3a).
Figure 3.
Concentrations of N (a) and P (b) in different organs of tomato plants and fruits grown with wastewater; *, **, *** = significant at 0.05, 0.01, and 0.001 levels, respectively; ns = nonsignificant.
The phosphorus (P) accumulated in edible parts in higher quantities than that in nonedible parts. Phosphorus accumulation was higher in the endocarp, followed by the mesocarp, with 21% and 58% increases over that in control plants. However, P accumulation was found to be the minimum in the pericarp, which differed nonsignificantly from P in the stem. Among the nonedible parts, leaves showed a higher accumulation of P, with a 48% increase over control plants. The decreasing concentration of P in all plant organs was found to be in the following order: endocarp > mesocarp > leaves > stem > root > pericarp (Figure 3b).
The order of metal concentration in both soil and plant was Fe > Pb > Zn > Mn. When considering the accumulation of metals in various plant parts, there was a substantial accumulation of Mn in roots among all the studied edible and nonedible parts, where it increased by 57% over the control (canal water irrigated). The minimum value of Mn content with a nonsignificant difference compared with the control was found in the endocarp (fruit organ). However, Mn content in the leaves was also found to be markedly higher than that in the edible parts of plants (mesocarp and endocarp). Mn concentration in all plant organs was found to be in the following decreasing order: root > leaves > stem > mesocarp > pericarp > endocarp (Figure 4a).
Figure 4.
Concentrations of Mn (a) and Fe (b) in different organs of tomato plants and fruits grown with wastewater; *, **, *** = significant at 0.05, 0.01, and 0.001 levels, respectively; ns = nonsignificant.
The plants grown on soil irrigated with metal-polluted water accumulated higher Fe content in the pericarp than in any other studied organ. The accumulation of Fe in the pericarp was found to be 76-fold more than that in control plants. On the other hand, its accumulation in the endocarp was found to be the minimum, which differed nonsignificant from control plants. In contrast to Mn accumulation in nonedible parts, Fe was found more in the leaves with a 17% increase over plants grown with canal water. Fe concentration in all plant organs was found to be in the following order: pericarp > leaves > root > stem > mesocarp > endocarp (Figure 4b).
Similar to the Fe accumulation in nonedible plant parts, Zn accumulation was higher in the leaves, followed by the root and stem, with 26%, 38%, and 33% increases compared with the nonedible parts of control plants. Considering the edible plant parts, the accumulation of Zn in the mesocarp was considerably high, with a 56% increase over that in the mesocarp of the control plant. A similar trend for Zn accumulation was noted in the endocarp as for Mn and Fe contents. Zn concentration in plants supplied with wastewater was found to be in the following decreasing order: Leaves > mesocarp > root > endocarp > stem > pericarp (Figure 5a).
Figure 5.
Concentrations of Zn (a) and Pb (b) in different organs of tomato plants and fruits grown with wastewater; *, **, *** = significant at 0.05, 0.01, and 0.001 levels, respectively; ns = nonsignificant.
Lead (Pb) accumulation in edible and nonedible parts also showed highly significant differences. Similar to the results for Mn accumulation, the accumulation of Pb was the highest in roots, where the Pb content increased by 30% compared with that in plants irrigated with canal water. In contrast to the other metals (Mn, Fe, and Zn) in the edible parts of the wastewater-irrigated plants, Pb was the maximum in the endocarp, with a 49% increase over the control. The order of decreasing Pb concentration in all studied plant organs was found to be root > leaves > endocarp > stem > pericarp > mesocarp (Figure 5b).
3.3. Heatmap Clustering
At the control site irrigated with canal water, heatmap clustering for metal and mineral composition of water indicated strong, positive interactions with plant attributes for Na and Ca contents. Strong negative interactions were observed for water Pb, Zn, and Mn concentrations. The interactions for freshwater Pb, N, and K contents were the weakest. Soil Pb, Mn, and Zn showed medium positive interactions, while soil K had a strong negative influence. Mostly weak interactions were observed between metals and mineral accumulation in plant organs and fruit parts as evidenced by an abundance of light-yellow–light-blue shades in heatmaps. Leaves showed a positive interaction with Fe, while the endocarp of fruit showed some tendency of metal accumulation. The pericarp and endocarp did not show any significant tendency to accumulate metals under control conditions (Figure 6).
Figure 6.
Heatmap clustering constructed for concentrations of different minerals elements and metals against soil, water, plant organs, and fruit parts of tomato plants grown at (a) control and (b) contaminated sites. The increasing color intensity towards red indicates a strong, positive influence while the increase towards blue indicates a strong negative influence of minerals ions and metals on plant organs and fruit parts.
For wastewater used for irrigation in contaminated soils of Chakera, mineral nutrients (K, P, and N) and metals (Fe, Pb, Zn, and Mn) in soil and water showed a negative influence, while Pb had the most negative effect. A strong, positive interaction of all metals and minerals in plant organs and fruit parts was observed. The red color (indicating positive interaction) was lighter in roots but became darker in stems and was the darkest in leaves. Within fruit parts, the endocarp and mesocarp accumulated the most metals that were directly linked to metal concentration in stems and leaves. The pericarp generally exhibited light-yellow to light-red color except for Fe content, indicating the least tendency of metal accumulation within the pericarp. The toxicity of most metals (Fe, Pb, and Zn) in fruit parts was directly associated with their concentration in different plant organs, which was in turn proportionally influenced by metal and mineral concentrations in soil and water (Figure 6).
3.4. Pearson’s Correlation Coefficients
At the control site, most of the metals were not correlated with nonmetal mineral elements, indicating a nonsignificant connection between their uptake and accumulation. Weak, positive correlations were observed between metals like Zn:Fe, Mn:Zn, Pb:Mn, and Na:Ca. Weak, negative correlations were observed between N:K, Na:Pb, Mn, Zn, and Fe (Figure 7a). At the contaminated Chakera site, lead (Pb) in particular did not show any correlation with Na and Ca, but it was strongly positively correlated with other metals like Zn and Fe but weakly with Mn. Similarly, P was not correlated with Ca but was strongly positively correlated with N, Zn, and Pb. The accumulation of other mineral nutrients and metals exhibited a strong, positive correlation except for Mn:Na and Mn:Ca, possibly because of competing behavior (Figure 7b).
Figure 7.
Pearson’s correlation coefficient for concentrations of different minerals elements and metals in plant organs and fruit parts of tomato plants grown at control site (a) and contaminated Chakera site (b).
3.5. Principal Component Analysis (PCA)
The strength of the contribution (Contrib) of all principal components (metals and nonmetal mineral elements) was quite high (ranked to the maximum, i.e., 14 on the strength scale). PC1 contributed 61.8% and PC2 16.9%, while the remaining 21.3% was attributed to the other seven principal components. The PCA analysis showed a significant influence of sites on the distribution of metals and minerals, as two distinct groups were observed. The only two components attributed to the control site were Na and Mg. All other minerals (Ca, P, N, and K) and metals (Fe, Zn, and Pb) were attributed to the contaminated site in Chakera, indicating a significant association between metal availability at these sites and distribution in the plant body (Figure 8).
Figure 8.
Principal component analysis (PCA) for concentrations of different minerals elements and metals in plant organs and fruit parts of tomato plants grown at the control and contaminated Chakera sites.
4. Discussion
4.1. Soil and Water Analyses
The electrical conductivity (ECe) of the wastewater used for irrigation at the Chakera site was above the critical limits (0.70 dS m−1) as documented by the FAO [27]. High ECe value could be due to the fact that soluble salts are added to water as a result of laundry activities, textile milling, and residential and factory wastes [34]. However, pH ranged between the permissible limits for irrigation purposes as documented by the FAO [27] and WWF [28] for Pakistan. Similarly, the mean ECe value of the soil of the study site was above the critical limits as documented by Ayers and Westcot [27] (Table 1). The increase in ECe of agricultural soil could be attributed to the addition of dissolved salts through effluents. However, the pH of the sampled soil fell within the limits (6.5–8.4) [28]. These findings show that the ECe and pH of the soil are not significantly problematic even after long-time irrigation with raw effluents, most likely because of the regular addition of organic matter and the calcareous nature of the soil in most parts of Pakistan [35].
4.2. Metal Uptake and Distribution within Plant Organs
The continuous supply of wastewater has caused considerable changes in physicochemical properties in soils at Chakera and has ultimately led to enhanced uptake of metal ions by vegetables [36]. It is now well evident that most plants, particularly vegetables, require metals in trace amounts for their nutritional values [37]. As roots are in direct contact with soil to absorb water, dissolved nutrients and trace elements are taken up and finally accumulate in vegetables [38]. Some metal elements like Fe and Mn are less mobile and tend to remain in roots [39]. Furthermore, metals are mostly sequestered in the roots of most horticultural crops [40]. Variations exist in metal contents in plant organs concerning metal distribution, and the metal content in different plant parts is indicative of their presence in waste-polluted soils [41]. However, differential levels of the accumulation of metals have already been reported in a number of vegetables grown on metal-contaminated soils [8]. The tendency of metal accumulation in edible parts of vegetables shows their direct incorporation into the food chain, which poses health risks [42]. In our study, the concentrations of metals were several times higher in tomato plants sampled from the study site, which was supplied with wastewater, than those in the plants grown in a metal-free environment. These results are in line with previous studies reporting similar findings in wastewater-grown vegetables [41].
In the present study, wastewater irrigation resulted in increased Fe and Pb accumulation in different plant organs of tomato plants as well as tomato fruit. High Pb concentration in tomato plants may be related to the high accumulation of this metal in soil due to industrial activities and vehicular emissions, as well as its possible aerial deposition and absorption. Higher Fe content in tomato plants compared with other micronutrients (Zn and Mn) could be because it accumulates more in plants than any other metal ion [43]. These findings are similar to those of Kansal and Singh [44] and Schirado and Pratt [45], who studied the effect of wastewater irrigation on cauliflower, spinach, maize, and berseem. These researchers found a substantial accumulation of Fe and Pb in different plant tissues of the abovementioned crops. A comparison of the levels of metals found in tomato plants with permissible limits reported by the WHO [46,47] and Asaolu [48] in plants and edible portions of vegetables (Table 2) showed that, unlike Fe, the levels of Zn, Mn, and Pb were well above the permissible limits. However, a comparison of metals in different plant parts with metal limits revealed that concentrations of Mn and Zn in the roots and leaves were much higher than those in the tomato fruit. Fe and Mn are immobile in plants. As seen in our results, these metals were mostly sequestered in roots and, due to little mobility, caused nonsignificant differences in Endocarp. In contrast to the other metals, a higher Pb concentration was observed in the leaves and fruit of tomato. The results of the present study are analogous to those Khan et al. [2], who reported a similar pattern of metal accumulation in tomato plants. These results are also in agreement with some previous studies that reported elevated concentrations of different metals in edible parts of most food crops subjected to continuous irrigation with wastewater [20]. The results of the present study also support the findings of other researchers [49,50] indicating that the accumulation of such metals above permissible limits poses a major health concern in humans.
Table 2.
Mean levels of concentrations of heavy metals (mg kg−1 DW) in different organs of tomato (Lycopersicon esculentum L.).
4.3. Health Risk Assessment of Metals Accumulated in Plant Organs
Metals with higher concentrations in wastewater, namely Fe, Zn, Mn, and Pb, were compared with permissible limits of metals set by different authorities. According to the Health Guidelines for the Use of Wastewater in Agriculture and Aquaculture [47], the concentrations of Fe, Zn, Mn, and Pb in the wastewater used at Chakera were found below the permissible limits. However, Zn and Pb concentrations when compared with the recommendations of the WWF [28] and USEPA [29] were found to be above the critical limit (Table 1). The increase in wastewater metal elements might have resulted from the discharge or metal-containing effluents from battery (Mn, Cd, Pb, and As), fabric (Zn, Cr, Cu, Ni, and Cd), and paint (Pb, Cu, Zn, and Cd) industries [51]. A continuous application of wastewater to the soil resulted in a high accumulation of metals in the soil. As compared to metal concentrations in wastewater, Fe was found to be the maximum, and Mn concentration was the minimum in the soil. When their concentration was compared with the safe limits of metals in soil, the concentrations of Zn and Pb were below the permissible limits [31]. However, their continuous addition to the soil through polluted effluents could result in the accumulation of trace elements in higher amounts, which may become phytotoxic [52]. The present results showed that soil macronutrients (N, P, and K) increased as a result of wastewater irrigation. A number of other studies also reported the accumulation of N, P, and K in polluted soil, which was attributed to the original content of these nutrients in wastewater used for irrigation [53]. It is documented that the amount of N, P, and K in wastewater in the soil can range up to 4, 10, and 8 times the fertilizers needed by forage crops [54]. The high accumulation of these macronutrients in wastewater and soil ultimately leads to an increase in plant mineral contents. The present findings agree with those already reported by different researchers [55], who found high P content in wastewater-irrigated plants.
4.4. Relationship between Soil and Water Metal Concentrations and Tomato Fruit Parts Based on Multivariate Analysis
Heatmap clustering for the control site irrigated with canal water mostly showed weak, negative interactions within roots and stems, indicating that plants mostly translocated essential minerals and metals towards leaves or developing fruits to meet the needs in physiological processes. In leaves, a weak, positive interaction was observed, as they are the final site of mineral metabolism [56]. Within fruit parts, the endocarp showed a weak, positive interaction with most minerals and metals, while the mesocarp and endocarp exhibited a weak, negative association. When compared with the original results of this study, these findings suggested that, in control conditions, fruits retained sufficient quantities of essential minerals and metal ions within permissible ranges [57]. In the wastewater of the contaminated site in Chakera, mineral nutrients (K, P, and N) and metals (Fe, Pb, Zn, and Mn) mostly showed strong, negative associations, and Pb had the most negative association. In soil, all mineral elements and metals in soil showed a weak, negative association except for Mn. These findings indicate higher availability of these minerals for absorption and translocation in plants [58]. Within plant parts, a strong, positive interaction of all metals and minerals in plant organs and fruit parts was observed, indicating high health risks when consumed. The red color (indicating a positive interaction) was darker in roots but became lighter in stems, and it was the darkest in leaves. These results suggest that tomato plants grown with wastewater sequester metals in roots and avoid possible translocation to stems but still accumulate substantial quantities of metal ions within leaves [59]. Within fruit parts, the pericarp, endocarp, and mesocarp accumulated the most metals, which is directly linked to metal translocation through stem and accumulation within leaves. These results confirm that most metals accumulate within fruit parts in significantly higher quantities, and fruits exhibit a strong potential for metal toxicity when consumed by humans [60].
5. Conclusions
High concentrations of metals in wastewater and soil at Chakera led to their high accumulation in the tomato plant. However, the levels of these metals varied among various plant parts, which reflects differences in their uptake and translocation within the plant body. Generally, irrigation water is considered the primary determining factor for evaluating the metal concentration in vegetables. The irrigation with wastewater led to the accumulation of metals in the soil and ultimately in the tomato plant. Zinc (0.77 mg L−1) and Pb (0.44 mg L−1) were found to be considerably high in wastewater, but the pattern of metal accumulation showed that high concentrations of Zn (28.84 mg kg−1) and Pb (29.62 mg kg−1) in the soil resulted in the high accumulation of these metal ions in all the plant parts analyzed. Furthermore, considering the recommended safe limits for metal concentrations in plants set by the WHO, the concentrations of Zn, Mn, and Pb in the whole plant and tomato fruit (12.98, 7.75, and 29.42 mg kg −1 d.wt. in mesocarp) sampled from the contaminated site were beyond the safe limits (5 mg kg−1 d.wt. for all three metals), thus posing a major health threat in the regular consumption of tomato fruit by the inhabitants of the area.
Supplementary Materials
The following supporting information can be downloaded at: https://www.mdpi.com/2076-3417/13/17/9711/s1, Figure S1: An overview of the Chakera wastewater treatment plant showing the wastewater being taken from the drainage canal to irrigate nearby agricultural lands. Images are taken from Google earth.
Author Contributions
Conceptualization, Q.T., P.K., A.K.A., M.S.A.A. and M.A.E.-S.; supervision, M.S.A.A.; writing—original draft preparation; A.K.A.; methodology, M.A.; funding acquisition, M.A.E.-S.; writing—review and editing, P.K. All authors have read and agreed to the published version of the manuscript.
Funding
This research received no external funding.
Institutional Review Board Statement
Not applicable.
Informed Consent Statement
Not applicable.
Data Availability Statement
The raw data are available when requested from the corresponding author.
Acknowledgments
The authors would like to extend their sincere appreciation to the Researchers Supporting Project Number (RSP2023R182) King Saud University, Riyadh, Saudi Arabia.
Conflicts of Interest
The authors declare that they have no conflict of interest to report regarding the present study.
References
- Masindi, V.; Muedi, K.L. Environmental Contamination by Heavy Metals; IntechOpen: London, UK, 2018; Volume 10, pp. 115–132. [Google Scholar]
- Khan, M.J.; Jan, M.T.; Farhatullah; Khan, N.U.; Arif, M.; Perveen, S.; Alam, S.; Jan, A.U. The effect of using waste water for tomato. Pak. J. Bot. 2011, 43, 1033–1044. [Google Scholar]
- Tasrina, R.; Rowshon, A.; Mustafizur, A.; Rafiqul, I.; Ali, M. Heavy metals contamination in vegetables and its growing soil. J. Environ. Anal. Chem. 2015, 2, 2. [Google Scholar]
- Javed, T.; Ahmad, N.; Mashiatullah, A. Heavy Metals Contamination and Ecological Risk Assessment in Surface Sediments of Namal Lake, Pakistan. Pol. J. Environ. Stud. 2018, 27, 675–688. [Google Scholar] [CrossRef]
- van der Hoek, W.; Hassan, M.; Ensink, J.; Feenstra, S.; Raschid-Sally, L.; Munir, S.; Aslam, R.; Ali, N.; Hussain, R.; Matsuno, Y. Urban Wastewater: A Valuable Resource for Agriculture A Case Study from Haroonabad, Pakistan; IWMI Research Report no. 63; International Water Management Institute: Colombo, Sri Lanka, 2002; p. 14. [Google Scholar]
- Pirasteh-Anosheh, H.; Hedayati-Firoozabadi, A. Sorghum [Soghum bicolor (L.) Moench.] growth, and soil moisture and salt content as affected by irrigation water salinity. Int. J. Appl. Exp. Biol. 2022, 1, 33–37. [Google Scholar] [CrossRef]
- Murtaza, G.; Ghafoor, A.; Qadir, M.; Owens, G.; Aziz, M.; Zia, M. Disposal and use of sewage on agricultural lands in Pakistan: A review. Pedosphere 2010, 20, 23–34. [Google Scholar] [CrossRef]
- Singh, A.; Sharma, R.K.; Agrawal, M.; Marshall, F.M. Risk assessment of heavy metal toxicity through contaminated vegetables from waste water irrigated area of Varanasi, India. Trop. Ecol. 2010, 51, 375–387. [Google Scholar]
- Lacatusu, R.; Lacatusu, A.R.; Lungu, M.; Breaban, I.G. Macro- and microelements abundance in some urban soils from Romania. Carpath. J. Earth Environ. Sci. 2008, 3, 75–83. [Google Scholar]
- Kumar, A.; Bohra, C.; Singh, L. Environment, Pollution and Management; APH Publishing: Delhi, India, 2003. [Google Scholar]
- Bounar, A.; Boukaka, K.; Leghouchi, E. Determination of heavy metals in tomatoes cultivated under green houses and human health risk assessment. Qual. Assur. Saf. Crops Foods 2020, 12, 76–86. [Google Scholar] [CrossRef]
- Kaya, C.; Okant, M.; Ugurlar, F.; Alyemeni, M.N.; Ashraf, M.; Ahmad, P. Melatonin-mediated nitric oxide improves tolerance to cadmium toxicity by reducing oxidative stress in wheat plants. Chemosphere 2019, 225, 627–638. [Google Scholar] [CrossRef]
- Kaya, C.; Ashraf, M.; Alyemeni, M.N.; Ahmad, P. Responses of nitric oxide and hydrogen sulfide in regulating oxidative defence system in wheat plants grown under cadmium stress. Physiol. Plant. 2020, 168, 345–360. [Google Scholar] [CrossRef]
- Ali, H.; Khan, E.; Ilahi, I. Environmental chemistry and ecotoxicology of hazardous heavy metals: Environmental persistence, toxicity, and bioaccumulation. J. Chem. 2019, 2019, 6730305. [Google Scholar] [CrossRef]
- Krijger, G.C.; Van Vliet, P.M.; Wolterbeek, H.T. Metal speciation in xylem exudate of Lycopersicon esculentum Mill-technetium. Plant Soil 1999, 212, 165–173. [Google Scholar] [CrossRef]
- Zheljazkov, V.D.; Nielsen, N.E. Effect of heavy metals on peppermint and cornmint. Plant Soil 1996, 178, 59–66. [Google Scholar] [CrossRef]
- Siddiqui, M.H.; Alamri, S.; Khan, M.N.; Corpas, F.J.; Al-Amri, A.A.; Alsubaie, Q.D.; Ali, H.M.; Kalaji, H.M.; Ahmad, P. Melatonin and calcium function synergistically to promote the resilience through ROS metabolism under arsenic-induced stress. J. Hazard. Mater. 2020, 398, 122882. [Google Scholar] [CrossRef]
- Jan, S.; Alyemeni, M.N.; Wijaya, L.; Alam, P.; Siddique, K.H.; Ahmad, P. Interactive effect of 24-epibrassinolide and silicon alleviates cadmium stress via the modulation of antioxidant defense and glyoxalase systems and macronutrient content in Pisum sativum L. seedlings. BMC Plant Biol. 2018, 18, 146. [Google Scholar] [CrossRef]
- Jayarathne, A.; Egodawatta, P.; Ayoko, G.A.; Goonetilleke, A. Assessment of ecological and human health risks of metals in urban road dust based on geochemical fractionation and potential bioavailability. Sci. Total Environ. 2018, 635, 1609–1619. [Google Scholar] [CrossRef]
- Khan, S.; Cao, Q.; Zheng, Y.M.; Huang, Y.Z.; Zhu, Y.G. Health risks of heavy metals in contaminated soils and food crops irrigated with wastewater in Beijing, China. Environ. Pollut. 2008, 152, 686–692. [Google Scholar] [CrossRef]
- Parker, C. Water Analysis by Atomic Absorption Spectroscopy; Varian Techtron: Baden, Switzerland, 1972. [Google Scholar]
- Jackson, M.L. Soil Chemical Analysis; Constable and Co. Ltd.: London, UK, 1962. [Google Scholar]
- Bremner, J.M. Total nitrogen and inorganic forms of nitrogen. In Methods of Soil Analysis; Black, C.A., Ed.; American Society of Agronomy: Madison, WI, USA, 1965; Volume 2. [Google Scholar]
- Nriagu, J.O.; Pacyna, J.M. Quantitative assessment of worldwide contamination of air, water and soils by trace metals. Nature 1988, 333, 134–139. [Google Scholar] [CrossRef]
- Wolf, B. A comprehensive system of leaf analyses and its use for diagnosing crop nutrient status. Commun. Soil Sci. Plant Anal. 1982, 13, 1035–1059. [Google Scholar] [CrossRef]
- Steel, R.G.D.; Torrie, J.H. Principles and Procedures of Statistics, a Biometrical Approach, 2nd ed.; McGraw-Hill Kogakusha, Ltd.: New York, NY, USA, 1980. [Google Scholar]
- Ayers, R.S.; Westcot, D.W. Water Quality for Agriculture; FAO Irrigation and Drainage Paper 29; Food and Agriculture Organization of the United Nations: Rome, Italy, 1985. [Google Scholar]
- WWF. Report on national surface water classification criteria, irrigation water quality guidelines for Pakistan. In Proceedings of the Waste Water Forum Pakistan (WWF), Lahore, Pakistan, February 2007. [Google Scholar]
- USEPA. Quality Criteria for Water; EPA 440/5-86-001; USEPA (United States Environmental Protection Agency): Washington, DC, USA, 1986. [Google Scholar]
- Rowell, R. Soil Science: Method and Applications: Pesticides and Metals; Longman Singapore Publisher (Pte) Ltd.: Singapore, 1994. [Google Scholar]
- ECC. Council directive on the protection of the environment, and in particular of the soil, when sewage sludge is used in Agriculture. Off. J. Eur. Communities 1986, 181, 6–12. [Google Scholar]
- Awasthi, S. Prevention of Food Adulteration Act No. 37 of 1954, Central and State Rules as Amended for 1999; Ashoka Law House: Delhi, India, 2000. [Google Scholar]
- Sharma, R.K.; Agrawal, M.; Marshall, F. Heavy metal contamination of soil and vegetables in suburban areas of Varanasi, India. Ecotoxicol. Environ. Saf. 2007, 66, 258–266. [Google Scholar] [CrossRef] [PubMed]
- Murtaza, G.; Ghafoor, A.; Qadir, M. Accumulation and implications of cadmium, cobalt and manganese in soils and vegetables irrigated with city effluent. J. Sci. Food Agric. 2008, 88, 100–107. [Google Scholar] [CrossRef]
- Mushtaq, N.; Khan, K.S. Heavy metals contamination of soils in response to wastewater irrigation in Rawalpindi region. Pak. J. Agric. Sci. 2010, 47, 215–224. [Google Scholar]
- Arora, M.; Kiran, B.; Rani, S.; Rani, A.; Kaur, B.; Mittal, N. Heavy metal accumulation in vegetables irrigated with water from different sources. Food Chem. 2008, 111, 811–815. [Google Scholar] [CrossRef]
- Khan, Z.I.; Ahmad, K.; Bibi, H.F.; Ahmad, I.; Muhammad, F.G.; Ashfaq, A.; Ejaz, A.; Sameen, A.; Nadeem, M.; Ugulu, I. Heavy metals and proximate analysis of Sihar (Rhazya stricta Decne) collected from different sites of Warcha salt mine, Salt Range, Pakistan. Int. J. Appl. Exp. Biol. 2023, 2, 47–57. [Google Scholar] [CrossRef]
- Alirzayeva, E.; Shirvani, T.; Yazici, M.; Alverdiyeva, S.; Hukurov, E.; Ozturk, L.; Ali-Zade, V.; Cakmak, I. Heavy metal accumulation in Artemisia and foliaceous lichen species from the Azerbaijan flora. For. Snow Landsc. Res. 2006, 80, 339–348. [Google Scholar]
- Ahmad, M.S.A.; Hussain, M.; Saddiq, R.; Alvi, A.K. Mungbean: A nickel indicator, accumulator or excluder? Bull. Environ. Contam. Toxicol. 2007, 78, 319–324. [Google Scholar] [CrossRef]
- Paivoke, A.E.A. Mineral elements and phytase activity in Pisum sativum grown at different Zn supply levels in the greenhouse. Environ. Exp. Bot. 2003, 49, 285–294. [Google Scholar] [CrossRef]
- Essien, O.; Douglass, E. Heavy metal transfer to vegetables from contaminated farmland adjoining sub urban animal park/market, Uyo. Afr. J. Agric. Res 2012, 7, 1268–1275. [Google Scholar] [CrossRef]
- Ahmad, M.S.A.; Hussain, M.; Ijaz, S.; Alvi, A.K. Photosynthetic performance of two Mung bean (Vigna radiata (L.) Wilczek) cultivars under lead and copper application. Int. J. Agric. Biol. 2008, 10, 167–172. [Google Scholar]
- Adhikari, S.; Mitra, A.; Gupta, S.; Banerjee, S. Pollutant metal contents of vegetables irrigated with sewage water. J. Indian Soc. Soil Sci. 1998, 46, 153–155. [Google Scholar]
- Kansal, B.D.; Singh, J. Influence of municipal waste water and soil properties on accumulation of heavy metals in plants. J. Environ. Pollut. 1983, 6, 13–16. [Google Scholar]
- Schirado, T.; Pratt, P. Evidence for movement of heavy metals in a soil irrigated with untreated wastewater. J. Environ. Qual. 1986, 15, 9–12. [Google Scholar] [CrossRef]
- WHO. Guidelines for Drinking-Water Quality; World Health Organization: Geneva, Switzerland, 2004.
- WHO. Health Guidelines for the Use of Wastewater in Agriculture and Aquaculture; Technical Report Series 778; World Health Organization: Geneva, Switzerland, 1998.
- Asaolu, S. Lead content of vegetables and tomatoes at Erekesan market, Ado-Ekiti [Nigeria]. Pak. J. Sci. Ind. Res. 1995, 38, 399–401. [Google Scholar]
- Kim, J.Y.; Kim, K.W.; Lee, J.U.; Lee, J.S.; Cook, J. Assessment of As and heavy metal contamination in the vicinity of Duckum Au-Ag mine, Korea. Environ. Geochem. Health 2002, 24, 213–225. [Google Scholar] [CrossRef]
- Haiyan, W.; Stuanes, A.O. Heavy metal pollution in air-water-soil-plant system of Zhuzhou City, Hunan Province, China. Water Air Soil Pollut. 2003, 147, 79–107. [Google Scholar] [CrossRef]
- Amiri, S.S.; Maralian, H.; Aghabarati, A. Heavy metal accumulation in Melilotus officinalis under crown Olea europaea L. forest irrigated with wastewater. Afr. J. Biotechnol. 2008, 7, 3912–3916. [Google Scholar]
- Ahmad, M.S.A.; Ashraf, M.; Tabassam, Q.; Hussain, M.; Firdous, H. Lead (Pb)-induced regulation of growth, photosynthesis, and mineral nutrition in maize (Zea mays L.) plants at early growth stages. Biol. Trace Elem. Res. 2011, 144, 1229–1239. [Google Scholar] [CrossRef]
- Monnett, G.T.; Reneau, R.B.; Hagedorn, C. Evaluation of spray irrigation for on-site wastewater treatment and disposal on marginal soils. Water Environ. Res. 1996, 68, 11–18. [Google Scholar] [CrossRef]
- Burns, J.; King, L.; Westerman, P. Long-term swine lagoon effluent applications on ‘Coastal’bermudagrass: I. Yield, quality, and element removal. J. Environ. Qual. 1990, 19, 749–756. [Google Scholar] [CrossRef]
- Mohammad, M.J.; Mazahreh, N. Changes in soil fertility parameters in response to irrigation of forage crops with secondary treated wastewater. Commun. Soil Sci. Plant Anal. 2003, 34, 1281–1294. [Google Scholar] [CrossRef]
- Baldantoni, D.; Morra, L.; Zaccardelli, M.; Alfani, A. Cadmium accumulation in leaves of leafy vegetables. Ecotoxicol. Environ. Saf. 2016, 123, 89–94. [Google Scholar] [CrossRef] [PubMed]
- Edelstein, M.; Ben-Hur, M. Heavy metals and metalloids: Sources, risks and strategies to reduce their accumulation in horticultural crops. Sci. Hort. 2018, 234, 431–444. [Google Scholar] [CrossRef]
- Balkhair, K.S.; Ashraf, M.A. Field accumulation risks of heavy metals in soil and vegetable crop irrigated with sewage water in western region of Saudi Arabia. Saudi J. Biol. Sci. 2016, 23, S32–S44. [Google Scholar] [CrossRef]
- Mashavira, M.; Chitata, T.; Mhindu, R.L.; Muzemu, S.; Kapenzi, A.; Manjeru, P. The effect of water hyacinth (Eichhornia crassipes) compost on tomato (Lycopersicon esculentum) growth attributes, yield potential and heavy metal levels. Am. J. Plant Sci. 2015, 6, 545. [Google Scholar] [CrossRef]
- Rai, P.K.; Lee, S.S.; Zhang, M.; Tsang, Y.F.; Kim, K.-H. Heavy metals in food crops: Health risks, fate, mechanisms, and management. Environ. Int. 2019, 125, 365–385. [Google Scholar] [CrossRef]
Disclaimer/Publisher’s Note: The statements, opinions and data contained in all publications are solely those of the individual author(s) and contributor(s) and not of MDPI and/or the editor(s). MDPI and/or the editor(s) disclaim responsibility for any injury to people or property resulting from any ideas, methods, instructions or products referred to in the content. |
© 2023 by the authors. Licensee MDPI, Basel, Switzerland. This article is an open access article distributed under the terms and conditions of the Creative Commons Attribution (CC BY) license (https://creativecommons.org/licenses/by/4.0/).







