Modeling of a Digital Twin for Magnetic Bearings
Abstract
1. Introduction
2. Materials and Methods
2.1. Digital Twin
2.2. Electromagnetic Analysis
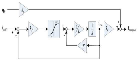
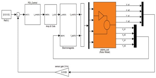
2.3. Modling of Digital Twin for Magnetic Bearing (MB)
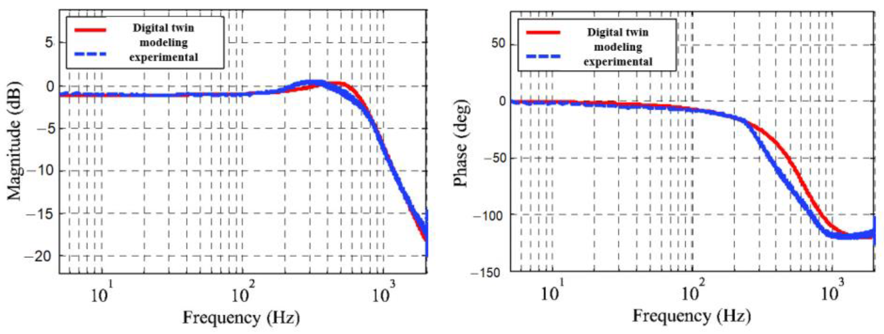
3. Results
4. Conclusions
Author Contributions
Funding
Institutional Review Board Statement
Informed Consent Statement
Data Availability Statement
Acknowledgments
Conflicts of Interest
References
- Slininger, T.S.; Chan, W.; Severson, E.L.; Jawdat, B. An Overview on Passive Magnetic Bearings. In Proceedings of the 2021 IEEE International Electric Machines and Drives Conference, IEMDC 2021, Hartford, CT, USA, 17–20 May 2021. [Google Scholar] [CrossRef]
- Schweitzer, G.; Maslen, E.H. Magnetic Bearings: Theory, Design, and Application to Rotating Machinery; Springer: Berlin/Heidelberg, Germany, 2009; pp. 1–535. [Google Scholar] [CrossRef]
- Štimac, G.; Braut, S.; Žigulić, R.; Skoblar, A. Modeling, design and control of a flexible rotor supported by active magnetic bearings. In Proceedings of the Institution of Mechanical Engineers–10th International Conference on Vibrations in Rotating Machinery, London, UK, 11–13 September 2012; pp. 419–426. [Google Scholar] [CrossRef]
- Barricelli, B.R.; Casiraghi, E.; Fogli, D. A survey on digital twin: Definitions, characteristics, applications, and design implications. IEEE Access 2019, 7, 167653–167671. [Google Scholar] [CrossRef]
- Digital Twin: Manufacturing Excellence through Virtual Factory Replication. Available online: https://www.researchgate.net/publication/275211047_Digital_Twin_Manufacturing_Excellence_through_Virtual_Factory_Replication (accessed on 1 May 2023).
- Kazim, I.J.; Tan, Y.; Li, R. Comparison Study of the PSO and SBPSO on Universal Robot Trajectory Planning. Appl. Sci. 2022, 12, 1518. [Google Scholar] [CrossRef]
- Šuster, P.; Jadlovská, A. Modeling and control design of magnetic levitation system. In Proceedings of the IEEE 10th Jubilee International Symposium on Applied Machine Intelligence and Informatics (SAMI), Herl’any, Slovakia, 26–28 January 2012; pp. 295–299. [Google Scholar] [CrossRef]
- Carpanzano, E.; Renna, P.; Kaiblinger, A.; Woschank, M. State of the Art and Future Directions of Digital Twins for Production Logistics: A Systematic Literature Review. Appl. Sci. 2022, 12, 669. [Google Scholar] [CrossRef]
- Liu, H.; Fang, J.; Liu, G. Implementation of active magnetic bearing digital controller. In Proceedings of the Sixth International Symposium on Instrumentation and Control Technology: Sensors, Automatic Measurement, Control, and Computer Simulation, Beijing, China, 8 November 2006; Volume 6358, p. 63581Z. [Google Scholar] [CrossRef]
- Saeed, N.A.F.; Mahrous, E.; Nasr, E.A.; Awrejcewicz, J. Nonlinear Dynamics and Motion Bifurcations of the Rotor Active Magnetic Bearings System with a New Control Scheme and Rub-Impact Force. Symmetry 2021, 13, 1502. [Google Scholar] [CrossRef]
- Falekas, G.; Karlis, A. Digital Twin in Electrical Machine Control and Predictive Maintenance: State-of-the-Art and Future Prospects. Energies 2021, 14, 5933. [Google Scholar] [CrossRef]
- Kazim, I.J.; Tan, Y.; Qaseer, L. Integration of DE Algorithm with PDC-APF for Enhancement of Contour Path Planning of a Universal Robot. Appl. Sci. 2021, 11, 6532. [Google Scholar] [CrossRef]
- Tao, F.; Zhang, M.; Liu, Y.; Nee, A.Y.C. Digital twin driven prognostics and health management for complex equipment. CIRP Ann. 2018, 67, 169–172. [Google Scholar] [CrossRef]
- Qiao, Q.; Wang, J.; Ye, L.; Gao, R.X. Digital Twin for Machining Tool Condition Prediction. Procedia CIRP 2019, 81, 1388–1393. [Google Scholar] [CrossRef]
- Cheng, Y.; Lin, M.; Wu, J.; Zhu, H.; Shao, X. Intelligent fault diagnosis of rotating machinery based on continuous wavelet transform-local binary convolutional neural network. Knowl. Based Syst. 2021, 216, 106796. [Google Scholar] [CrossRef]
- Dong, Q.; Sun, Y.; Li, P. A novel forecasting model based on a hybrid processing strategy and an optimized local linear fuzzy neural network to make wind power forecasting: A case study of wind farms in China. Renew. Energy 2017, 102, 241–257. [Google Scholar] [CrossRef]
- Zhang, H.; Liu, Q.; Chen, X.; Zhang, D.; Leng, J. A Digital Twin-Based Approach for Designing and Multi-Objective Optimization of Hollow Glass Production Line. IEEE Access 2017, 5, 26901–26911. [Google Scholar] [CrossRef]
- Mudassar, R.; Zailin, G.; Jabir, M.; Lei, Y.; Hao, W. Digital Twin-Based Smart Manufacturing System for Project-Based Organizations: A Conceptual Framework. Available online: https://www.researchgate.net/profile/Mudassar-Rauf/publication/336716177_DIGITAL_TWIN-BASED_SMART_MANUFACTURING_SYSTEM_FOR_PROJECT-BASED_ORGANIZATIONS_A_CONCEPTUAL_FRAMEWORK/links/5db002c3a6fdccc99d92eb1a/DIGITAL-TWIN-BASED-SMART-MANUFACTURING-SYSTEM-FOR-PROJECT-BASED-ORGANIZATIONS-A-CONCEPTUAL-FRAMEWORK.pdf (accessed on 24 June 2023).
- Mumtaz, J.; Guan, Z.; Rauf, M.; Yue, L.; He, C.; Wang, H. A conceptual framework of smart manufacturing for pcb industries. In Proceedings of the International Conference on Computers and Industrial Engineering, Auckland, New Zealand, 2–5 December 2018. [Google Scholar]
- Liu, M.; Mumtaz, J.; Li, G. Multi-Level Rolling Horizon Planning and Scheduling Integrated with Material Constraints using DBR Approach: A Heuristic for Smart Manufacturing. In Proceedings of the 2022 5th World Conference on Mechanical Engineering and Intelligent Manufacturing (WCMEIM), Maanshan, China, 18–20 November 2022; pp. 1192–1197. [Google Scholar] [CrossRef]
- Tao, F.; Cheng, J.; Qi, Q.; Zhang, M.; Zhang, H.; Sui, F. Digital twin-driven product design, manufacturing and service with big data. Int. J. Adv. Manuf. Technol. 2018, 94, 3563–3576. [Google Scholar] [CrossRef]
- Fu, Y.; Zhu, G.; Zhu, M.; Xuan, F. Digital Twin for Integration of Design-Manufacturing-Maintenance: An Overview. Chin. J. Mech. Eng. 2022, 35, 80. [Google Scholar] [CrossRef]
- Tao, F.; Sui, F.; Liu, A.; Qi, Q.; Zhang, M.; Song, B.; Guo, Z.; Lu, S.C.-Y.; Nee, A.Y.C. Digital twin-driven product design framework. Int. J. Prod. Res. 2019, 57, 3935–3953. [Google Scholar] [CrossRef]
- Wang, J.; Ye, L.; Gao, R.X.; Li, C.; Zhang, L. Digital Twin for rotating machinery fault diagnosis in smart manufacturing. Int. J. Prod. Res. 2019, 57, 3920–3934. [Google Scholar] [CrossRef]
- Taha, O.W.; Abdulateef, O.F. Surface Roughness Prediction in Turning Process by Applying Computer Vision Method. IIUM Eng. J. 2021, 22, 249–260. [Google Scholar] [CrossRef]
- Ma, X.; Zheng, S.; Wang, K. Active surge control for magnetically suspended centrifugal compressors using a variable equilibrium point approach. IEEE Trans. Ind. Electron. 2019, 66, 9383–9393. [Google Scholar] [CrossRef]
- VanDerHorn, E.; Mahadevan, S. Digital Twin: Generalization, characterization and implementation. Decis. Support Syst. 2021, 145, 113524. [Google Scholar] [CrossRef]
- DJones; Snider, C.; Nassehi, A.; Yon, J.; Hicks, B. Characterising the Digital Twin: A systematic literature review. CIRP J. Manuf. Sci. Technol. 2020, 29, 36–52. [Google Scholar] [CrossRef]
- Kritzinger, W.; Karner, M.; Traar, G.; Henjes, J.; Sihn, W. Digital Twin in manufacturing: A categorical literature review and classification. IFAC-PapersOnLine 2018, 51, 1016–1022. [Google Scholar] [CrossRef]
- Cai, Y.; Starly, B.; Cohen, P.; Lee, Y.S. Sensor Data and Information Fusion to Construct Digital-twins Virtual Machine Tools for Cyber-physical Manufacturing. Procedia Manuf. 2017, 10, 1031–1042. [Google Scholar] [CrossRef]
- Tao, F.; Zhang, H.; Liu, A.; Nee, A.Y.C. Digital Twin in Industry: State-of-the-Art. IEEE Trans. Ind. Inf. 2019, 15, 2405–2415. [Google Scholar] [CrossRef]
- Xia, M.; Shao, H.; Williams, D.; Lu, S.; Shu, L.; de Silva, C.W. Intelligent fault diagnosis of machinery using digital twin-assisted deep transfer learning. Reliab. Eng. Syst. Saf. 2021, 215, 107938. [Google Scholar] [CrossRef]
- Hochhalter, J.; Leser, W.P.; Newman, J.A.; Gupta, V.K.; Yamakov, V.; Cornell, S.R.; Willard, S.A.; Heber, G. Coupling Damage-Sensing Particles to the Digitial Twin Concept; NASA: Washington, DC, USA, 2014.
- Gabor, T.; Belzner, L.; Kiermeier, M.; Beck, M.T.; Neitz, A. A simulation-based architecture for smart cyber-physical systems. In Proceedings of the 2016 IEEE International Conference on Autonomic Computing (ICAC), Wuerzburg, Germany, 17–22 July 2016; pp. 374–379. [Google Scholar] [CrossRef]
- Wagg, D.J.; Worden, K.; Barthorpe, R.J.; Gardner, P. Digital twins: State-of-the-art and future directions for modeling and simulation in engineering dynamics applications. ASME J. Risk Uncertain. Eng. Syst. B Mech. Eng. 2020, 6, 030901. [Google Scholar] [CrossRef]
- Uhlemann, T.H.J.; Lehmann, C.; Steinhilper, R. The Digital Twin: Realizing the Cyber-Physical Production System for Industry 4.0. Procedia CIRP 2017, 61, 335–340. [Google Scholar] [CrossRef]
- Nikolakis, N.; Alexopoulos, K.; Xanthakis, E.; Chryssolouris, G. The digital twin implementation for linking the virtual representation of human-based production tasks to their physical counterpart in the factory-floor. Int. J. Comput. Integr. Manuf. 2018, 32, 1–12. [Google Scholar] [CrossRef]
- Alam, K.M.; El Saddik, A. C2PS: A digital twin architecture reference model for the cloud-based cyber-physical systems. IEEE Access 2017, 5, 2050–2062. [Google Scholar] [CrossRef]
- Glaessgen, E.H.; Stargel, D.S. The digital twin paradigm for future NASA and U.S. Air force vehicles. Collection of Technical Papers. In Proceedings of the AIAA/ASME/ASCE/AHS/ASC Structures, Structural Dynamics and Materials Conference, Honolulu, HI, USA, 23–26 April 2012. [Google Scholar] [CrossRef]
- Peng, F.; Zheng, L.; Peng, Y.; Fang, C.; Meng, X. Digital Twin for Rolling Bearings: A Review of Current Simulation and PHM Techniques; Elsevier: Amsterdam, The Netherland, 2022; Available online: https://www.sciencedirect.com/science/article/pii/S0263224122009332 (accessed on 25 February 2023).
- Yu, Y.; Yang, Z.; Han, C.; Liu, H. Active vibration control of magnetically suspended wheel using active shaft deflection. IEEE Trans. Ind. Electron. 2017, 64, 6528–6537. [Google Scholar] [CrossRef]
- Liu, Y.; Jiang, S.; Liang, W.; Wang, H.; Peng, J. Modeling and Design of the Magnetic Integration of Single-and Multi-Stage EMI Filters. IEEE Trans. Power Electron. 2020, 35, 276–288. [Google Scholar] [CrossRef]
- Schluse, M.; Priggemeyer, M.; Atorf, L.; Rossmann, J. Experimentable Digital Twins-Streamlining Simulation-Based Systems Engineering for Industry 4.0. IEEE Trans. Ind. Inf. 2018, 14, 1722–1731. [Google Scholar] [CrossRef]
- Tao, F.; Qi, Q.; Liu, A.; Kusiak, A. Data-driven smart manufacturing. J. Manuf. Syst. 2018, 48, 157–169. [Google Scholar] [CrossRef]
























| Parameter | Value |
|---|---|
| Height of the stack | 20 mm |
| Shaft diameter | 24 mm |
| Operating air gap | 1 mm (radial) |
| The outer diameter of the MB | 100 mm |
| The inner diameter of the MB | 31 mm |
| Symbol | Meaning | Value | Units |
|---|---|---|---|
| m | Mass of rotor | 24.26 | kg |
| Iz | Inertia of rotor in z axis | 0.04525 | kgm2 |
| Ix = Iy | Inertia of the rotor in x, and y axis | 0.67388 | kgm2 |
| a | Position of Bearing A | −0.2607 | m |
| c | Sensor position of bearing A | −0.1107 | m |
| ksA | Position stiffness of bearing A | −3.4 × 106 | N/m |
| KiA | Current stiffness of bearing A | 765 | N/A |
| b | Position of Bearing B | 0.2883 | m |
| d | Sensor position of bearing B | 0.1373 | m |
| ksB | Position stiffness of bearing B | −3.4 × 106 | N/m |
| KiB | Current stiffness of bearing B | 765 | N/A |
| Symbol | Meaning | Value | Units |
|---|---|---|---|
| kP | Proportional control gain | 0.4 | A/V |
| ks | Sensor gain | 0.02 | V/μm |
| kI | Integral control gain | 0.1 | A/V |
| kPi | Proportional control gain | 45 | V/A |
| Vdc | DC link voltage | 124 | V |
| imax | Bias current of a magnet coil | 1.4 | A |
| ωD | Derivative control gain | 243 | rad/s |
| L | Inductance of a magnet coil | 124 | mH |
| R | Resistance of a magnet coil | 0.453 | ohm |
Disclaimer/Publisher’s Note: The statements, opinions and data contained in all publications are solely those of the individual author(s) and contributor(s) and not of MDPI and/or the editor(s). MDPI and/or the editor(s) disclaim responsibility for any injury to people or property resulting from any ideas, methods, instructions or products referred to in the content. |
© 2023 by the authors. Licensee MDPI, Basel, Switzerland. This article is an open access article distributed under the terms and conditions of the Creative Commons Attribution (CC BY) license (https://creativecommons.org/licenses/by/4.0/).
Share and Cite
Taha, O.W.; Hu, Y. Modeling of a Digital Twin for Magnetic Bearings. Appl. Sci. 2023, 13, 8534. https://doi.org/10.3390/app13148534
Taha OW, Hu Y. Modeling of a Digital Twin for Magnetic Bearings. Applied Sciences. 2023; 13(14):8534. https://doi.org/10.3390/app13148534
Chicago/Turabian StyleTaha, Omer W., and Yefa Hu. 2023. "Modeling of a Digital Twin for Magnetic Bearings" Applied Sciences 13, no. 14: 8534. https://doi.org/10.3390/app13148534
APA StyleTaha, O. W., & Hu, Y. (2023). Modeling of a Digital Twin for Magnetic Bearings. Applied Sciences, 13(14), 8534. https://doi.org/10.3390/app13148534

