Do Carbon-Plated Running Shoes with Different Characteristics Influence Physiological and Biomechanical Variables during a 10 km Treadmill Run?
Abstract
:1. Introduction
2. Materials and Methods
2.1. Participants
2.2. Footwear Conditions
2.3. Experimental Setup and Procedures
2.3.1. Exhaustion Test
2.3.2. 10 km Tests
2.4. Data Analysis
2.5. Statistical Analysis
3. Results
3.1. Exhaustion Test
3.2. 10 km Tests
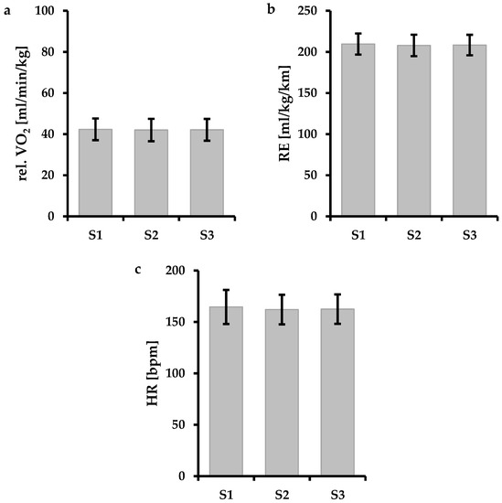
3.2.1. Physiological variables
3.2.2. Biomechanical Variables
4. Discussion
5. Conclusions
Author Contributions
Funding
Institutional Review Board Statement
Informed Consent Statement
Data Availability Statement
Acknowledgments
Conflicts of Interest
References
- Hoogkamer, W.; Kipp, S.; Spiering, B.A.; Kram, R. Altered Running Economy Directly Translates to Altered Distance-Running Performance. Med. Sci. Sports Exerc. 2016, 48, 2175–2180. [Google Scholar] [CrossRef] [PubMed]
- Dinato, R.C.; Cruz, R.; Azevedo, R.A.; Hasegawa, J.S.; Silva, R.G.; Ribeiro, A.P.; Lima-Silva, A.E.; Bertuzzi, R. Footwear designed to enhance energy return improves running economy compared to a minimalist footwear: Does it matter for running performance? Braz. J. Med. Biol. Res. 2021, 54, e10693. [Google Scholar] [CrossRef] [PubMed]
- Hébert-Losier, K.; Finlayson, S.J.; Driller, M.W.; Dubois, B.; Esculier, J.-F.; Beaven, C.M. Metabolic and performance responses of male runners wearing 3 types of footwear: Nike Vaporfly 4%, Saucony Endorphin racing flats, and their own shoes. J. Sport Health Sci. 2022, 11, 275–284. [Google Scholar] [CrossRef]
- Joubert, D.P.; Jones, G.P. A comparison of running economy across seven highly cushioned racing shoes with carbon-fibre plates. Footwear Sci. 2022, 14, 71–83. [Google Scholar] [CrossRef]
- Worobets, J.; Wannop, J.W.; Tomaras, E.; Stefanyshyn, D. Softer and more resilient running shoe cushioning properties enhance running economy. Footwear Sci. 2014, 6, 147–153. [Google Scholar] [CrossRef]
- Hoogkamer, W.; Kipp, S.; Frank, J.H.; Farina, E.M.; Luo, G.; Kram, R. A Comparison of the Energetic Cost of Running in Marathon Racing Shoes. Sports Med. 2018, 48, 1009–1019. [Google Scholar] [CrossRef] [Green Version]
- Hoogkamer, W.; Kipp, S.; Kram, R. The Biomechanics of Competitive Male Runners in Three Marathon Racing Shoes: A Randomized Crossover Study. Sports Med. 2019, 49, 133–143. [Google Scholar] [CrossRef]
- Hunter, I.; McLeod, A.; Valentine, D.; Low, T.; Ward, J.; Hager, R. Running economy, mechanics, and marathon racing shoes. J. Sports Sci. 2019, 37, 2367–2373. [Google Scholar] [CrossRef]
- Conley, D.L.; Krahenbuhl, G.S. Running Economy and Distance Running Performance of Highly Trained Athletes. Med. Sci. Sports Exerc. 1980, 12, 357–360. [Google Scholar] [CrossRef]
- Barnes, K.R.; Kilding, A.E. Strategies to Improve Running Economy. Sports Med. 2015, 45, 37–56. [Google Scholar] [CrossRef]
- Fuller, J.T.; Bellenger, C.R.; Thewlis, D.; Tsiros, M.D.; Buckley, J.D. The Effect of Footwear on Running Performance and Running Economy in Distance Runners. Sports Med. 2015, 45, 411–422. [Google Scholar] [CrossRef] [PubMed]
- Hoitz, F.; Vienneau, J.; Nigg, B.M. Influence of running shoes on muscle activity. PLoS ONE 2020, 15, e0239852. [Google Scholar] [CrossRef] [PubMed]
- Willwacher, S.; König, M.; Braunstein, B.; Goldmann, J.-P.; Brueggemann, P. The gearing function of midsole longitudinal bending stiffness in running. Footwear Sci. 2013, 5, S109–S111. [Google Scholar] [CrossRef]
- Day, E.; Hahn, M. Optimal footwear longitudinal bending stiffness to improve running economy is speed dependent. Footwear Sci. 2020, 12, 3–13. [Google Scholar] [CrossRef]
- Bräuer, S.; Kiesewetter, P.; Milani, T.L.; Mitschke, C. The ‘Ride’ Feeling during Running under Field Conditions—Objectified with a Single Inertial Measurement Unit. Sensors 2021, 21, 5010. [Google Scholar] [CrossRef]
- Bermon, S.; Garrandes, F.; Szabo, A.; Berkovics, I.; Adami, P.E. Effect of Advanced Shoe Technology on the Evolution of Road Race Times in Male and Female Elite Runners. Front. Sports Act. Living 2021, 3, 653173. [Google Scholar] [CrossRef]
- Senefeld, J.W.; Haischer, M.H.; Jones, A.M.; Wiggins, C.C.; Beilfuss, R.; Joyner, M.J.; Hunter, S.K. Technological advances in elite marathon performance. J. Appl. Physiol. 2021, 130, 2002–2008. [Google Scholar] [CrossRef]
- Roy, J.-P.R.; Stefanyshyn, D.J. Shoe Midsole Longitudinal Bending Stiffness and Running Economy, Joint Energy, and EMG. Med. Sci. Sports Exerc. 2006, 38, 562–569. [Google Scholar] [CrossRef] [Green Version]
- Nigg, B.M.; Cigoja, S.; Nigg, S.R. Effects of running shoe construction on performance in long distance running. Footwear Sci. 2020, 12, 133–138. [Google Scholar] [CrossRef]
- Barnes, K.R.; Kilding, A.E. A Randomized Crossover Study Investigating the Running Economy of Highly-Trained Male and Female Distance Runners in Marathon Racing Shoes versus Track Spikes. Sports Med. 2019, 49, 331–342. [Google Scholar] [CrossRef]
- Mitschke, C.; Karger, K.; Milani, T.L. Differences in Mechanical Midsole Characteristics of Running Shoes Do Not Influence Physiological Variables in Aerobic and Anaerobic Running. J. Hum. Kinet. 2019, 69, 29–38. [Google Scholar] [CrossRef] [PubMed] [Green Version]
- Chambon, N.; Delattre, N.; Guéguen, N.; Berton, E.; Rao, G. Is midsole thickness a key parameter for the running pattern? Gait Posture 2014, 40, 58–63. [Google Scholar] [CrossRef] [PubMed]
- Wunsch, T.; Alexander, N.; Kröll, J.; Stöggl, T.; Schwameder, H. Effects of a leaf spring structured midsole on joint mechanics and lower limb muscle forces in running. PLoS ONE 2017, 12, e0172287. [Google Scholar] [CrossRef] [PubMed]
- Healey, L.A.; Hoogkamer, W. Longitudinal bending stiffness does not affect running economy in Nike Vaporfly Shoes. J. Sport Health Sci. 2022, 11, 285–292. [Google Scholar] [CrossRef] [PubMed]
- Cigoja, S.; Firminger, C.R.; Asmussen, M.J.; Fletcher, J.R.; Edwards, W.B.; Nigg, B.M. Does increased midsole bending stiffness of sport shoes redistribute lower limb joint work during running? J. Sci. Med. Sport 2019, 22, 1272–1277. [Google Scholar] [CrossRef]
- Patoz, A.; Lussiana, T.; Breine, B.; Gindre, C. The Nike Vaporfly 4%: A game changer to improve performance without biomechanical explanation yet. Footwear Sci. 2022. [Google Scholar] [CrossRef]
- Schwanitz, S.; Odenwald, S. Long-term Cushioning Properties of Running Shoes. Eng. Sport 2008, 7, 95–100. [Google Scholar] [CrossRef]
- Driller, M.; Brophy-Williams, N.; Walker, A. The Reliability of a 5km Run Test on a Motorized Treadmill. Meas. Phys. Educ. Exerc. Sci. 2017, 21, 121–126. [Google Scholar] [CrossRef]
- Saunders, P.U.; Pyne, D.B.; Telford, R.D.; Hawley, J.A. Reliability and Variability of Running Economy in Elite Distance Runners. Med. Sci. Sports Exerc. 2004, 36, 1972–1976. [Google Scholar] [CrossRef]
- Hanson, N.J.; Berg, K.; Deka, P.; Meendering, J.R.; Ryan, C. Oxygen Cost of Running Barefoot vs. Running Shod. Int. J. Sports Med. 2011, 32, 401–406. [Google Scholar] [CrossRef] [Green Version]
- Jones, A.M.; Doust, J.H. A 1% treadmill grade most accurately reflects the energetic cost of outdoor running. J. Sports Sci. 1996, 14, 321–327. [Google Scholar] [CrossRef] [PubMed]
- Lourenço, T.F.; Martins, L.E.B.; Tessutti, L.S.; Brenzikofer, R.; Macedo, D.V. Reproducibility of an Incremental Treadmill o2max Test with Gas Exchange Analysis for Runners. J. Strength Cond. Res. 2011, 25, 1994–1999. [Google Scholar] [CrossRef] [PubMed]
- Steinacker, J.M.; Liu, Y.; Reißnecker, S. Abbruchkriterien Bei Der Ergometrie. Dtsch. Z. Sportmed. 2002, 53, 228–229. [Google Scholar]
- Robergs, R.A.; Dwyer, D.; Astorino, T. Recommendations for Improved Data Processing from Expired Gas Analysis Indirect Calorimetry. Sports Med. 2010, 40, 95–111. [Google Scholar] [CrossRef]
- Xu, F.; Montgomery, D.L. Effect of Prolonged Exercise at 65 and 80 % of VO2max on Running Economy. Int. J. Sports Med. 1995, 16, 309–313. [Google Scholar] [CrossRef]
- Scharhag-Rosenberger, F.; Meyer, T.; Gäßler, N.; Faude, O.; Kindermann, W. Exercise at given percentages of VO2max: Heterogeneous metabolic responses between individuals. J. Sci. Med. Sport 2010, 13, 74–79. [Google Scholar] [CrossRef]
- Hennig, E.M.; Milani, T.L.; Lafortune, M.A. Use of Ground Reaction Force Parameters in Predicting Peak Tibial Accelerations in Running. J. Appl. Biomech. 1993, 9, 306–314. [Google Scholar] [CrossRef] [Green Version]
- Mitschke, C.; Heß, T.; Milani, T.L. Which Method Detects Foot Strike in Rearfoot and Forefoot Runners Accurately when Using an Inertial Measurement Unit? Appl. Sci. 2017, 7, 959. [Google Scholar] [CrossRef] [Green Version]
- Maiwald, C.; Dannemann, A.; Gaudel, J.; Oriwol, D. A simple method to detect stride intervals in continuous acceleration and gyroscope data recorded during treadmill running. Footwear Sci. 2015, 7, S143–S144. [Google Scholar] [CrossRef]
- Mitschke, C.; Öhmichen, M.; Milani, T.L. A Single Gyroscope Can Be Used to Accurately Determine Peak Eversion Velocity during Locomotion at Different Speeds and in Various Shoes. Appl. Sci. 2017, 7, 659. [Google Scholar] [CrossRef] [Green Version]
- Mitschke, C.; Zaumseil, F.; Milani, T.L. The influence of inertial sensor sampling frequency on the accuracy of measurement parameters in rearfoot running. Comput. Methods Biomech. Biomed. Eng. 2017, 20, 1502–1511. [Google Scholar] [CrossRef] [PubMed]
- Foster, C.; Lucia, A. Running Economy: The Forgotten Factor in Elite Performance. Sports Med. 2007, 37, 316–319. [Google Scholar] [CrossRef] [PubMed]
- Cohen, J. A Power Primer. Psychol. Bull. 1992, 112, 155–159. [Google Scholar] [CrossRef] [PubMed]
- Heidenfelder, J.; Sterzing, T.; Bullmann, M.; Milani, T.L. Heel strike angle and foot angular velocity in the sagittal plane during running in different shoe conditions. J. Foot Ankle Res. 2008, 1, O16. [Google Scholar] [CrossRef] [Green Version]
- Law, M.H.C.; Choi, E.M.F.; Law, S.H.Y.; Chan, S.S.C.; Wong, S.M.S.; Ching, E.C.K.; Chan, Z.Y.S.; Zhang, J.H.; Lam, G.W.K.; Lau, F.O.Y.; et al. Effects of footwear midsole thickness on running biomechanics. J. Sports Sci. 2019, 37, 1004–1010. [Google Scholar] [CrossRef]
- Lieberman, D.E.; Venkadesan, M.; Werbel, W.A.; Daoud, A.I.; D’Andrea, S.; Davis, I.S.; Mang’Eni, R.O.; Pitsiladis, Y. Foot strike patterns and collision forces in habitually barefoot versus shod runners. Nature 2010, 463, 531–535. [Google Scholar] [CrossRef]
- Sterzing, T.; Schweiger, V.; Ding, R.; Cheung, J.T.-M.; Brauner, T. Influence of rearfoot and forefoot midsole hardness on biomechanical and perception variables during heel-toe running. Footwear Sci. 2013, 5, 71–79. [Google Scholar] [CrossRef]
- Mitschke, C.; Kiesewetter, P.; Milani, T.L. The Effect of the Accelerometer Operating Range on Biomechanical Parameters: Stride Length, Velocity, and Peak Tibial Acceleration during Running. Sensors 2018, 18, 130. [Google Scholar] [CrossRef] [Green Version]
- Heidenfelder, J.; Sterzing, T.; Milani, T.L. Systematically modified crash-pad reduces impact shock in running shoes. Footwear Sci. 2010, 2, 85–91. [Google Scholar] [CrossRef]
- Fuller, J.T.; Thewlis, D.; Tsiros, M.D.; Brown, N.A.T.; Buckley, J.D. The long-term effect of minimalist shoes on running performance and injury: Design of a randomised controlled trial. BMJ Open 2015, 5, e008307. [Google Scholar] [CrossRef] [Green Version]
- Sakaguchi, M.; Wannop, J.; Madden, R.; Koska, D.; Stefanyshyn, D. Effects of shoe bending stiffness and surface stiffness on lower extremity biomechanics during running. Footwear Sci. 2015, 7, S4–S6. [Google Scholar] [CrossRef]
- Nigg, B.M.; Stefanyshyn, D.; Cole, G.; Stergiou, P.; Miller, J. The effect of material characteristics of shoe soles on muscle activation and energy aspects during running. J. Biomech. 2003, 36, 569–575. [Google Scholar] [CrossRef]
- Frederick, E.C.; Howley, E.T.; Powers, S.K. Lower Oxygen Demands of Running in Soft-Soled Shoes. Res. Q. Exerc. Sport 1986, 57, 174–177. [Google Scholar] [CrossRef]
- Bosco, C.; Rusko, H. The effect of prolonged skeletal muscle stretch-shortening cycle on recoil of elastic energy and on energy expenditure. Acta Physiol. Scand. 1983, 119, 219–224. [Google Scholar] [CrossRef]
- Van Alsenoy, K.; van der Linden, M.L.; Girard, O.; Santos, D. Increased footwear comfort is associated with improved running economy—A systematic review and meta-analysis. Eur. J. Sport Sci. 2021, 1–13. [Google Scholar] [CrossRef] [PubMed]
- Van Hooren, B.; Fuller, J.T.; Buckley, J.D.; Miller, J.R.; Sewell, K.; Rao, G.; Barton, C.; Bishop, C.; Willy, R.W. Is Motorized Treadmill Running Biomechanically Comparable to Overground Running? A Systematic Review and Meta-Analysis of Cross-Over Studies. Sports Med. 2020, 50, 785–813. [Google Scholar] [CrossRef] [Green Version]
- Mooses, M.; Tippi, B.; Mooses, K.; Durussel, J.; Mäestu, J. Better economy in field running than on the treadmill: Evidence from high-level distance runners. Biol. Sport 2015, 32, 155–159. [Google Scholar] [CrossRef] [Green Version]



| Weight [g] | Bending Stiffness [N] | Rearfoot Stiffness [N/mm] | Forefoot Stiffness [N/mm] | Rearfoot Height [mm] | Forefoot Height [mm] | Rearfoot Energy Lost [%] | Forefoot Energy Lost [%] | |
|---|---|---|---|---|---|---|---|---|
| S1 | 172.4 | 130 | 284 | 215 | 25.7 | 26.3 | 21 | 21 |
| S2 | 203.0 | 104 | 209 | 226 | 31.0 | 28.2 | 19 | 12 |
| S3 | 183.1 | 107 | 194 | 180 | 29.2 | 29.4 | 14 | 15 |
| Rel. O2max [mL/kg/min] | vmax [km/h] | HRmax [bpm] | 70% of rel. O2max [mL/kg/min] | v70% of rel. O2max [km/h] | HR70% of rel. O2max [bpm] | |
|---|---|---|---|---|---|---|
| Mean | 59.3 | 18.5 | 185.5 | 41.5 | 12.2 | 155.2 |
| ± | ± | ± | ± | ± | ± | ± |
| SD | 7.8 | 2.1 | 10.6 | 5.4 | 1.6 | 12.6 |
Publisher’s Note: MDPI stays neutral with regard to jurisdictional claims in published maps and institutional affiliations. |
© 2022 by the authors. Licensee MDPI, Basel, Switzerland. This article is an open access article distributed under the terms and conditions of the Creative Commons Attribution (CC BY) license (https://creativecommons.org/licenses/by/4.0/).
Share and Cite
Kiesewetter, P.; Bräuer, S.; Haase, R.; Nitzsche, N.; Mitschke, C.; Milani, T.L. Do Carbon-Plated Running Shoes with Different Characteristics Influence Physiological and Biomechanical Variables during a 10 km Treadmill Run? Appl. Sci. 2022, 12, 7949. https://doi.org/10.3390/app12157949
Kiesewetter P, Bräuer S, Haase R, Nitzsche N, Mitschke C, Milani TL. Do Carbon-Plated Running Shoes with Different Characteristics Influence Physiological and Biomechanical Variables during a 10 km Treadmill Run? Applied Sciences. 2022; 12(15):7949. https://doi.org/10.3390/app12157949
Chicago/Turabian StyleKiesewetter, Pierre, Sabrina Bräuer, Ralf Haase, Nico Nitzsche, Christian Mitschke, and Thomas L. Milani. 2022. "Do Carbon-Plated Running Shoes with Different Characteristics Influence Physiological and Biomechanical Variables during a 10 km Treadmill Run?" Applied Sciences 12, no. 15: 7949. https://doi.org/10.3390/app12157949
APA StyleKiesewetter, P., Bräuer, S., Haase, R., Nitzsche, N., Mitschke, C., & Milani, T. L. (2022). Do Carbon-Plated Running Shoes with Different Characteristics Influence Physiological and Biomechanical Variables during a 10 km Treadmill Run? Applied Sciences, 12(15), 7949. https://doi.org/10.3390/app12157949

