Preliminary Evaluation of the Impact of Eurocode 8 Draft Revision on the Seismic Zonation of Romania
Abstract
:1. Introduction
2. Ground Motion Database
3. Derivation of Site-Specific Design Response Spectra
4. Evaluation of Design Response Spectra
5. Impact on Structural Design
6. Conclusions
- The spectral ordinates for rock conditions computed from two seismic hazard models (Pavel et al. [19] and ESHM 2020) are almost identical. Therefore, the preliminary findings from this study highlight the need for more analyses in order to calibrate the site amplification factors for sites exposed to Vrancea intermediate-depth earthquakes;
- The design response spectra computed for two soil category F sites (Bucharest and Banloc) fail to capture the intermediate- and long-period spectral amplifications observed in the ground motions recorded at these sites;
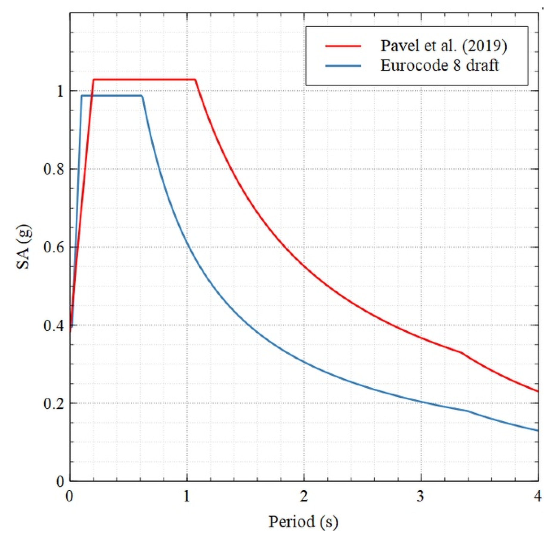
- The largest differences between the metrics computed using P100-1/2013 [15] and the Eurocode 8 draft revision [1] were obtained for the control period TC. In most cases (with the exception of Banloc), the approach from the Eurocode 8 draft revision [1] leads to higher spectral accelerations for short periods;
- The use of the design spectra computed based on the Eurocode 8 draft revision [1] in the areas exposed to Vrancea intermediate-depth earthquakes would lead to structures that have a lower structural safety level than the structures designed according to the current Romanian seismic design code P100-1/2013 [15], even though the mean return period of the seismic action increased;
- In the case of Bucharest, the maximum design spectral accelerations would correspond to those from the 2006 version of the seismic code P100-1/2006 [17], while the maximum design spectral displacements would be significantly smaller than the design values produced in the 1981 (P100-81 [24]) or 1992 (P100-92 [16]) versions of the code.
Author Contributions
Funding
Institutional Review Board Statement
Informed Consent Statement
Data Availability Statement
Acknowledgments
Conflicts of Interest
References
- CEN/TC 250/SC 8. Eurocode 8: Earthquake Resistance Design of Structures Work-Ing Draft 18.02.2021; CEN: Bruxelles, Belgium, 2021. [Google Scholar]
- Paolucci, R.; Aimar, M.; Ciancimino, A.; Dotti, M.; Foti, S.; Lanzano, G.; Mattevi, P.; Pacor, F.; Vanini, M. Checking the Site Categorization Criteria and Amplification Factors of the 2021 Draft of Eurocode 8 Part 1–1. Bull. Earthq. Eng. 2021, 19. [Google Scholar] [CrossRef]
- CEN. Eurocode 8: Design of Structures for Earthquake Resistance. Part 1: General Rules, Seismic Actions and Rules for Buildings; CEN: Bruxelles, Belgium, 2004. [Google Scholar]
- Rey, J.; Faccioli, E.; Bommer, J.J. Derivation of Design Soil Coefficients (S) and Response Spectral Shapes for Eurocode 8 Using the European Strong-Motion Database. J. Seismol. 2002, 6, 547–555. [Google Scholar] [CrossRef]
- Bala, A.; Radulian, M.; Toma-Danila, D. Present-Day Stress Field Pattern in the Vrancea Seismic Zone (Romania) Deduced from Earthquake Focal Mechanism Inversion. Ann. Geophys. 2021, 64, PE660. [Google Scholar] [CrossRef]
- Placinta, A.O.; Borleanu, F.; Popescu, E.; Radulian, M.; Munteanu, I. Earthquake Source Properties of a Lower Crust Sequence and Associated Seismicity Perturbation in the SE Carpathians, Romania, Collisional Setting. Acoustics 2021, 3, 270–296. [Google Scholar] [CrossRef]
- Petrescu, L.; Borleanu, F.; Radulian, M.; Ismail-Zadeh, A.; Maţenco, L. Tectonic Regimes and Stress Patterns in the Vrancea Seismic Zone: Insights into Intermediate-Depth Earthquake Nests in Locked Collisional Settings. Tectonophysics 2020, 799, 228688. [Google Scholar] [CrossRef]
- Pavel, F.; Vacareanu, R.; Pitilakis, K. Intensity-Dependent Site Amplification Factors for Vrancea Intermediate-Depth Earthquakes. Bull. Earthq. Eng. 2019, 17, 2363–2380. [Google Scholar] [CrossRef]
- Pitilakis, K.; Riga, E.; Anastasiadis, A. New Code Site Classification, Amplification Factors and Normalized Response Spectra Based on a Worldwide Ground-Motion Database. Bull. Earthq. Eng. 2013, 11, 925–966. [Google Scholar] [CrossRef]
- Pitilakis, K.; Riga, E.; Anastasiadis, A.; Fotopoulou, S.; Karafagka, S. Towards the Revision of EC8: Proposal for an Alternative Site Classification Scheme and Associated Intensity Dependent Spectral Amplification Factors. Soil Dyn. Earthq. Eng. 2019, 126, 105137. [Google Scholar] [CrossRef]
- Cioflan, C.O.; Marmureanu, A.; Marmureanu, G. The Quantitative Evidence of the Soil Nonlinear Behavior during of Strong Vrancea Earthquakes in Real/Nonlinear Seismology. Rom. Rep. Phys. 2011, 63, 839–851. [Google Scholar]
- Derras, B.; Bard, P.-Y.; Cotton, F. V S30, Slope, H 800 and f 0: Performance of Various Site-Condition Proxies in Reducing Ground-Motion Aleatory Variability and Predicting Nonlinear Site Response. Earth Planets Space 2017, 69, 133. [Google Scholar] [CrossRef] [Green Version]
- Zhu, C.; Pilz, M.; Cotton, F. Which Is a Better Proxy, Site Period or Depth to Bedrock, in Modelling Linear Site Response in Addition to the Average Shear-Wave Velocity? Bull. Earthq. Eng. 2020, 18, 797–820. [Google Scholar] [CrossRef]
- Iervolino, I.; Giorgio, M.; Cito, P. Which Earthquakes Are Expected to Exceed the Design Spectra? Earthq. Spectra 2019, 35, 1465–1483. [Google Scholar] [CrossRef]
- Iervolino, I.; Vitale, A.; Cito, P. Empirical Assessment of Seismic Design Hazard’s Exceedance Area. Sci Rep. 2021, 11, 18803. [Google Scholar] [CrossRef] [PubMed]
- Pavel, F.; Vacareanu, R. Analysis of Exceedance Probabilities for Design Spectral Accelerations from Crustal Earthquakes in Romania. J. Seismol. 2019, 23, 1327–1345. [Google Scholar] [CrossRef]
- Wald, D.J.; Allen, T.I. Topographic Slope as a Proxy for Seismic Site Conditions and Amplification. Bull. Seismol. Soc. Am. 2007, 97, 1379–1395. [Google Scholar] [CrossRef] [Green Version]
- Vacareanu, R.; Lungu, D.; Aldea, A.; Arion, C.; Kato, H. Outline and Outcomes of the JICA Technical Cooperation Project of Seismic Risk In Romania. In Proceedings of the 14th World Conference on Earthquake Engineering, Beijing, China, 12–17 October 2008. [Google Scholar]
- BIGSEES Project. Available online: http://bigsees.infp.ro/ (accessed on 3 January 2022).
- Moldoveanu, T.; Stan, E.; Radan, P.; Dutu, M.; Istrate, M.; Toma-Danila, D.; Tiganescu, A. Seismic Hazard and Risk Maps for Prahova County; SC Geohazard SRL: Bucharest, Romania, 2018. [Google Scholar]
- Pavel, F. Variability of Ground Motion Amplitudes Recorded in Bucharest Area during Vrancea Intermediate-Depth Earthquakes. Shock. Vib. 2021, 2021, 5189966. [Google Scholar] [CrossRef]
- Zaicenco, A. Evaluation on A Probabilistic Basis of the Structural Effects of Vrancea Earthquakes on the Territory of MOLDOVA and the Republic of Moldova; Technical University of Civil Engineering Bucharest: Bucharest, Romania, 1997. [Google Scholar]
- Cioflica, G.; Lazar, C.; Pop, G.; Rusu, A. Romanian Geological Map. 1980. Available online: http://www.geotutorials.ro/atlas-geografic/harti-romania/atlas-geografic-1980/harta-geologica-a-romaniei/ (accessed on 30 December 2021).
- ROMPLUS. Earthquake Catalog. Available online: http://www.infp.ro/data/romplus.txt (accessed on 30 December 2021).
- Pavel, F.; Vacareanu, R.; Douglas, J.; Radulian, M.; Cioflan, C.; Barbat, A. An Updated Probabilistic Seismic Hazard Assessment for Romania and Comparison with the Approach and Outcomes of the SHARE Project. Pure Appl. Geophys. 2016, 173, 1881–1905. [Google Scholar] [CrossRef] [Green Version]
- EFEHR. Hazard.EFEHR. Available online: http://hazard.efehr.org/en/home/ (accessed on 3 January 2022).
- Pavel, F.; Vacareanu, R.; Pitilakis, K. Preliminary Revision of the Seismic Zonation from the Current Romanian Seismic Design Code. In Earthquake Geotechnical Engineering for Protection and Development of Environment and Constructions, Proceedings of the 7th International Conference on Earthquake Geotechnical Engineering, (ICEGE 2019); CRC Press: Rome, Italy, 2019; pp. 4412–4419. ISBN 978-0-429-63350-8. [Google Scholar]
- Abrahamson, N.; Gregor, N.; Addo, K. BC Hydro Ground Motion Prediction Equations for Subduction Earthquakes. Earthq. Spectra 2016, 32, 23–44. [Google Scholar] [CrossRef]
- MDRAP. Code for Seismic Design—Part I—Design Prescriptions for Buildings; MDRAP: Bucharest, Romania, 2013. [Google Scholar]
- MLPAT. P100-92: Code for the Seismic Design of Dwellings, Social-Cultural, Agro-Zootechnical and Industrial Buildings; MLPAT: Bucharest, Romania, 1992. [Google Scholar]
- Ministry of Transportation, Construction & Tourism (MTCT). P100-1/2006: Code for Seismic Design-Part I-Design Prescriptions for Buildings; MTCT: Bucharest, Romania, 2006. [Google Scholar]
- Crainic, L.; Dalban, C.; Postelnicu, T.; Sandi, H.; Teretean, T. A New Approach of Thr Romanian Seismic Code for Buildings. In Proceedings of the 10th World Conference on Earthquake Engineering, Madrid, Spain, 19–24 July 1992; pp. 5655–5660. [Google Scholar]
- Lungu, D.; Arion, C.; Aldea, A.; Vacareanu, R. Reprezentation of Seismic Action in the New Romanian Code for Design of Earthquake Resistant Buildings P100-2003. In Proceedings of the 13th World Conference on Earthquake Engineering, Vancouver, BC, Canada, 1–6 August 2004. [Google Scholar]
- Lungu, D.; Cornea, T.; Aldea, A.; Zaicenco, A. Basic Representation of Seismic Action. In Design of Structures in Seismic Zones: Eurocode 8—Worked Examples; Bridgeman Ltd.: Timisoarea, Romania, 1997; pp. 1–60. [Google Scholar]
- Pavel, F.; Vacareanu, R.; Pitilakis, K.; Anastasiadis, A. Investigation on Site-Specific Seismic Response Analysis for Bucharest (Romania). Bull. Earthq. Eng. 2020, 18, 1933–1953. [Google Scholar] [CrossRef]
- Olteanu, P.; Vacareanu, R. Ground Motion Model for Spectral Displacement of Intermediate-Depth Earthquakes Generated by Vrancea Seismic Source. Geosciences 2020, 10, 282. [Google Scholar] [CrossRef]
- International Conference on Child Psychiatry and Developmental Concerns (ICCPDC). P100-81: Code for the Seismic Design of Dwellings, Social-Cultural, Agro-Zootechnical and Industrial Buildings; ICCPDC: Bucharest, Romania, 1981. [Google Scholar]










| Site | Computed Vs30 (m/s) | Estimated Vs30 (m/s) | Site Class Eurocode 8 Draft Revision [1] | Local Geology | Estimated Depth to Engineering Bedrock (m) | Available Ground Motion Recordings |
|---|---|---|---|---|---|---|
| Adjud | 295 | 232 | F | Quaternary | >100 | Vrancea |
| Bacau | 370 | 318 | F | Quaternary | >100 | Vrancea |
| Baia | 550 | 501 | B | Cretaceous | 15 | Vrancea |
| Banloc | 290 | 281 | F | Quaternary | >100 | Banat |
| Bucharest | 285 | 255 | F | Quaternary | >100 | Vrancea |
| Calarasi | 365 | 273 | C | Quaternary | <100 | Vrancea |
| Campina | 397 | 400 | B | Miocene | <100 | Vrancea |
| Carcaliu | 410 | 461 | B | Pliocene | 25 | Vrancea |
| Cernavoda | 465 | 434 | B | Miocene | <100 | Vrancea |
| Chisinau | 320 | 500 | C | Miocene | <100 | Vrancea |
| Giurgiu | 342 | 247 | C | Miocene | <100 | Vrancea |
| Iasi | 320 | 350 | C | Quaternary | <100 | Vrancea |
| Petresti | 290 | 248 | F | Quaternary | >100 | Vrancea |
| Tulcea | 500 | 450 | B | Mesozoic | 20 | Vrancea |
| Valenii de Munte | 496 | 456 | B | Miocene | <100 | Vrancea |
| Seismic Design Code | Limit State for Relative Displacement Check | Corresponding Mean Return Period (Years) | Story Drift Limits |
|---|---|---|---|
| P100-92 [30] | ULS | 50 | 0.35%/0.7%/1.0% |
| P100-2006 [31] | SLS | 30 | 0.5%/0.8% |
| ULS | 100 | 2.5% | |
| P100-1/2013 [29] | SLS | 40 | 0.5%/0.75%/1.0% |
| ULS | 225 | 2.5% |
Publisher’s Note: MDPI stays neutral with regard to jurisdictional claims in published maps and institutional affiliations. |
© 2022 by the authors. Licensee MDPI, Basel, Switzerland. This article is an open access article distributed under the terms and conditions of the Creative Commons Attribution (CC BY) license (https://creativecommons.org/licenses/by/4.0/).
Share and Cite
Pavel, F.; Vacareanu, R.; Pitilakis, K. Preliminary Evaluation of the Impact of Eurocode 8 Draft Revision on the Seismic Zonation of Romania. Appl. Sci. 2022, 12, 649. https://doi.org/10.3390/app12020649
Pavel F, Vacareanu R, Pitilakis K. Preliminary Evaluation of the Impact of Eurocode 8 Draft Revision on the Seismic Zonation of Romania. Applied Sciences. 2022; 12(2):649. https://doi.org/10.3390/app12020649
Chicago/Turabian StylePavel, Florin, Radu Vacareanu, and Kyriazis Pitilakis. 2022. "Preliminary Evaluation of the Impact of Eurocode 8 Draft Revision on the Seismic Zonation of Romania" Applied Sciences 12, no. 2: 649. https://doi.org/10.3390/app12020649
APA StylePavel, F., Vacareanu, R., & Pitilakis, K. (2022). Preliminary Evaluation of the Impact of Eurocode 8 Draft Revision on the Seismic Zonation of Romania. Applied Sciences, 12(2), 649. https://doi.org/10.3390/app12020649

