Effects of Tin and Sulfur Chemical Substitution on the Structural and Electrical Properties of CuCr2Se4 Selenospinel
Abstract
1. Introduction
2. Materials and Methods
3. Results and Discussion
3.1. Crystal Structure Analysis, PXRD Patterns, and SEM-EDS Analyses
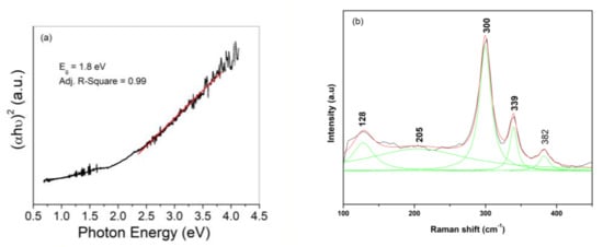
3.2. Electrical and Optical Properties, Raman Scattering and DFT Calculations
4. Conclusions
Supplementary Materials
Author Contributions
Funding
Institutional Review Board Statement
Informed Consent Statement
Data Availability Statement
Acknowledgments
Conflicts of Interest
References
- Ramirez, A.P.; Cava, R.J.; Krajewski, J. Colossal magnetoresistance in Cr-based chalcogenide spinels. Nature 1997, 386, 156–159. [Google Scholar] [CrossRef]
- Krohns, S.; Schrettle, F.; Lunkenheimer, P.; Tsurkan, V.; Loidl, A. Colossal magnetocapacitive effect in differently synthesized and doped CdCr2S4. Phys. B Condens. Matter 2008, 403, 4224–4227. [Google Scholar] [CrossRef][Green Version]
- Fujimoto, Y.; Fujita, T.; Mitsudo, S.; Idehara, T.; Kawashima, Y.; Nagata, S. High-frequency ESR studies of colossal magnetoresistance system Cu(Cr1-xZrx)2S4. J. Magn. Magn. Mater. 2007, 310, 1991–1993. [Google Scholar] [CrossRef]
- Ozel, F.; Kılıc, H.S.; Coskun, H.; Deveci, I.; Sarılmaz, A.; Balıkcıoglu, A.; Gundogdu, Y.; Aljabour, A.; Ozen, A.; Gezgin, S.Y.; et al. A general review on the thiospinels and their energy applications. Mater. Today Energy 2021, 21, 100822. [Google Scholar] [CrossRef]
- Barahona, P.; Galdámez, A.; López-Vergara, F.; Manríquez, V.; Peña, O. Crystal structure and magnetic properties of titanium-based CuTi2-xMxS4 and CuCr2-xTixSe4 chalcospinels. J. Solid State Chem. 2014, 212, 114–120. [Google Scholar] [CrossRef]
- Pinto, C.; Galdámez, A.; Barahona, P.; Moris, S.; Peña, O. Crystal structure, Raman scattering and magnetic properties of CuCr2−xZrxSe4 and CuCr2−xSnxSe4 selenospinels. J. Magn. Magn. Mater. 2018, 456, 160–166. [Google Scholar] [CrossRef]
- Valencia-Gálvez, P.; Peña, O.; Moris, S.; Barahona, P. Raman characterization of CuCr2-xSnxS4 spinels. J. Chil. Chem. Soc. 2019, 64, 4285–4289. [Google Scholar] [CrossRef]
- Moris, S.; Barahona, P.; Galdámez, A. Crystal structure of (Cu0.51In0.49)tet[Cr1.74In0.26]octSe4 selenospinel, Cu0.51In0.75Cr1.74Se4. Z. Kristallogr. NCS 2019, 234, 421–422. [Google Scholar] [CrossRef]
- Sickafus, K.E.; Wills, J.M.; Grimes, N.W. Structure of Spinel. J. Am. Ceram. Soc. 1999, 82, 3279–3292. [Google Scholar] [CrossRef]
- Biagioni, C.; Pasero, M. The systematics of the spinel-type minerals: An overview. Am. Mineral. 2014, 99, 1254–1264. [Google Scholar] [CrossRef]
- Iijma, Y.; Kamei, Y.; Kobayashi, N.; Awaka, J.; Iwasa, T.; Ebisu, S.; Chikazawa, S.; Nagata, S. A new ferromagnetic thiospinel CuCrZrS4 with re-entrant spin-glass behaviour. Philos. Mag. 2003, 83, 2521–2530. [Google Scholar] [CrossRef][Green Version]
- Moris, S.; Valencia-Gálvez, P.; Mejía-López, J.; Peña, O.; Barahona, P.; Galdámez, A. (Cu)tet(Cr2- xSnx)octS4-ySey Spinels: Crystal Structure, Density Functional Theory Calculations, and Magnetic Behavior. Inorg. Chem. 2019, 58, 13945–13952. [Google Scholar] [CrossRef] [PubMed]
- Kimura, A.; Matsuno, J.; Okabayashi, J.; Fujimori, A.; Shishidou, T.; Kulatov, E.; Kanomata, T. Soft X-ray magnetic circular dichroism study of the ferromagnetic spinel-type Cr chalcogenides. Phys. Rev. B 2001, 63, 224420. [Google Scholar] [CrossRef]
- Lotgering, F.K. Ferromagnetism in spinels: CuCr2S4 and CuCr2Se4. Solid State Commun. 1964, 2, 55–56. [Google Scholar] [CrossRef]
- Kariya, F.; Ebisu, S.; Nagata, S. Evolution from a ferromagnetic to a spin-glass regime in the spinel-type Cu(Cr1-xTix)2S4. J. Solid State Chem. 2009, 182, 608–616. [Google Scholar] [CrossRef][Green Version]
- Maciążek, E.; Molak, A.; Goryczka, T. Influence of cobalt substitution on structure and electric conduction of CuCr2Se4. J. Alloy. Compd. 2007, 441, 222–230. [Google Scholar] [CrossRef]
- Gogoowicz, M.; Juszczyk, S.; Warczewski, J.; Mydlarz, T. Ferrimagnetism of Cu0.45Co0.55Cr2S4-ySey. Phys. Rev. B 1987, 35, 7073–7080. [Google Scholar] [CrossRef]
- Li, R.; Qu, Z.; Zhang, L.; Ling, L.; Tong, W.; Zhang, Y. Structure, magnetic and transport properties of Li-doped CuCr2Se4. Solid State Commun. 2010, 150, 2289–2293. [Google Scholar] [CrossRef]
- Koroleva, L.I. Antiferron states of charge carriers in the ferromagnetic semiconductors CuCr2S4-xSex (0.5 <x <1.5) with Curie points above room temperature. J. Exp. Theor. Phys. 1994, 79, 153–162. [Google Scholar]
- Tsuji, S.; Kumagai, K.; Matsumoto, N.; Nagata, S. Metal-insulator transition in the spinel CuIr2(S1-xSex)4 system studied by NMR. Phys. C Supercond. Its Appl. 1997, 282, 1107–1108. [Google Scholar] [CrossRef]
- Furubayashi, T.; Suzuki, H.; Kobayashi, N.; Nagata, S. Large negative magnetoresistance in thiospinel CuCrZrS4. Solid State Commun. 2004, 131, 505–508. [Google Scholar] [CrossRef][Green Version]
- Kim, S.J.; Kim, W.C.; Sur, J.C.; Kim, C.S. Magnetic and electron transport properties in Co0.1Fe0.9Cr2S4. J. Magn. Magn. Mater. 2002, 239, 100–102. [Google Scholar] [CrossRef]
- Bourgès, C.; Srinivasan, B.; Fontaine, B.; Sauerschnig, P.; Minard, A.; Halet, J.F.; Miyazaki, Y.; Berthebaud, D.; Mori, T. Tailoring the thermoelectric and structural properties of Cu-Sn based thiospinel compounds [CuM1+XSn1-xS4(M = Ti, V, Cr, Co)]. J. Mater. Chem. C 2020, 8, 16368–16383. [Google Scholar] [CrossRef]
- Maciążek, E.; Malicka, E.; Gągor, A.; Stokłosa, Z.; Groń, T.; Sawicki, B.; Duda, H.; Gudwański, A. Semiconducting-metallic transition of singlecrystalline ferromagnetic Hf-doped CuCr2Se4 spinels. Phys. B Condens. Matter 2017, 520, 116–122. [Google Scholar] [CrossRef]
- Bruker Analytical X-ray Instruments Inc. SMART, SAINTPLUS V6.02, SHELXTL V6.10 and SADABS; Bruker Analytical X-ray Instruments Inc.: Madison, WI, USA, 2015. [Google Scholar]
- Sheldrick, G.M.; SHELXL-97. Program for the Refinement of Crystal Structures; University of Göttingen: Stuttgart, Germany; Göttingen, Germany, 1997. [Google Scholar]
- Dolomanov, O.V.; Bourhis, L.J.; Gildea, R.J.; Howard, J.A.K.; Puschmann, H. OLEX2: A complete structure solution, refinement and analysis program. J. Appl. Crystallogr. 2009, 42, 339–341. [Google Scholar] [CrossRef]
- Jean Laugier et Bernard Bochu. CHEKCELL, Développed at Laboratoire des Matériaux et du Génie Physique Ecole Nationale Supérieure de Physique de Grenoble (INPG) Domaine Universitaire BP 46, 38402 Saint Martin d’Hères France. Available online: http://www.ccp14.ac.uk/tutorial/lmgp/ (accessed on 1 September 2021).
- Lutterotti, L. Total pattern fitting for the combined size–strain–stress–texture determination in thin film diffraction. Nucl. Inst. Methods Phys. Res. B 2010, 268, 334–340. [Google Scholar] [CrossRef]
- Blum, V.; Gehrke, R.; Hanke, F.; Havu, P.; Havu, V.; Ren, X.; Reuter, K.; Scheffler, M. Ab initio molecular simulations with numeric atom-centered orbitals. Comput. Phys. Commun. 2009, 180, 2175–2196. [Google Scholar] [CrossRef]
- Tkatchenko, A.; Scheffler, M. Accurate Molecular Van Der Waals Interactions from Ground-State Electron Density and Free-Atom Reference Data. Phys. Rev. Lett. 2009, 102, 73005. [Google Scholar] [CrossRef]
- Perdew, J.P.; Burke, K.; Ernzerhof, M. Generalized Gradient Approximation Made Simple. Phys. Rev. Lett. 1996, 77, 3865–3868. [Google Scholar] [CrossRef]
- Riedel, E.; Morlock, W. Spinelle mit substituierten Nichtmetallteilgittern VI Röntgenographische und elektronische Eigenschaften, Möβbauer- und IR-Spektren des Spinellsystems CuCrSn(S1-xSex)4. Z. Anorg. Allg. Chem. 1978, 438, 233–241. [Google Scholar] [CrossRef]
- Mähl, D.; Pickardt, J.; Reuter, B. Züchtung und Untersuchung von Einkristallen der Verbindungen CuCrZrSe4 und CuCrSnSe4. Z. Anorg. Allg. Chem. 1984, 508, 197–200. [Google Scholar] [CrossRef]
- Pyykkö, P. Refitted tetrahedral covalent radii for solids. Phys. Rev. B 2012, 85, 024115. [Google Scholar] [CrossRef]
- Khan, A.U.; Al Orabi, R.A.R.; Pakdel, A.; Vaney, J.B.; Fontaine, B.; Gautier, R.; Halet, J.F.; Mitani, S.; Mori, T. Sb Doping of Metallic CuCr2S4 as a Route to Highly Improved Thermoelectric Properties. Chem. Mater. 2017, 29, 2988–2996. [Google Scholar] [CrossRef]
- Ramasamy, K.; Sims, H.; Gupta, R.K.; Kumar, D.; Butler, W.H.; Gupta, A. CoxCu1–xCr2S4 Nanocrystals: Synthesis, Magnetism, and Band Structure Calculations. Chem. Mater. 2013, 25, 4003–4009. [Google Scholar] [CrossRef]
- Colominas, C. Neutron-Diffraction Investigation of CuCr2Se4 and CuCr2Te4. Phys. Rev. 1967, 153, 558–560. [Google Scholar] [CrossRef]




| CuCr1.1Sn0.9S2.3Se1.7 § | |
|---|---|
| Crystal data | |
| Crystal system, space group | Cubic, Fdm |
| a (Å) | 10.3578 (15) |
| V (Å3) | 1111.2 (5) |
| µ (mm−1) | 21.844 |
| Crystal size (mm) | 0.25 × 0.23 × 0.21 |
| Data collection | |
| Tmin, Tmin | 0.3119, 0.7485 |
| No. of measurements | 1152 |
| Rint, Rσ | 0.042, 0.039 |
| No. of independent reflections | 120 |
| (sin θ/λ)max (Å−1) | 0.747 |
| Refinement | |
| Refinement method | Full-matrix least-squares on F2 |
| No. of reflections | 111 |
| No. of parameters | 10 |
| Completeness to θ = 25.242° | 97.6% |
| R1[F2 > 2σ(F2)], R1 | 0.0249, 0.0266 |
| wR2(F2), wR2 | 0.0543, 0.0519 |
| Goodness-of-fit | 0.990 |
| Extinction coefficient | 0.0031 (3) |
| Δρmax, Δρmin (e Å−3) | 1.32, −0.71 |
| a (Å) | Rp | Rexp | |
|---|---|---|---|
| CuCr1.0Sn1.0S2.3Se1.7 | 10.370 (2) | 0.0616 | 0.0284 |
| CuCr1.4Sn0.6S2.3Se1.7 | 10.240 (2) | 0.0808 | 0.0285 |
| CuCr1.6Sn0.4S2.3Se1.7 | 10.180 (3) | 0.1254 | 0.0471 |
| CuCr1.0Sn1.0S1.7Se2.3 | 10.447 (2) | 0.1040 | 0.0283 |
| CuCr1.4Sn0.6S1.7Se2.3 | 10.322 (1) | 0.0755 | 0.0266 |
| CuCr1.6Sn0.4S1.7Se2.3 | 10.250 (1) | 0.0691 | 0.0261 |
| Conductivity (S/cm) | Carrier Concentration (cm−3) | Mobility (cm2/V·s) | Magneto-Resistance (Ω) | |
|---|---|---|---|---|
| CuCr1.0Sn1.0S2Se2 | 1.11 × 10−1 | +1.58 × 1020 | 9.13 × 10−3 | 6.70 × 10−3 |
| CuCr1.4Sn0.6S2.3Se1.7 | 23.9 | +1.90 × 1020 | 7.86 × 10−1 | 3.89 × 10−4 |
| CuCr1.6Sn0.4S2.3Se1.7 | 10.7 | +5.30 × 1019 | 1.89 | 5.45 × 10−4 |
| CuCr1.4Sn0.6S1.7Se2.3 | 9.04 | +3.48 × 1020 | 2.53 × 10−1 | 4.11 × 10−4 |
| CuCr1.6Sn0.4S1.7Se2.3 | 17.2 | +6.11 × 1020 | 2.18 × 10−1 | 3.69 × 10−4 |
| Model Stoichiometry | Reference Formula | a Exp (Å) | a Calc (Å) | σ |
|---|---|---|---|---|
| Cu8Cr8Sn8S16Se16 | Cu1Cr1Sn1S2Se2 | 10.398 § | 10.521 | 0.0197 |
| Cu8Cr8Sn8S19Se13 | Cu1Cr1Sn1S2.3Se1.7 | 10.370 | 10.465 | 0.0195 |
| Cu8Cr11Sn5S13Se19 | Cu1Cr1.4Sn0.6S1.7Se2.3 | 10.322 | 10.413 | 0.0170 |
| Cu8Cr11Sn5S19Se13 | Cu1Cr1.4Sn0.6S2.3Se1.7 | 10.24 | 10.307 | 0.0155 |
| Cu8Cr13Sn3S13Se19 | Cu1Cr1.6Sn0.4S1.7Se2.3 | 10.25 | 10.277 | 0.0499 |
| Cu8Cr13Sn3S19Se13 | Cu1Cr1.6Sn0.4S2.3Se1.7 | 10.18 | 10.197 | 0.0100 |
Publisher’s Note: MDPI stays neutral with regard to jurisdictional claims in published maps and institutional affiliations. |
© 2022 by the authors. Licensee MDPI, Basel, Switzerland. This article is an open access article distributed under the terms and conditions of the Creative Commons Attribution (CC BY) license (https://creativecommons.org/licenses/by/4.0/).
Share and Cite
Valencia-Gálvez, P.; Aravena, D.; Barahona, P.; Moris, S.; Galdámez, A. Effects of Tin and Sulfur Chemical Substitution on the Structural and Electrical Properties of CuCr2Se4 Selenospinel. Appl. Sci. 2022, 12, 1586. https://doi.org/10.3390/app12031586
Valencia-Gálvez P, Aravena D, Barahona P, Moris S, Galdámez A. Effects of Tin and Sulfur Chemical Substitution on the Structural and Electrical Properties of CuCr2Se4 Selenospinel. Applied Sciences. 2022; 12(3):1586. https://doi.org/10.3390/app12031586
Chicago/Turabian StyleValencia-Gálvez, Paulina, Daniel Aravena, Patricia Barahona, Silvana Moris, and Antonio Galdámez. 2022. "Effects of Tin and Sulfur Chemical Substitution on the Structural and Electrical Properties of CuCr2Se4 Selenospinel" Applied Sciences 12, no. 3: 1586. https://doi.org/10.3390/app12031586
APA StyleValencia-Gálvez, P., Aravena, D., Barahona, P., Moris, S., & Galdámez, A. (2022). Effects of Tin and Sulfur Chemical Substitution on the Structural and Electrical Properties of CuCr2Se4 Selenospinel. Applied Sciences, 12(3), 1586. https://doi.org/10.3390/app12031586

