Simulated Annealing-Based Wavelength Selection for Robust Tissue Oxygenation Estimation Powered by the Extended Modified Lambert–Beer Law
Abstract
1. Introduction
2. Materials and Methods
2.1. Extended Modified Lambert–Beer Law
2.2. Monte Carlo Simulation
2.2.1. Tools and Datasets
2.2.2. Simulation of Data Collection from an Inexpensive HSI Device
2.3. Skin Model
2.4. Simulated Annealing Wavelength Selection
2.5. Validation Datasets
2.6. Stability Testing
3. Results and Discussion
3.1. Wavelength Selection
3.2. Validation Results
3.2.1. Monte Carlo Dataset
3.2.2. In Vivo Dataset
3.3. Stability Test Results
4. Conclusions
Author Contributions
Funding
Institutional Review Board Statement
Informed Consent Statement
Data Availability Statement
Conflicts of Interest
References
- Saeedi, P.; Petersohn, I.; Salpea, P.; Malanda, B.; Karuranga, S.; Unwin, N.; Colagiuri, S.; Guariguata, L.; Motala, A.A.; Ogurtsova, K.; et al. Global and regional diabetes prevalence estimates for 2019 and projections for 2030 and 2045: Results from the International Diabetes Federation Diabetes Atlas, 9th edition. Diabetes Res. Clin. Pract. 2019, 157, 107843. [Google Scholar] [CrossRef] [PubMed]
- International Diabetes Foundation, IDF Diabetes Atlas|Tenth Edition. Available online: https://diabetesatlas.org/ (accessed on 18 June 2022).
- Oliver, T.I.; Mutluoglu, M. Diabetic Foot Ulcer. In StatPearls; StatPearls Publishing: Treasure Island, FL, USA, 2022. Available online: http://www.ncbi.nlm.nih.gov/books/NBK537328/ (accessed on 18 June 2022).
- Armstrong, D.G.; Boulton, A.J.M.; Bus, S.A. Diabetic Foot Ulcers and Their Recurrence. N. Engl. J. Med. 2017, 376, 2367–2375. [Google Scholar] [CrossRef] [PubMed]
- Raghav, A.; Khan, Z.A.; Labala, R.K.; Ahmad, J.; Noor, S.; Mishra, B.K. Financial burden of diabetic foot ulcers to world: A progressive topic to discuss always. Ther. Adv. Endocrinol. Metab. 2018, 9, 29–31. [Google Scholar] [CrossRef] [PubMed]
- Jodheea-Jutton, A.; Hindocha, S.; Bhaw-Luximon, A. Health economics of diabetic foot ulcer and recent trends to accelerate treatment. Foot 2022, 101909. [Google Scholar] [CrossRef]
- Diabetes and African Americans—The Office of Minority Health. 2021. Available online: https://minorityhealth.hhs.gov/omh/browse.aspx?lvl=4&lvlid=18 (accessed on 18 June 2021).
- Prevalence of Diagnosed Diabetes|Diabetes|CDC. 2022. Available online: https://www.cdc.gov/diabetes/data/statistics-report/diagnosed-diabetes.html (accessed on 18 June 2022).
- Tran, P.; Tran, L.; Tran, L. Impact of rurality on diabetes screening in the US. BMC Public Health 2019, 19, 1190. [Google Scholar] [CrossRef]
- The Burden of Diabetes in Rural America: Rural Health Research Project. Available online: https://www.ruralhealthresearch.org/projects/100002380 (accessed on 18 June 2022).
- Sharma, R.; Sharma, S.K.; Mudgal, S.K.; Jelly, P.; Thakur, K. Efficacy of hyperbaric oxygen therapy for diabetic foot ulcer, a systematic review and meta-analysis of controlled clinical trials. Sci. Rep. 2021, 11, 2189. [Google Scholar] [CrossRef]
- Dietrich, M.; Marx, S.; von der Forst, M.; Bruckner, T.; Schmitt, F.C.F.; Fiedler, M.O.; Nickel, F.; Studier-Fischer, A.; Müller-Stich, B.P.; Hackert, T.; et al. Hyperspectral imaging for perioperative monitoring of microcirculatory tissue oxygenation and tissue water content in pancreatic surgery—An observational clinical pilot study. Perioper. Med. 2021, 10, 42. [Google Scholar] [CrossRef]
- Oshina, I.; Spigulis, J. Beer–Lambert law for optical tissue diagnostics: Current state of the art and the main limitations. J. Biomed. Opt. 2021, 26, 100901. [Google Scholar] [CrossRef]
- Vyas, S.; Banerjee, A.; Burlina, P. Estimating physiological skin parameters from hyperspectral signatures. J. Biomed. Opt. 2013, 18, 057008. [Google Scholar] [CrossRef]
- Yudovsky, D.; Pilon, L. Retrieving skin properties from in vivo spectral reflectance measurements. J. Biophotonics 2011, 4, 305–314. [Google Scholar] [CrossRef]
- Saiko, G.; Lombardi, P.; Au, Y.; Queen, D.; Armstrong, D.; Harding, K. Hyperspectral imaging in wound care: A systematic review. Int. Wound J. 2020, 17, 1840–1856. [Google Scholar] [CrossRef]
- Lee, C.J.; Walters, E.; Kennedy, C.J.; Beitollahi, A.; Evans, K.K.; Attinger, C.E.; Kim, P.J. Quantitative Results of Perfusion Utilising Hyperspectral Imaging on Non-diabetics and Diabetics: A Pilot Study. Int. Wound J. 2020, 17, 1809–1816. [Google Scholar] [CrossRef] [PubMed]
- Vasefi, F.; MacKinnon, N.; Saager, R.B.; Durkin, A.J.; Chave, R.; Lindsley, E.H.; Farkas, D.L. Polarization-Sensitive Hyperspectral Imaging in vivo: A Multimode Dermoscope for Skin Analysis. Sci. Rep. 2014, 4, 4924. [Google Scholar] [CrossRef] [PubMed]
- Saager, R.B.; Sharif, A.; Kelly, K.M.; Durkin, A.J. In vivo isolation of the effects of melanin from underlying hemodynamics across skin types using spatial frequency domain spectroscopy. J. Biomed. Opt. 2016, 21, 057001. [Google Scholar] [CrossRef] [PubMed]
- Ayala, L.; Isensee, F.; Wirkert, S.J.; Vemuri, A.S.; Maier-Hein, K.H.; Fei, B.; Maier-Hein, L. Band selection for oxygenation estimation with multispectral/hyperspectral imaging. Biomed. Opt. Express 2022, 13, 1224. [Google Scholar] [CrossRef]
- Marois, M.; Jacques, S.L.; Paulsen, K.D. Optimal wavelength selection for optical spectroscopy of hemoglobin and water within a simulated light-scattering tissue. J. Biomed. Opt. 2018, 23, 071202. [Google Scholar] [CrossRef]
- Huong, A.; Ngu, X. The application of extended modified Lambert Beer model for measurement of blood carboxyhemoglobin and oxyhemoglobin saturation. J. Innov. Opt. Health Sci. 2014, 7, 1450026. [Google Scholar] [CrossRef]
- Philimon, S.P.; Huong, A.K.C.; Ngu, X.T.I. Tissue Oxygen Level in Acute and Chronic Wound: A Comparison Study. J. Teknol. 2020, 82, 131–140. [Google Scholar] [CrossRef]
- Twersky, V. Absorption and Multiple Scattering by Biological Suspensions. J. Opt. Soc. Am. 1970, 60, 1084–1093. [Google Scholar] [CrossRef]
- Huong, A.K.C.; Philimon, S.P.; Ngu, X.T.I. Noninvasive Monitoring of Temporal Variation in Transcutaneous Oxygen Saturation for Clinical Assessment of Skin Microcirculatory Activity. In Proceedings of the International Conference for Innovation in Biomedical Engineering and Life Sciences: ICIBEL2015, Putrajaya, Malaysia, 6–8 December 2015; pp. 248–251. [Google Scholar] [CrossRef]
- Huong, A.; Tay, K.G.; Ngu, X. Towards Skin Tissue Oxygen Monitoring: An Investigation of Optimal Visible Spectral Range and Minimal Spectral Resolution. Univers. J. Electr. Electron. Eng. 2019, 6, 49–54. [Google Scholar] [CrossRef]
- Wang, L.; Jacques, S.L.; Zheng, L. MCML—Monte Carlo modeling of light transport in multi-layered tissues. Comput. Methods Programs Biomed. 1995, 47, 131–146. [Google Scholar] [CrossRef]
- Tsumura, N.; Kawabuchi, M.; Haneishi, H.; Miyake, Y. Mapping Pigmentation in Human Skin by Multi-Visible-Spectral Imaging by Inverse Optical Scattering Technique. In Proceedings of the Eighth Color Imaging Conference: Color Science, Systems and Applications, Scottsdale, AZ, USA, 7–10 November 2000; pp. 81–84. [Google Scholar]
- Alerstam, E.; Svensson, T.; Andersson-Engels, S. Parallel computing with graphics processing units for high-speed Monte Carlo simulation of photon migration. J. Biomed. Opt. 2008, 13, 060504. [Google Scholar] [CrossRef] [PubMed]
- Jacques, S.L. Skin Optics Summary. 1998. Available online: https://omlc.org/news/jan98/skinoptics.html (accessed on 1 January 2022).
- Scipy.Ndimage.Gaussian_Filter1d—SciPy v1.9.0 Manual. Available online: https://docs.scipy.org/doc/scipy/reference/generated/scipy.ndimage.gaussian_filter1d.html (accessed on 8 August 2022).
- Belay, A. Measurement of integrated absorption cross-section, oscillator strength and number density of caffeine in coffee beans by integrated absorption coefficient technique. Food Chem. 2010, 121, 585–590. [Google Scholar] [CrossRef]
- LUXEON Z Color Line. Lumileds. Available online: https://lumileds.com/products/color-leds/luxeon-z-colors/ (accessed on 23 June 2022).
- Unmounted LEDs. Available online: https://www.thorlabs.com/newgrouppage9.cfm?objectgroup_id=2814#4475 (accessed on 23 June 2022).
- Visible LEDs|Ocean Insight. Available online: https://www.oceaninsight.com/products/light-sources/leds/vis-leds/ (accessed on 23 June 2022).
- LP T655-Q1R2-25 ams OSRAM|Mouser. Mouser Electronics. Available online: https://www.mouser.com/ProductDetail/N-A (accessed on 23 June 2022).
- Binzoni, T.; Vogel, A.; Gandjbakhche, A.H.; Marchesini, R. Detection limits of multi-spectral optical imaging under the skin surface. Phys. Med. Biol. 2008, 53, 617–636. [Google Scholar] [CrossRef] [PubMed]
- Meglinski, I.; Matcher, S. Computer simulation of the skin reflectance spectra. Comput. Methods Programs Biomed. 2003, 70, 179–186. [Google Scholar] [CrossRef]
- Meglinski, I.V.; Matcher, S.J. Quantitative assessment of skin layers absorption and skin reflectance spectra simulation in the visible and near-infrared spectral regions. Physiol. Meas. 2002, 23, 741–753. [Google Scholar] [CrossRef]
- Prahl, S.A. Optical Absorption of Hemoglobin. Available online: https://omlc.org/spectra/hemoglobin/ (accessed on 11 June 2022).
- Van Staveren, H.J.; Moes, C.J.M.; Van Marie, J.; Prahl, S.A.; Van Gemert, M.J.C. Light scattering in lntralipid-10% in the wavelength range of 400–1100 nm. Appl. Opt. 1991, 30, 4507–4514. [Google Scholar] [CrossRef]
- Bashkatov, A.N.; Genina, E.A.; Kochubey, V.I.; Tuchin, V.V. Optical properties of human skin, subcutaneous and mucous tissues in the wavelength range from 400 to 2000 nm. J. Phys. D Appl. Phys. 2005, 38, 2543–2555. [Google Scholar] [CrossRef]
- Nishidate, I.; Aizu, Y.; Mishina, H. Estimation of melanin and hemoglobin in skin tissue using multiple regression analysis aided by Monte Carlo simulation. J. Biomed. Opt. 2004, 9, 700–710. [Google Scholar] [CrossRef]
- Bertsimas, D.; Tsitsiklis, J. Simulated Annealing. Stat. Sci. 1993, 8, 20–69. [Google Scholar] [CrossRef]
- Caspary, L.; Thum, J.; Creutzig, A.; Lübbers, D.; Alexander, K. Quantitative Reflection Spectrophotometry: Spatial and Temporal Variation of Hb Oxygenation in Human Skin. Int. J. Microcirc. 1995, 15, 131–136. [Google Scholar] [CrossRef] [PubMed]
- Zhang, R.; Verkruysse, W.; Choi, B.; Viator, J.A.; Jung, B.; Svaasand, L.O.; Aguilar, G.; Nelson, J.S. Determination of human skin optical properties from spectrophotometric measurements based on optimization by genetic algorithms. J. Biomed. Opt. 2005, 10, 024030–02403011. [Google Scholar] [CrossRef]
- Kobayashi, M.; Ito, Y.; Sakauchi, N.; Oda, I.; Konishi, I.; Tsunazawa, Y. Analysis of nonlinear relation for skin hemoglobin imaging. Opt. Express 2001, 9, 802–812. [Google Scholar] [CrossRef] [PubMed]
- Thorn, C.E.; Matcher, S.J.; Meglinski, I.V.; Shore, A. Is mean blood saturation a useful marker of tissue oxygenation? Am. J. Physiol. Circ. Physiol. 2009, 296, H1289–H1295. [Google Scholar] [CrossRef] [PubMed]
- Kyle, B.; Litton, E.; Ho, K.M. Effect of hyperoxia and vascular occlusion on tissue oxygenation measured by near infra-red spectroscopy (InSpectra™): A volunteer study. Anaesthesia 2012, 67, 1237–1241. [Google Scholar] [CrossRef] [PubMed]
- Bezemer, R.; Lima, A.; Myers, D.; Klijn, E.; Heger, M.; Goedhart, P.T.; Bakker, J.; Ince, C. Assessment of tissue oxygen saturation during a vascular occlusion test using near-infrared spectroscopy: The role of probe spacing and measurement site studied in healthy volunteers. Crit. Care 2009, 13, S4. [Google Scholar] [CrossRef] [PubMed]
- Vogel, A.; Chernomordik, V.V.; Riley, J.D.; Hassan, M.; Amyot, F.; Dasgeb, B.; Demos, S.G.; Pursley, R.; Little, R.F.; Yarchoan, R.; et al. Using noninvasive multispectral imaging to quantitatively assess tissue vasculature. J. Biomed. Opt. 2007, 12, 051604. [Google Scholar] [CrossRef][Green Version]
- Ferrari, M.; Binzoni, T.; Quaresima, V. Oxidative metabolism in muscle. Philos. Trans. R. Soc. Lond. B Biol. Sci. 1997, 352, 677–683. [Google Scholar] [CrossRef]










| Parameter | Value |
|---|---|
| SO2 | 0.40–1.0 (steps of 0.05) |
| Epidermis Thickness (μm) | 60.0 |
| Dermis Thickness (cm) | 2.0 |
| 0.015, 0.15, 0.40 | |
| 0.05 |
| LED | Peak Wavelength | Peak Tolerance | FWHM |
|---|---|---|---|
| Lumiled LUXEON Z (green) [33] | 520–540 nm | ±0.5 nm | 30 nm |
| Thorlabs LED 560L [34] | 562 nm | (not given) | 11 nm |
| Thorlabs LED 590L [34] | 590 nm | ±10 nm | 15 nm |
| Ocean Insight Visible LED [35] | 533 nm | ±5 nm | 18 nm |
| Osram LP-T655-Q1R2-25 [36] | 562 nm | ±4 nm | 19 nm |
| k | Ideal (nm) | Convolved (nm) |
|---|---|---|
| 5 | 524, 542, 553, 585, 588 | 522, 534, 546, 552, 560 |
| 7 | 521, 533, 543, 550, 556, 569, 596 | 520, 535, 543, 547, 554, 563, 596 |
| 11 | 521, 537, 539, 544, 551, 556, 570, 575, 581, 583, 592 | 524, 527, 533, 535, 540, 546, 551, 556, 559, 565, 588 |
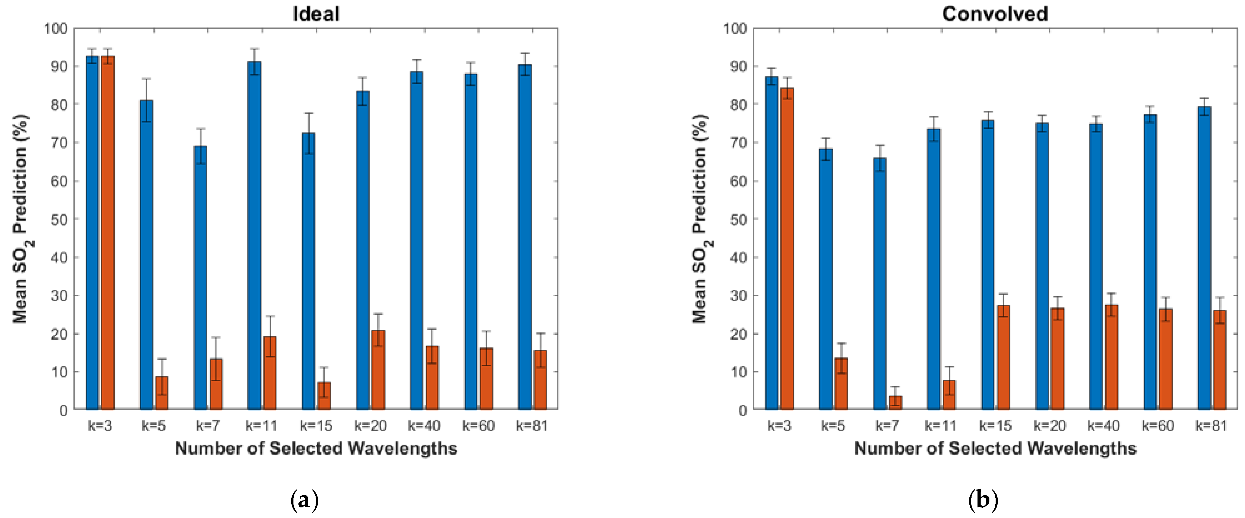
| Ideal | Convolved | |||
|---|---|---|---|---|
| k | At Rest | Occlusion | At Rest | Occlusion |
| 3 | 92.59 ± 1.94% | 92.53 ± 1.96% | 87.28 ± 2.17% | 84.20 ± 2.82% |
| 5 | 81.06 ± 5.60% | 8.71 ± 4.63% | 68.27 ± 2.86% | 13.64 ± 3.93% |
| 7 | 69.03 ± 4.57% | 13.37 ± 5.64% | 65.86 ± 3.37% | 3.64 ± 2.49% |
| 11 | 91.14 ± 3.34% | 19.24 ± 5.36% | 73.51 ± 3.15% | 7.67 ± 3.66% |
| 15 | 72.35 ± 5.34% | 7.16 ± 3.90% | 75.84 ± 2.16% | 27.45 ± 3.01% |
| 20 | 83.41 ± 3.69% | 20.90 ± 4.20% | 74.99 ± 2.16% | 26.69 ± 3.01% |
| 40 | 88.59 ± 3.03% | 16.73 ± 4.57% | 74.80 ± 2.08% | 27.59 ± 2.99% |
| 60 | 87.98 ± 2.99% | 16.17 ± 4.40% | 77.37 ± 2.22% | 26.36 ± 3.17% |
| 81 | 90.45 ± 2.83% | 15.60 ± 4.44% | 79.35 ± 2.30% | 26.09 ± 3.29% |
| Investigator | Estimated SO2 | |||
| At Rest | Caspary et al. [45] | 92 ± 2.6% | ||
| Zhang et al. [46] | 93 ± 1% | |||
| Kobayashi et al. [47] | 68 ± 6% | |||
| Thorn et al. [48] | 63 ± 11% | |||
| Huong et al. [25] | 91.2 ± 5.4% | |||
| Kyle et al. [49] | 73.9 ± 5.8% | |||
| Bezemer et al. [50] | 87 ± 3% | |||
| Arterial Occlusion | Kobayashi et al. [47] | 48% | ||
| Vogel et al. [51] | 35% | |||
| Ferrari et al. [52] | 20% | |||
| Huong et al. [25] | 12.3 ± 8.9% | |||
| Kyle et al. [49] | 47.3 ± 7.6% | |||
| Bezemer et al. [50] | 3 ± 5% | |||
Publisher’s Note: MDPI stays neutral with regard to jurisdictional claims in published maps and institutional affiliations. |
© 2022 by the authors. Licensee MDPI, Basel, Switzerland. This article is an open access article distributed under the terms and conditions of the Creative Commons Attribution (CC BY) license (https://creativecommons.org/licenses/by/4.0/).
Share and Cite
Chauvin, J.; Akhbardeh, A.; Brunnemer, R.; Vasefi, F.; Bearman, G.; Huong, A.; Tavakolian, K. Simulated Annealing-Based Wavelength Selection for Robust Tissue Oxygenation Estimation Powered by the Extended Modified Lambert–Beer Law. Appl. Sci. 2022, 12, 8490. https://doi.org/10.3390/app12178490
Chauvin J, Akhbardeh A, Brunnemer R, Vasefi F, Bearman G, Huong A, Tavakolian K. Simulated Annealing-Based Wavelength Selection for Robust Tissue Oxygenation Estimation Powered by the Extended Modified Lambert–Beer Law. Applied Sciences. 2022; 12(17):8490. https://doi.org/10.3390/app12178490
Chicago/Turabian StyleChauvin, John, Alireza Akhbardeh, Robert Brunnemer, Fartash Vasefi, Gregory Bearman, Audrey Huong, and Kouhyar Tavakolian. 2022. "Simulated Annealing-Based Wavelength Selection for Robust Tissue Oxygenation Estimation Powered by the Extended Modified Lambert–Beer Law" Applied Sciences 12, no. 17: 8490. https://doi.org/10.3390/app12178490
APA StyleChauvin, J., Akhbardeh, A., Brunnemer, R., Vasefi, F., Bearman, G., Huong, A., & Tavakolian, K. (2022). Simulated Annealing-Based Wavelength Selection for Robust Tissue Oxygenation Estimation Powered by the Extended Modified Lambert–Beer Law. Applied Sciences, 12(17), 8490. https://doi.org/10.3390/app12178490

