Next Article in Journal
Improvement of Hierarchical Byzantine Fault Tolerance Algorithm in RAFT Consensus Algorithm Election
Previous Article in Journal
The Influence of Mechanical, Physical and Chemical Influences on Protective Clothing
 
 
Font Type:
Arial Georgia Verdana
Font Size:
Aa Aa Aa
Line Spacing:
Column Width:
Background:
Article

An Evaluation of the Physical and Chemical Parameters in Brassica Seedlings Grown on Various Organic Substrates

by
Krzysztof Konrad Jadwisieńczak
1,
Joanna Majkowska-Gadomska
2,
Anna Francke
2 and
Zdzisław Kaliniewicz
1,*
1
Department of Heavy Duty Machines and Research Methodology, Faculty of Technical Sciences, University of Warmia and Mazury in Olsztyn, Oczapowskiego 11, 10-719 Olsztyn, Poland
2
Department of Agroecosystems and Horticulture, Faculty of Environmental Management and Agriculture, University of Warmia and Mazury in Olsztyn, Plac Łódzki 3, 10-718 Olsztyn, Poland
*
Author to whom correspondence should be addressed.
Appl. Sci. 2023, 13(16), 9124; https://doi.org/10.3390/app13169124
Submission received: 13 July 2023 / Revised: 25 July 2023 / Accepted: 2 August 2023 / Published: 10 August 2023

Abstract

Horticultural substrates should promote seed germination and seedling emergence. The value of the SPAD index was significantly influenced by the type of substrate. The substrates had a beneficial effect on plant height in comparison with the control substrate. Brassica plants grown on the substrates used in the experiment had a compact growth habit, which is a desirable trait in seedling production. In general, macronutrient uptake differed in Brassica plants grown on various substrates. Significant differences in this parameter were observed mainly in broccoli (increase of approx. 14%) and white cabbage (decrease of approx. 30%) grown on PRO2, and in all plants grown on PRO3 (increase of approx. 9% in broccoli, decrease of approx. 33% in white cabbage, and decrease of approx. 15% in cauliflowers). The substrates decreased the total micronutrient concentrations in broccoli leaves by around 15% (PRO1) to around 40% (PRO3) relative to the control substrate. In comparison with the control treatment, micronutrient levels in cauliflower leaves increased by around 12% on PRO1 to around 35% on PRO3. In white cabbage, the total micronutrient content of leaves increased by around 24% on PRO1, and decreased by around 20% and 35% on PRO2 and PRO3, respectively, relative to the control treatment.

1. Introduction

Brassica vegetables are temperate climate crops that can be direct-seeded or transplanted out in the field. Seedlings can be grown under cover or in an open field. Seedlings grown from starter plugs in heated greenhouses or foil tunnels are best suited for early planting. In turn, seedlings grown directly in the soil bed in unheated tunnels or in the field should be selected for late planting [1]. Seedling quality plays a very important role in agriculture because it affects the growth and yield of transplanted crops. High-quality seedlings have desirable morphological characteristics such as strong stems, an optimal shoot-to-root ratio, and thick, dark green leaves [2]. Starter plugs grown in trays are becoming increasingly popular [3]. This propagation method provides optimal conditions for plant growth. Seedlings grown in trays are easy to maintain, and their growth can be regularly inspected at a relatively low cost and low labor input. Seedling starter trays can be easily transported across long distances, and ready-to-plant plugs can be stored in trays for several days without compromising their quality if the planting date is delayed [4]. Plants grown in less-supportive environments have to be resistant to physiological stress [5]. However, stress affecting seedlings for a long time leads to a marked decrease in their quality. The choice of crop species and cultivar is largely determined by market demand [6]. Consumers are becoming increasingly aware of vegetable quality and global food security, which forces producers to enhance the functional properties of food crops. Agricultural practices aiming to improve crop quality should also increase productivity per unit area, while minimizing the environmental impact of food production [7,8]. This goal can be achieved through the use of organic and profitable raw materials [9]. Horticultural substrates influence plant growth and development, and they improve crop yields and quality. Well-formed seedlings guarantee high yields and high crop quality. According to Medeiros et al. [10], substrates should supply plants with nutrients to promote effective seed germination and seedling emergence. A substrate has good physical, chemical, biological, and sanitizing properties [11,12,13].
The availability of organic substrates has decreased in Poland and other countries in recent years. In Poland, alternative substrates are imported from Latvia and Lithuania, and environmentally friendly peat alternatives are used as potting media to maintain or improve crop yields [14,15].
The findings of Hirschler et al. [13] were that the resource supply does not generally indicate a limitation to an extended use of alternative growing media constituents in Europe. In a maximal demand scenario, the amounts considered would also be sufficient to completely replace peat. However, in this study of Hirschler et al. [13], the current supply for nationally sourced alternative materials could be scarce for some countries like the Netherlands or the Baltic States. Competition for wood resources, e.g., with the energy sector, could limit their use in the growing media sector. Moreover, the conditions set by the EU Fertilising Products Regulation (EU) 2019/1009 [16] might hamper a large use of wood fibers as growing media constituent. For bark, green waste and coir by-products, an increased demand from the growing media sector may support the mobilization of additional resources. For coir by-products, a future rise in the international demand might lead to a strong competition and the exhaustion of the world’s potential reserves. Transportation costs play an important role for the access to biomass potentials [13].
The following research hypothesis was formulated: specialty substrates based on Latvian peat improve the morphological and chemical parameters of Brassica crops grown from seedlings. The aim of this study was to evaluate the influence of selected substrates on the biometric parameters and leaf nutrient contents of broccoli, cauliflower, and white cabbage seedlings.

2. Materials and Methods

2.1. Study Site and Experimental Factors

Brassica seedlings were grown in an experiment with a two-factorial design, established in 2021 and 2022 at the Agricultural Experiment Station of the Faculty of Agriculture and Forestry of the University of Warmia and Mazury in Olsztyn (53.753569° N and 20.455521° E). The experiment was carried out in accordance with the methodology of integrated production [7,8,17] and the provisions of the Polish Journal of Laws on plant protection products [18]. Due to minor differences in the analyzed parameters, the results were expressed as the mean values from both cultivation dates.
The first experimental factor was the Brassica species:
  • Broccoli (Brassica oleracea var. italica Plenck) cv. Cezar;
  • White cabbage (Brassica oleracea var. capitata f. alba L.) cv. Zeli Bele;
  • Cauliflower (Brassica oleracea var. botrytis L.) dv. Bola de Nieve X.
The second experimental factor was the substrate (Table 1). Three substrates were selected for the study, and their impact on the growth, development, and yield of Brassica vegetables was determined:
  • Aura standard substrate for cabbage, cauliflower, and broccoli;
  • PRO1 professional substrate containing 50% white milled peat and 50% black milled peat; particle size—0–10 mm;
  • PRO2 professional substrate containing 50% white milled peat and 50% black milled peat; particle size—0–4 mm;
  • PRO3 professional substrate containing 100% black milled peat; particle size—0–4 mm.
The tested substrates were applied according to the distributor’s recommendation (Agaris Poland, Pasłęk, Poland).
Seedlings grown on the standard substrate (Aura) were the control.

2.2. Experimental Design

Seedlings were grown in a greenhouse. The chemical properties of the substrate were determined with the use of standard methods before the experiment (Table 1). The content of N-NO3 was determined using colorimetry with a phenoldisulfonic acid (UV-1201V spectrophotometer, Shimadzu Corporation Kyoto, Kyoto, Japan). Phosphorus was determined by the vanadium molybdate yellow colorimetric method (UV–1201V spectrophotometer, Shimadzu Corporation Kyoto, Japan). Calcium and potassium were determined using atomic emission spectrometry (AES) (BWB Technologies UK Ltd. Flame Photometers, Newbury, England). Magnesium was extracted with 0.01 M CaCl2 and quantified using atomic absorption spectrophotometry (AAS) (AAS1N, Carl Zeiss Jena, Germany). Salinity was measured using conductometry (N5773 conductivity meter, Teleko Wrocław, Wrocław, Poland), and pH in H2O was determined by the potentiometric method. Seedling trays were filled with the tested substrates. Substrate parameters are presented in Table 1.
Seeds were planted in the first ten days of September 2021 and January 2022 in plug trays with 54 cells each, with a cell volume of 0.11 dm3. Three trays filled with the same substrate and planted with the seeds of the same Brassica species constituted one treatment. A tray with 54 seedlings constituted one replicate (Figure 1).
Greenhouse conditions were adapted to different stages of plant development. During seed germination, trays were covered with PP 18 polypropylene fabric to maintain temperature at 24–26 °C and a humidity of 80%. The greenhouse climate was controlled by a computer. After seedling emergence, temperature and humidity were decreased to 16 °C and 60%, respectively. Seedlings were watered by a misting system, and supplemental light was provided by HPS 600W PL94 600 W/230 V sodium lamps. Supplemental light was provided around the clock in the first days after seedling emergence. On successive days, greenhouse temperature was maintained at 21 °C during the day and 19 °C at night (60% humidity), and supplemental light was provided for 16 h each day. In early stages of plant development, seedlings were irrigated and additionally sprayed with mist if required. Seedlings were irrigated on successive days of the experiment. Seedling trays were watered automatically for 10 min, and irrigation treatments were repeated according to need. Substrate moisture was controlled with an LB-797C soil moisture sensor. Plants were watered when substrate moisture decreased to 20%.
Pests and diseases were not observed during the experiment, and chemical protection agents were not applied. Plants were regularly watered and twice supplied with the PGMix 14-16-18 (Yara, Szczecin, Poland) fertilizer at 0.5 kg m−3 (EC = 3.2 mS·cm−1). The applied fertilizer had the following composition: nitrogen—14% (including 5.5% of N-NO3 and 8.5% of N-NH4), phosphorus—16%, potassium—18%, magnesium—0.8%, sulfur—19%, boron—0.03%, copper—0.12%, iron—0.09%, manganese—0.16%, molybdenum—0.20%, and zinc—0.04%.

2.3. Analysis of the Biometric Parameters of Seedlings

Leaf greenness (SPAD index) was measured twice (in the second true leaf unfolded stage and on the last day of the experiment) with the SPAD-502 chlorophyll meter (Konica Minolta Inc., Wrocław, Poland). The measurements were conducted on all leaves in five plants in each replicate of each treatment, and the results were averaged. After the experiment, leaves and roots were weighed on the Radwag PST 750 R2 (Radwag, Radom, Poland) laboratory scale with an accuracy of 1 g.
The experiment lasted six weeks. Seedling height (distance between the substrate and the tip of the longest leaf) was measured with a ruler (with an accuracy of ±1 mm), and the number of leaves was determined after the experiment. Leaves and roots were weighed together with the weight of the substrate.

2.4. Analysis of the Mineral Composition of Leaves

The mineral composition of aerial plant parts was determined in a composite sample from each treatment. Chemical analyses of leaves were performed on dry plant material collected at first harvest, in three replications. The concentrations of macronutrients and micronutrients were determined in dry and wet mineralized plant materials in three replications. Plants were dried for 24 h at 65 °C in a Binder ED400 dryer (Binder GmbH, Tuttlingen, Germany), and were ground in a Grindomix GM300 knife mill (Retsch GmbH, Haan, Germany). To determine macronutrient content, herbage samples were wet mineralized in H2SO4 with the addition of H2O2 as the oxidizing agent, using the SpeedDigester K-439 unit (Büchi Labortechnik AG, Flawil, Switzerland). To determine micronutrient content, leaf samples were wet mineralized in a mixture of HNO3 + HClO4 + HCl using a CEM Mars 5 Digestion Oven (CEM Corporation, Matthews, NC, USA).
Total nitrogen (N-total) content in leaf samples was determined by the Kjeldahl method, phosphorus (P) content by the colorimetric method (UV-1201V spectrophotometer, Shimadzu Corporation Kyoto, Tokyo, Japan), potassium (K) and calcium (Ca) content by atomic emission spectrometry (AES) (Flame Photometers, BWB Technologies Ltd., Newbury, UK), and magnesium (Mg) content by atomic absorption spectrometry (AAS) (AAS1N, Carl Zeiss Jena, Jena, Germany). The content of copper (Cu), zinc (Zn), boron (B) and manganese (Mn) was determined by AAS (AA-6800, Shimadzu Corporation, Kyoto, Japan).

2.5. Statistical Analysis

The results of biometric measurements of the examined Brassica vegetables and the content of selected macronutrients and micronutrients in aerial plant parts were processed statistically in Statistica PL v. 13.3 (TIBCO, Palo Alto, CA, USA) at the significance level of α = 0.05. The mean values of biometric parameters were determined with the use of descriptive statistics. Significant differences in the mean values of the analyzed parameters were determined by analysis of variance (ANOVA). Homogeneous groups were identified using Tukey’s test.

3. Results and Discussion

Poland is characterized by a short growing season and variable temperatures. Early maturing crop varieties and seedlings are recommended for field cultivation in the temperate zone to minimize damage caused by low temperature. Extreme weather events such as droughts and floods in critical stages of plant development can also substantially decrease yields [19]. Seedling production makes it possible to eliminate the effect of adverse weather conditions in the most sensitive stage of agricultural production. Most substrates for soil-less cultivation of vegetables and ornamental plants contain high-moor peat. Seedlings are usually grown on deacidified and pre-fertilized peat substrates. Premium quality and pathogen-free substrates made from high-moor peat are best suited for seedling production [20,21,22]. In some cases, peat substrates are not adequately sanitized or controlled for pests and pathogens. Cabbage seedlings grown on a high-moor peat substrate (according to the manufacturer’s specifications) were infected by clubroot which caused significant yield losses [19].
Brassica seedlings should be grown on deacidified substrates with a pH of 6.5–7.0. The optimal content of minerals in substrates for seedling production (per 1 dm3) was determined at 100–200 mg for nitrogen, 80–150 mg for phosphorus, 200–300 mg for potassium, and 60–120 mg for magnesium. Total micronutrient content (molybdenum, iron, manganese, copper, boron, and zinc) should not exceed 30 mg [23].

3.1. Biometric Parameters of Seedlings

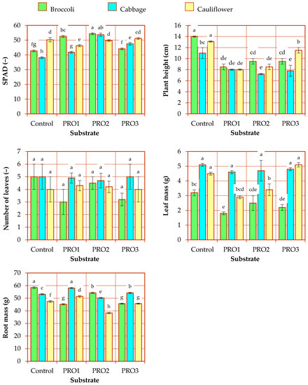
The biometric parameters of the studied Brassica seedlings are presented in Table 2 and Figure 2. During the growing season, the SPAD index was highest in broccoli grown on substrate PRO2 (52.5), and lowest in white cabbage grown on the standard (control) substrate (38.1). SPAD values were significantly influenced by the applied substrate, but species-specific differences were observed. SPAD values were significantly higher in broccoli grown on PRO1 (by approx. 24%) and PRO2 (by approx. 27%) than on the control substrate. In white cabbage leaves, SPAD values were significantly higher on all three used in the experiment substrates (by approx. 10% on PRO1, by approx. 41% on PRO2, and by approx. 25% on PRO3). The analyzed substrates had the lowest effect on SPAD values in cauliflower seedlings. SPAD values were significantly lower in cauliflowers grown on substrate PRO1 (by approx. 8%) than in the control treatment. According to Michelon et al. [24], the chlorophyll content of leaves decreases with a drop in nutrient concentrations in the substrate. Similar results were obtained by Chrysargyris et al. [25]. Studies have shown that paper waste substrates ≥30% decreased dental conductance, while chlorophyll fluorescence and content of chlorophylls decreased with a high PW ratio, negatively affecting the plant physiology.
The substrates exert a positive influence on plant height. Plants grown on substrates used in the experiment were shorter and had a compact growth habit, which is highly desirable in seedling production. The greatest differences in plant height relative to the control treatment were observed in broccoli (approx. 39%) and cauliflowers (approx. 38%) grown on PRO1, and in white cabbage (approx. 35%) grown on PRO2.
According to Aquino et al. [26], vegetables, including cabbage, have a high demand for potassium which promotes carbohydrate synthesis and translocation, increases water-use efficiency, regulates nitrogen metabolism, and improves seedling quality [27]. Taiz et al. [28] observed that nitrogen is one of the key nutrients in crop production that promotes seedling germination and increases leaf surface area. In the work of Aquino et al. [26], macronutrients were arranged in the following order based on their uptake levels: K > N > Ca > S > P > Mg. In the present study, nutrient concentrations were highest in the control substrate (Table 1), which could explain why control treatment plants were taller than the plants grown on substrates used in the experiment.
After six weeks, Brassica plants had an average of three to five leaves (Table 2). The number of leaves was not affected by the type of substrate, and minor differences in this parameter were observed between species. The smallest number of leaves was noted in broccoli seedlings grown on PRO1, and the highest number of leaves was noted in broccoli grown on the control substrate, and in white cabbage grown on the control substrate and PRO3.
Leaf mass was associated with Brassica species, and it was also influenced by the interaction effects of substrate and species. This parameter was highest (5.1 g) in cauliflowers grown on PRO3 and white cabbage grown on the control substrate, and it was lowest (1.8 g) in broccoli grown on PRO1. Substrate PRO1 exerted a negative impact on the mass of cauliflower leaves which were around 36% lighter than the leaves of control cauliflower seedlings. An even greater difference was observed in the mass of broccoli leaves which was around 44% lower on PRO1 than on the control substrate. The substrates used in the experiment did not induce a significant decrease in the mass of cabbage leaves.
Root mass also differed in Brassica plants grown on various substrates, but the observed differences were species-specific. Root mass ranged from around 38 g in cauliflowers grown on PRO3 to around 58 g in broccoli grown on the control substrate. In comparison with control plants, root mass was higher in white cabbage grown on PRO1 (by approx. 9%) and PRO3 (by approx. 2%), and in cauliflowers grown on PRO1 (by approx. 8%). Broccoli seedlings grown on all three substrates used in the experiment were characterized by a lower root mass (approx. 23% on PRO1; approx. 7% on PRO2; approx. 22% on PRO3) than control plants (Figure 3).
Substrate PRO2 had the most stimulatory effect on root development, compared with the control substrate (Figure 3). The stimulatory effects of the remaining used in the experiment substrates differed across species, but the substrates used in the experiment and the control substrate promoted root development in Brassica plants to a similar extent. Broccoli seedlings were characterized by the most extensive root system when grown on PRO2 and PRO3, and broccoli roots were only somewhat less well developed on PRO1. Cauliflowers produced the strongest roots on PRO2, and cauliflower root systems were also well developed in PRO3 and control treatments. In cabbages, the root system was better developed in all substrates (PRO1, PRO2, PRO3) than in the control substrate.
Similar values of biometric properties were reported by Babik [29] and Mitchell et al. [30]. The physical and chemical parameters of soil and substrate are robust indicators of their quality, and they significantly affect root growth and development [31]. Plant roots thrive in substrates characterized by adequate infiltration, drainage, water-holding capacity, porosity and density, and a high content of macronutrients and micronutrients. Root growth and development can be enhanced through agricultural practices that improve the physical and chemical properties of substrates [32,33,34,35]. According to Chimphango et al. [36] and Maselesele et al. [31], a functional relationship exists between roots and shoots in most plant species, and root growth probably contributes to a higher shoot biomass. In the work of Oda [2], the tested substrates and growth media significantly affected the growth (leaf fresh weight and leaf morphology) and physiological parameters (stomatal conductance, leaf temperature, and chlorophyll content) of lettuce and napa cabbage seedlings. Seedling quality affects plant growth and yields after transplanting. High-quality seedlings should be characterized by thick stems, thick, dark green leaves, and large white roots. Plant biomass and leaf number were increased at 2.5% SCG for broccoli and cabbage but maintained at cauliflower when compared with control. The SCG at 10% decreased the stomatal conductance of broccoli and cabbage (including 2.5–5.0% SCG in cauliflower) while chlorophyll content was increased at 10% of SCG media [36].

3.2. Chemical Composition of Plants

3.2.1. Macronutrient Content

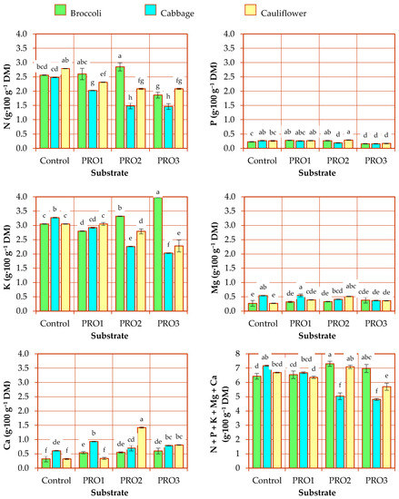
The macronutrient content of white cabbage, cauliflower, and broccoli leaves in the sixth true leaf unfolded stage was similar to that reported in the literature [37,38,39]. Macronutrients, namely essential nutrients that the human body needs in large amounts, include calcium, magnesium, potassium, sodium, iron, phosphorus, and chlorine [39,40]. Microgreens are edible seedlings enriched with concentrated minerals and phytochemicals whose dietary potential as functional foods needs evaluation. In this study, comprehensive biochemical, mineral and metabolic [41]. The macronutrient content of leaves in the studied Brassica plants is presented in Table 3 and Figure 4. The content of nitrogen and phosphorus in leaf dry matter was associated with the type of substrate, whereas the content of potassium, magnesium, and calcium in leaf dry matter was linked with plant species. The content of all analyzed macronutrients in leaf dry matter was influenced by the interaction effects of substrate and plant species. Similar interaction effects were reported in a study of tomatoes grown on substrates with different proportions of vermicompost [15]. The incorporation of coffee grounds (SCG) influenced the content of minerals accumulated in plants by an increase in nitrogen, potassium and phosphorus and a decrease in the content of magnesium and iron in Brassica vegetables [42].
The content of nitrogen in leaf dry matter ranged from 1.46 g⸱100 g−1 DM in white cabbage grown on PRO3 to 2.85 g⸱100 g−1 DM in broccoli grown on PRO2. The nitrogen content of leaves was around 11% higher in broccoli grown on PRO2 and around 27% lower in broccoli grown on PRO3 relative to the control treatment. No significant differences in the nitrogen content of leaves were observed between broccoli seedlings grown on PRO1 and the control substrate. The substrates used in the experiment decreased the content of nitrogen in leaf dry matter by around 19–41% in white cabbage and by around 17–25% in cauliflower seedlings, respectively.
In comparison with the control substrate, PRO1 increased phosphorus content in leaf dry matter only in broccoli (by approx. 22%), whereas no significant changes were noted in the remaining species. In vegetables grown on PRO2, the above parameter increased in broccoli (by approx. 17%) and cauliflowers (by approx. 12%), and decreased in white cabbage (by approx. 30%) relative to the respective controls. In turn, substrate PRO3 decreased the phosphorus content of leaves in all Brassica species, and the observed decrease ranged from around 30% in broccoli to around 41% in white cabbage. These changes could be attributed to the fact that phosphorus concentration was nearly twice lower in PRO3 than in the control substrate (Table 1), which resulted in lower phosphorus uptake by the studied plants. The content of phosphorus in leaf dry matter ranged from 0.16 in 100 g⸱kg−1 DM (broccoli and white cabbage grown on PRO3) to around 0.29 in 100 g⸱kg−1 DM (cauliflowers grown on PRO2).
Potassium levels were lower in substrates (PRO1, PRO2, PRO3) than in the control substrate, which led to lower leaf potassium levels in plants grown on these substrates. The only exceptions were cauliflower seedlings grown on PRO1, where no significant differences in leaf potassium levels were noted relative to the control treatment, and broccoli seedlings grown on PRO2 and PRO3, where the content of potassium in leaf dry matter increased by around 9% and 30%, respectively. In comparison with the control treatment, the greatest reduction in leaf potassium content was observed in seedlings grown on PRO1 (approx. 8% in broccoli) and PRO3 (approx. 38% in white cabbage, and approx. 25% in cauliflowers). The content of potassium in leaf dry matter ranged from 2.03 in 100 g⸱kg−1 DM (white cabbage grown on PRO2) to 3.27 in g⸱100 g−1 DM (broccoli grown on PRO3).
Despite the fact that the content of magnesium was nearly twice lower in used substrates than in the control substrate, a significant decrease in magnesium uptake was not observed in the examined plants. Magnesium uptake was reduced only in white cabbage grown on PRO2 and PRO3, where the content of magnesium in leaf dry matter decreased by around 24% and 31%, respectively, compared with the control treatment. A significant increase in magnesium concentration in leaves was observed only in cauliflower seedlings grown on PRO2 (by approx. 89%). The magnesium content of leaf dry matter ranged from 0.27% (broccoli and cauliflowers grown on the control substrate) to 0.55% (white cabbage grown on PRO1).
The content of calcium in leaf dry matter ranged from 0.32% (broccoli and cauliflowers grown on the control substrate) to 1.42% (cauliflowers grown on PRO2). The substrates (PRO1, PRO2, PRO3) generally increased the calcium content of leaves relative to the control treatment. Substrate PRO1 significantly increased leaf calcium levels in broccoli (by approx. 69%) and white cabbage (by approx. 52%). In vegetables grown on PRO2, the above parameter increased significantly in broccoli (by approx. 72%) and cauliflowers (by 344%), whereas substrate PRO3 increased the calcium content of leaves in all analyzed plants (by a approx. 87% in broccoli, by approx. 30% in white cabbage, and by approx. 153% in cauliflowers).
In general, macronutrient uptake differed in Brassica plants grown on various substrates. However, total macronutrient content in leaf dry matter did not differ significantly between plants grown on the control substrate and PRO1. Significant differences in this parameter were observed mainly in broccoli (increase of approx. 14%) and white cabbage (decrease of approx. 30%) grown on PRO2, and in all plants grown on PRO3 (increase of approx. 9% in broccoli, decrease of approx. 33% in white cabbage, and decrease of approx. 15% in cauliflowers).

3.2.2. Micronutrient Content

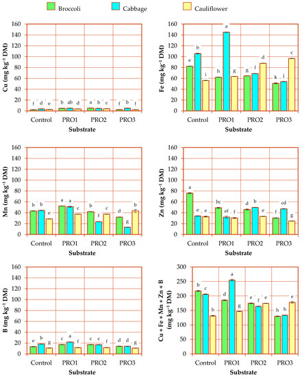
Micronutrients, namely nutrients that are needed by the body in very small amounts (below 0.01% of body weight), include chromium, cobalt, copper, manganese, and zinc, and they occur at very low concentrations in the natural environment. Large quantities of these metals can be toxic to humans [43]. Vegetables of the family Brassicaceae are abundant in micronutrients, which enhances their nutritional value. The mineral composition of plants is influenced by fertilization and the applied substrate [44].
The micronutrient content of leaves in the studied Brassica species is presented in Table 4 and Figure 5. The content of iron, zinc, and boron was linked with plant species, whereas manganese content was associated with the substrate. Copper levels in leaves were influenced by both substrate and plant species. The content of all micronutrients was affected by the interaction effects of substrate and plant species.
Copper concentration in leaves ranged from 2.2 mg kg−1 DM (cauliflowers grown on PRO3) to 5.2 mg kg−1 DM (broccoli grown on PRO2). In most cases, alternative substrates increased copper concentration in leaves relative to the control treatment (cauliflower seedlings grown on PRO3 were the only exception, where the analyzed parameter decreased by approx. 21%). In comparison with the control treatment, the greatest increase in copper content was noted in broccoli and cauliflowers grown on substrate PRO2 (approx. 136% and 43%, respectively) and in white cabbage grown on PRO1 (approx. 36%).
The content of iron in Brassica leaves grown on the tested substrates ranged from 51.0 mg kg−1 DM (cauliflowers grown on the control substrate) to 144.9 mg kg−1 DM (white cabbage grown on PRO1). In comparison with the control treatment, substrates used in the experiment increased the iron content of leaves in cauliflowers by around 13% (PRO1) to around 72% (PRO3), and decreased the iron content of leaves in broccoli by around 22% (PRO2) to around 38% (PRO3). In white cabbage, the iron content of leaves increased by around 37% on PRO1, and decreased by around 35% and 49% on PRO2 and PRO3, respectively.
The tested substrates exerted different effects on manganese concentration in the leaves of the analyzed Brassica species. The above parameter ranged from 13.6 mg kg−1 DM (white cabbage grown on PRO3) to 52.4 mg kg−1 DM (broccoli grown on PRO1). In comparison with the control treatment, substrate PRO1 increased leaf manganese levels by around 15% (white cabbage) to around 30% (cauliflowers). In plants grown on PRO2, the manganese content of broccoli leaves was similar to that noted in the control treatment, lower in white cabbage leaves (by approx. 47%) and higher in cauliflower leaves (by approx. 30%). In turn, substrate PRO3 decreased the above parameter in broccoli (by approx. 26%) and white cabbage (by approx. 69%), but increased the manganese content of cauliflower leaves (by approx. 50%) relative to the respective controls.
The zinc content of leaves in the studied Brassica plants ranged from 24.8 mg kg−1 DM (cauliflowers grown on PRO3) to 76.0 mg kg−1 DM (broccoli grown on the control substrate). In broccoli, alternative substrates induced a considerable decrease in the zinc content of leaves, from around 36% (PRO1) to around 60% (PRO3). White cabbage grown on PRO2 and PRO3 was characterized by considerably higher zinc levels (by approx. 46% and 38%, respectively), compared with the control treatment. In cauliflowers, leaf zinc levels were significantly lower on PRO1 and PRO3 (by approx. 8% and 25%, respectively) than in the control treatment.
The boron content of Brassica leaves ranged from 10.6 mg kg−1 DM (cauliflowers grown on PRO3) to 22.0 mg kg−1 DM (white cabbage grown on PRO1). In broccoli, substrates used in the experiment increased boron concentration by around 6% (PRO3) to around 28% (PRO1 and PRO2) relative to the control treatment. Alternative substrates exerted varied effects on the boron content of white cabbage leaves. In comparison with the control substrate, the analyzed parameter decreased by around 7% and 23% in PRO2 and PRO3, respectively, and increased by around 20% in PRO1. Substrate type had the least differentiating effect on the boron content of cauliflower leaves. In comparison with the control treatment, substrates PRO1 and PRO2 induced a minor increase in this parameter (approx. 9% in both cases) in the leaves of cauliflower seedlings.
Similarly to macronutrients, the accumulation of micronutrients in Brassica leaves differed across the analyzed substrates. Micronutrient levels in Brassica vegetables were similar in the study of Demir and Polat [45], whereas Godlewska et al. [46] reported lower copper levels and higher iron, manganese, and zinc levels than those noted in the present study. The substrates used in the experiment decreased total micronutrient concentrations in broccoli leaves by around 15% (PRO1) to around 40% (PRO3) relative to the control substrate. The substrates had a completely different effect on the total micronutrient content of cauliflower leaves. In comparison with the control treatment, micronutrient levels in cauliflower leaves increased by around 12% on PRO1 to around 35% on PRO3. In white cabbage, the total micronutrient content of leaves increased by around 24% on PRO1, and decreased by around 20% and 35% on PRO2 and PRO3, respectively, relative to the control treatment.

4. Conclusions

The value of the SPAD index was significantly influenced by the type of substrate, but species-specific differences were observed. This parameter decreased with a decline in nutrient concentrations in the substrate. The substrates used in the experiment had a beneficial effect on the height of the plants compared to the control substrate. Brassica plants grown on these substrates were characterized by a compact habit, which is a desirable feature in the production of seedlings. In general, the accumulation of macroelements and microelements by Brassica plants varied depending on the type of substrate.

Author Contributions

Conceptualization, J.M.-G.; methodology, J.M.-G. and A.F.; software, Z.K.; validation, A.F. and Z.K.; formal analysis, K.K.J., J.M.-G. and Z.K.; investigation, J.M.-G. and A.F.; resources, K.K.J. and J.M.-G.; data curation, K.K.J. and J.M.-G.; writing—original draft preparation, K.K.J., J.M.-G. and A.F.; writing—review and editing, J.M.-G., A.F. and Z.K.; visualization, Z.K.; supervision, J.M.-G.; project administration, J.M.-G. and A.F.; funding acquisition, K.K.J. and J.M.-G. All authors have read and agreed to the published version of the manuscript.

Funding

The results presented in this paper were obtained as part of a comprehensive study financed by the University of Warmia and Mazury in Olsztyn, Faculty of Agriculture and Forestry, Department of Agroecosystems and Horticulture (project No. 30.610.016-110).

Institutional Review Board Statement

Not applicable.

Informed Consent Statement

Not applicable.

Data Availability Statement

The datasets generated during and/or analyzed during the current study are available from the corresponding author on reasonable request.

Conflicts of Interest

The authors declare no conflict of interest.

References

  1. Pascual, J.A.; Ceglie, F.; Tuzel, Y.; Koller, M.; Koren, A.; Hitchings, R.; Tittarelli, F. Organic substrate for transplant production in organic nurseries. A review. Agron. Sustain. Dev. 2018, 38, 35. [Google Scholar] [CrossRef]
  2. Oda, M. Raising of vigorous and valuable seedlings. Regul. Plant Grow. Dev. 2007, 42, 176–182. [Google Scholar] [CrossRef]
  3. Raviv, M. Recent advances in soil-borne disease control using suppressive media. Acta Hortic. 2009, 819, 125–134. [Google Scholar] [CrossRef]
  4. Kubota, C.; Chia, P.; Yang, Z.; Li, Q. Applications of far-red light emitting diodes in plant production under controlled environments. Acta Hortic. 2012, 952, 59–66. [Google Scholar] [CrossRef]
  5. Unal, M. Effect of organic media on growth of vegetable seedlings. Pak. J. Agric. Sci. 2013, 50, 517–522. [Google Scholar]
  6. Restrepo, A.P.; Medina, E.; Perez-Espinosa, A.; Agulló, E.; Bustamante, M.A.; Mininni, C.; Bernal, M.P.; Moral, R. Substitution of peat in horticultural seedlings: Suitability of digestate-derived compost from cattle manure and maize silage codigestion. Commun. Soil Sci. Plant Anal. 2013, 44, 668–677. [Google Scholar] [CrossRef]
  7. Dobrzański, F.; Nawrocka, B. Integrated Cauliflower Production Methods, 3rd ed.; Plant Health and Seed Inspection Service PIORIN: Warsaw, Poland, 2020. (In Polish)
  8. Korbin, B.; Nawrocka, B. Integrated Cabbage Production Methods, 3rd ed.; Plant Health and Seed Inspection Service PIORIN: Warsaw, Poland, 2020. (In Polish)
  9. Sharifova, S.; Hasanov, S.; Babayev, A.; Guliyev, N. Some characteristics of the newly obtained constant sweet pepper (Capsicum annum L.) hybrids. Ratar. Povrt. 2012, 49, 122–125. [Google Scholar] [CrossRef]
  10. Medeiros, A.S.; Silva, E.G.; Luison, E.A.; Junior, R.A.; Andreani, D.I. Utilization of organic compost as substrate for vegetable seedling production. Rev. Agrar. 2010, 3, 261–266. (In Portuguese) [Google Scholar]
  11. de Mesquita, E.F.; Chaves, L.H.G.; Freitas, B.V.; Silva, G.A.; Sousa, M.V.R.; Andrade, R. Production of papaya seedlings using different substrates with cattle manure and recipients volumes. Bras. Cienc. Agrar. 2012, 7, 58–65. [Google Scholar] [CrossRef][Green Version]
  12. Monaco, P.A.V.L.; de Castro Vieira, J.; Colombo, J.N.; Krause, M.R.; Sousa Vieira, G.H.; Almeida, K.M. Use of agricultural waste material as an alternative substrate in cabbage seedling production and development. Emir. J. Food Agric. 2020, 32, 131–139. [Google Scholar] [CrossRef]
  13. Hirschler, O.; Osterburg, B.; Weimar, H.; Glasenapp, S.; Ohmes, M.-F. Peat Replacement in Horticultural Growing Media: Availability of Bio-Based Alternative Materials; Thünen Working Paper 190; Johann Heinrich von Thünen-Institut: Braunschweig, Germany, 2022. [Google Scholar] [CrossRef]
  14. Strojny, J.; Nowak, J.S. Principles of substrate quality assessment in the EU countries. Zesz. Probl. Post. Nauk Roln. 2005, 504, 283–297. [Google Scholar]
  15. Zaller, J.G. Vermicompost as a substitute for peat in potting media: Effects on germination, biomass allocation, yields and fruit quality of three tomato varieties. Sci. Hortic. 2007, 112, 191–199. [Google Scholar] [CrossRef]
  16. Regulation (EU) 2019/1009 of the European Parliament and of the Council of 5 June 2019 Laying Down Rules on the Making Available on the Market of EU Fertilising Products and Amending Regulations (EC) No 1069/2009 and (EC) No 1107/2009 and Repealing Regulation (EC) No 2003/2003 (Text with EEA Relevance). Available online: https://www.legislation.gov.uk/eur/2019/1009/contents# (accessed on 19 March 2023).
  17. Łobanowski, G. Integrated Broccoli Production Methods, 2nd ed.; Plant Health and Seed Inspection Service PIORIN: Warsaw, Poland, 2020. (In Polish)
  18. Act of 8 March 2013 on Plant Protection Products. Journal of Laws of 2019, Item 1900, Art. 57 Sec. 2 Point 2. (In Polish). Available online: https://www.prawo.pl/akty/dz-u-2023-340-t-j,17976110.html (accessed on 19 March 2023).
  19. Hollas, Gardening Substrates. Available online: http://dabest.pl/attachments/article/106/Pod%C5%82o%C5%BCa%20ogrodnicze%20i%20inne%20produkty%20HOLLAS.pdf (accessed on 20 December 2022).
  20. Agrios, G.N. Plant Pathology, 5th ed.; Elsevier Academic Press: Amsterdam, The Netherlands, 2005. [Google Scholar] [CrossRef]
  21. Walters, D.; Walsh, D.; Newton, A.; Lyon, G. Induced resistance for plant disease control: Maximizing the efficacy of resistance elicitors. Phytopathology 2005, 95, 1368–1373. [Google Scholar] [CrossRef] [PubMed]
  22. Venegas-Molina, J.; Proietti, S.; Pollier, J.; Orozco-Freire, V.; Ramirez-Villacis, D.; Leon-Reyes, A. Induced tolerance to abiotic and biotic stresses of broccoli and Arabidopsis after treatment with elicitor molecules. Sci. Rep. 2020, 10, 10319. [Google Scholar] [CrossRef]
  23. Kowalski, A. Rational Fertilization of Head Cabbage; InHort Instytut Ogrodnictwa: Skierniewice, Poland, 2020. (In Polish) [Google Scholar]
  24. Michelon, N.; Pennisi, G.; Myint, N.O.; Orsini, F.; Gianquinto, G. Optimization of substrate and nutrient solution strength for lettuce and Chinese cabbage seedling production in the semi-arid environment of central Myanmar. Horticulturae 2021, 7, 64. [Google Scholar] [CrossRef]
  25. Chrysargyris, A.; Xylia, P.; Akinci, G.; Moustakas, K.; Tzortzakis, N. Printed paper waste as an alternative growing medium component to produce Brassica seedlings under nursery conditions. Sustainability 2020, 12, 5992. [Google Scholar] [CrossRef]
  26. Aquino, L.A.; Puiatti, M.; Pereira, P.R.G.; Pereira, F.H.F.; Ladeira, I.R.; Castro, M.R.S. Effect of spacing and doses of nitrogen on the qualitative characteristics of the yield of cabbage. Hortic. Bras. 2005, 23, 100–104. [Google Scholar] [CrossRef][Green Version]
  27. Filgueira, F.A.R. Novo Manual de Olericultura: Agrotecnologia Moderna na Producao e Comercializacao de Hortalicas, 3rd ed.; UFV Edicao: Viçosa, Brazil, 2008. (In Portuguese) [Google Scholar]
  28. Taiz, L.; Zeiger, E.; Santarem, E.R. Plant Physiology, 4th ed.; Artmed: Porto Alegre, Brazil, 2009. [Google Scholar]
  29. Babik, I. Effect of pot size and fertigation for the growth of vegetable seedlings and yield of plants in the field. Zesz. Probl. Post. Nauk Roln. 2002, 485, 15–28. [Google Scholar]
  30. Mitchell, E.; Frisbie, S.H.; Moral, M.T. Emergence and growth of cabbage seedlings in plastic, peat, paper, and newspaper containers. Cogent Food Agric. 2017, 3, 1326444. [Google Scholar] [CrossRef]
  31. Maselesele, D.; Ogola, J.B.O.; Murovhi, R.N. Nutrient uptake and yield of Chinese cabbage (Brassica rapa L. Chinensis) increased with application of macadamia husk compost. Horticulturae 2022, 8, 196. [Google Scholar] [CrossRef]
  32. Islam, M.M.; Karim, A.J.; Jahiruddin, M.; Majid, N.K.; Miah, M.G.; Ahmed, M.M.; Hakim, M.A. Effect of organic manure and chemical fertilizers on crops in radish-stem amaranth-Indian spinach cropping pattern in homestead area. Aust. J. Crop Sci. 2011, 5, 1370–1378. [Google Scholar]
  33. Liu, C.H.; Liu, Y.; Fan, C.; Kuang, S.Z. The effect of composted pineapple residue return on soil properties and the growth and yield of pineapple. J. Soil Sci. Plant Nutr. 2013, 13, 433–444. [Google Scholar] [CrossRef]
  34. Kiran, M.; Jilani, M.S.; Waseem, K.; Sohail, M. Effect of organic manures and inorganic fertilizers on growth and yield of radish (Raphanus sativus L.). Pak. J. Agric. Res. 2016, 29, 363–372. [Google Scholar]
  35. Rady, M.M.; Semida, W.M.; Hemida, K.A.; Abdelhamid, M.T. The effect of compost on growth and yield of Phaseolus vulgaris plants grown under saline. Int. J. Recycl. Org. Waste Agric. 2016, 5, 311–321. [Google Scholar] [CrossRef]
  36. Chimphango, S.B.M.; Ogola, J.B.O.; Maseko, S.; MacAlister, D.; Makonya, G.M. Balanced allocation of resources for acquisition of water and nutrients in field legumes. S. Afr. J. Bot. 2018, 115, 281–282. [Google Scholar] [CrossRef]
  37. Sikorska-Zimny, K. Health promoting constituents of Brassica vegetables. Nowości Warzywnicze 2010, 51, 51–63. (In Polish) [Google Scholar]
  38. Antonkiewicz, J.; Wiśniowska-Kielian, B.; Baczek-Kwinta, R. Macroelements content in white cabbages cultivars cultivated in chemically polluted soils. Soil-Water J. 2013, 2, 785–792. [Google Scholar]
  39. Grabowska, A.; Sękara, A.; Kunicki, E.; Kalisz, A. Content of macroelements in index part of broccoli in relation to cultivation method and sparing. Acta Agroph. 2013, 20, 295–314. [Google Scholar]
  40. Li, Z.; Zheng, S.; Liu, Y.; Fang, Z.; Yang, L.; Zhuang, M.; Zhang, Y.; Lv, H.; Wang, Y.; Xu, D. Characterization of glucosinolates in 80 broccoli genotypes and different organs using UHPLC-Triple-TOF-MS method. Food Chem. 2021, 334, 127519. [Google Scholar] [CrossRef]
  41. Pant, Y.; Lingwan, M.; Masakapalli, S.K. Metabolic, biochemical, mineral and fatty acid profiles of edible Brassicaceae microgreens establish them as promising functional food. bioRxiv 2023. [Google Scholar] [CrossRef]
  42. Chrysargyris, A.; Antoniou, O.; Xylia, P.; Petropoulos, S.; Tzortzakis, N. The use of spent coffee grounds in growing media for the production of Brassica seedlings in nurseries. Environ. Sci. Pollut. Res. 2021, 28, 24279–24290. [Google Scholar] [CrossRef] [PubMed]
  43. Soetan, K.O.; Olaiya, C.O.; Oyewole, O.E. The importance of mineral elements for humans, domestic animals and plants: A review. Afr. J. Food Sci. 2010, 4, 200–222. [Google Scholar]
  44. Daničić, M.; Maksimović, I.; Putnik-Delić, M.; Ilin, Ž. The concentration of microelements in field-grown Brassica species under different fertilization treatments. Acta Hortic. 2021, 1320, 241–246. [Google Scholar] [CrossRef]
  45. Demir, H.; Polat, E. Effects of different growing media on seedling quality and nutrient contents in cabbage (Brassica oleraceae var. capitata L.). J. Food Agric. Environ. 2014, 12, 1378–1381. [Google Scholar]
  46. Godlewska, K.; Pacyga, P.; Michalak, I.; Biesiada, A.; Szumny, A.; Pachura, N.; Piszcz, U. Effect of botanical extracts on the growth and nutritional quality of field-grown white head cabbage (Brassica oleracea var. capitata). Molecules 2021, 26, 1992. [Google Scholar] [CrossRef]
Figure 1. Brassica seedlings.
Figure 1. Brassica seedlings.
Applsci 13 09124 g001
Figure 2. The influence of the tested substrates on the biometric parameters of seedlings of the analyzed Brassica species: a–h—various letters denote significant differences at p < 0.05 (Tukey’s test).
Figure 2. The influence of the tested substrates on the biometric parameters of seedlings of the analyzed Brassica species: a–h—various letters denote significant differences at p < 0.05 (Tukey’s test).
Applsci 13 09124 g002
Figure 3. Leaves and roots of Brassica vegetables grown on different substrates: (a) broccoli, (b) cauliflower, (c) white cabbage; 0—control substrate, I—PRO1, II—PRO2, III—PRO3.
Figure 3. Leaves and roots of Brassica vegetables grown on different substrates: (a) broccoli, (b) cauliflower, (c) white cabbage; 0—control substrate, I—PRO1, II—PRO2, III—PRO3.
Applsci 13 09124 g003
Figure 4. The influence of the tested substrates on the macronutrient content of leaves in seedlings of the analyzed Brassica species: a–h—various letters denote significant differences at p < 0.05 (Tukey’s test).
Figure 4. The influence of the tested substrates on the macronutrient content of leaves in seedlings of the analyzed Brassica species: a–h—various letters denote significant differences at p < 0.05 (Tukey’s test).
Applsci 13 09124 g004
Figure 5. The influence of the tested substrates on the micronutrient content of leaves in seedlings of the analyzed Brassica species: a–k—various letters denote significant differences at p < 0.05 (Tukey’s test).
Figure 5. The influence of the tested substrates on the micronutrient content of leaves in seedlings of the analyzed Brassica species: a–k—various letters denote significant differences at p < 0.05 (Tukey’s test).
Applsci 13 09124 g005
Table 1. Physical and chemical properties of the substrates analyzed in the experiment.
Table 1. Physical and chemical properties of the substrates analyzed in the experiment.
SubstratepH-H2OConductivitySalinityN-NO3PKMgN-NH4
(mS cm−1)(g NaCl dm−3)(mg dm−3)(mg dm−3)(mg dm−3)(mg dm−3)(mg dm−3)
Control6.550.941.431211052351430130
PRO15.600.801.221078520672081
PRO25.620.861.301338720075069
PRO35.931.041.581295915086030
Table 2. p-value in ANOVA of the biometric parameters of seedlings of the analyzed Brassica species.
Table 2. p-value in ANOVA of the biometric parameters of seedlings of the analyzed Brassica species.
FactorSPADPlant HeightNumber of LeavesLeaf MassRoot Mass
Substrate (A)<0.001<0.0010.4220.1590.156
Species (B)0.1170.0560.017<0.001<0.001
Interaction (A × B)<0.001<0.0010.107<0.001<0.001
Table 3. p-value in ANOVA of the macronutrient content of leaves in seedlings of the analyzed Brassica species.
Table 3. p-value in ANOVA of the macronutrient content of leaves in seedlings of the analyzed Brassica species.
FactorNpKMgCa
Substrate (A)<0.001<0.0010.4540.4750.004
Species (B)0.0020.4260.003<0.0010.080
Interaction (A × B)<0.001<0.001<0.001<0.001<0.001
Table 4. p-value in ANOVA of the micronutrient content of leaves in seedlings of the analyzed Brassica species.
Table 4. p-value in ANOVA of the micronutrient content of leaves in seedlings of the analyzed Brassica species.
FactorCuFeMnZnB
Substrate (A)<0.0010.2970.0030.1450.065
Species (B)0.0070.0260.114<0.001<0.001
Interaction (A × B)<0.001<0.001<0.001<0.001<0.001
Disclaimer/Publisher’s Note: The statements, opinions and data contained in all publications are solely those of the individual author(s) and contributor(s) and not of MDPI and/or the editor(s). MDPI and/or the editor(s) disclaim responsibility for any injury to people or property resulting from any ideas, methods, instructions or products referred to in the content.

Share and Cite

MDPI and ACS Style

Jadwisieńczak, K.K.; Majkowska-Gadomska, J.; Francke, A.; Kaliniewicz, Z. An Evaluation of the Physical and Chemical Parameters in Brassica Seedlings Grown on Various Organic Substrates. Appl. Sci. 2023, 13, 9124. https://doi.org/10.3390/app13169124

AMA Style

Jadwisieńczak KK, Majkowska-Gadomska J, Francke A, Kaliniewicz Z. An Evaluation of the Physical and Chemical Parameters in Brassica Seedlings Grown on Various Organic Substrates. Applied Sciences. 2023; 13(16):9124. https://doi.org/10.3390/app13169124

Chicago/Turabian Style

Jadwisieńczak, Krzysztof Konrad, Joanna Majkowska-Gadomska, Anna Francke, and Zdzisław Kaliniewicz. 2023. "An Evaluation of the Physical and Chemical Parameters in Brassica Seedlings Grown on Various Organic Substrates" Applied Sciences 13, no. 16: 9124. https://doi.org/10.3390/app13169124

APA Style

Jadwisieńczak, K. K., Majkowska-Gadomska, J., Francke, A., & Kaliniewicz, Z. (2023). An Evaluation of the Physical and Chemical Parameters in Brassica Seedlings Grown on Various Organic Substrates. Applied Sciences, 13(16), 9124. https://doi.org/10.3390/app13169124

Note that from the first issue of 2016, this journal uses article numbers instead of page numbers. See further details here.

Article Metrics

Back to TopTop