Seismic Stability for 3D Two-Step Slope Governed by Non-Linearity in Soils Using Modified Pseudo-Dynamic Approach
Abstract
:1. Introduction
2. Generalized Tangential Technique and Modified Pseudo-Dynamic Method
2.1. Generalized Tangential Technique
2.2. The Modified Pseudo-Dynamic Method
2.3. Force-Increase Technique
3. Kinematical Analysis Model of 3D Soil Slopes with Two Steps
3.1. Description of the 3D Failure Mechanism in Two-Step Slopes
3.2. Internal Energy Dissipation
3.3. External Force Work
3.4. Factor of Safety
4. Results and Discussions
4.1. Comparisons
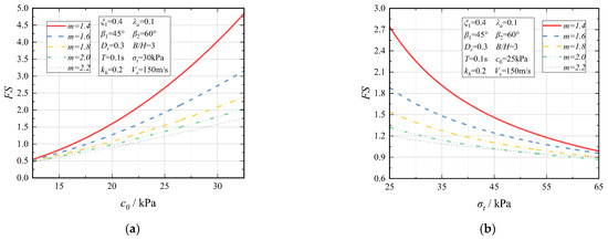
4.2. Parametric Effects Discussions
5. Conclusions
Author Contributions
Funding
Institutional Review Board Statement
Informed Consent Statement
Data Availability Statement
Conflicts of Interest
References
- Hovland, H.J. Three-dimensional slope stability analysis method. J. Geotech. Eng. Div. 1977, 103, 971–986. [Google Scholar] [CrossRef]
- Su, L.J.; Sun, C.N.; Yu, F.W.; Sarfraz, A. Seismic stability analysis of slopes with pre-existing slip surfaces. J. Mt. Sci. 2018, 15, 1331–1341. [Google Scholar] [CrossRef]
- Krahn, J. The 2001 RM Hardy Lecture: The limits of limit equilibrium analyses. Can. Geotech. J. 2003, 40, 643–660. [Google Scholar] [CrossRef]
- Luo, W.J.; Yang, X.L. 3D stability of shallow cavity roof with arbitrary profile under influence of pore water pressure. Geomech. Eng. 2018, 16, 569–575. [Google Scholar]
- Hou, C.T.; Yang, X.L. 3D stability analysis of tunnel face with influence of unsaturated transient flow. Tunn. Undergr. Space Technol. 2022, 123, 104414. [Google Scholar] [CrossRef]
- Griffiths, D.V.; Lane, P.A. Slope stability analysis by finite elements. Geotechnique 1999, 49, 387–403. [Google Scholar] [CrossRef]
- Yang, X.L.; Wang, J.M. Ground movement prediction for tunnels using simplified procedure. Tunn. Undergr. Space Technol. 2011, 26, 462–471. [Google Scholar] [CrossRef]
- Yang, X.L.; Yin, J.H. Slope stability analysis with nonlinear failure criterion. J. Eng. Mech. 2004, 130, 267–273. [Google Scholar] [CrossRef]
- Yang, X.L.; Li, L.; Yin, J.H. Seismic and static stability analysis for rock slopes by a kinematical approach. Geotechnique 2004, 54, 543–549. [Google Scholar] [CrossRef]
- Zhang, S.; Xu, Q.; Peng, D.; Zhu, Z.; Li, W.; Wong, H.; Shen, P. Stability analysis of rock wedge slide subjected to ground water dynamic evolution. Eng. Geol. 2020, 270, 105528. [Google Scholar] [CrossRef]
- Farzaneh, O.; Askari, F. Three-dimensional analysis of nonhomogeneous slopes. J. Geotech. Geoenvironmental Eng. 2003, 129, 137–145. [Google Scholar] [CrossRef]
- Michalowski, R.L.; Drescher, A. Three-dimensional stability of slopes and excavations. Géotechnique 2009, 59, 839–850. [Google Scholar] [CrossRef]
- Yang, X.L.; Yin, J.H. Upper bound solution for ultimate bearing capacity with a modified Hoek-Brown failure criterion. Int. J. Rock Mech. Min. Sci. 2005, 42, 550–560. [Google Scholar] [CrossRef]
- Steedman, R.S.; Zeng, X. The influence of phase on the calculation of pseudo-static earth pressure on a retaining wall. Geotechnique 1990, 40, 103–112. [Google Scholar] [CrossRef]
- Zeng, X.; Steedman, R.S. On the behaviour of quay walls in earthquakes. Geotechnique 1993, 43, 417–431. [Google Scholar] [CrossRef]
- Bellezza, I. A new pseudo-dynamic approach for seismic active soil thrust. Geotech. Geol. Eng. 2014, 32, 561–576. [Google Scholar] [CrossRef]
- Bellezza, I. Seismic active earth pressure on walls using a new pseudo-dynamic approach. Geotech. Geol. Eng. 2015, 33, 795–812. [Google Scholar] [CrossRef]
- Yang, X.L.; Yin, J.H. Slope equivalent Mohr-Coulomb strength parameters for rock masses satisfying the Hoek-Brown criterion. Rock Mech. Rock Eng. 2010, 39, 505–511. [Google Scholar] [CrossRef]
- Yang, X.L.; Huang, F. Collapse mechanism of shallow tunnel based on nonlinear Hoek-Brown failure criterion. Tunn. Undergr. Space Technol. 2011, 26, 686–691. [Google Scholar] [CrossRef]
- Choudhury, D.; Katdare, A.D.; Pain, A. New method to compute seismic active earth pressure on retaining wall considering seismic waves. Geotech. Geol. Eng. 2014, 32, 391–402. [Google Scholar] [CrossRef]
- Choudhury, D.; Bhattacharyya, S.K.; Pain, A. Seismic stability of retaining wall–soil sliding interaction using modified pseudo-dynamic method. Géotechnique Lett. 2015, 5, 56–61. [Google Scholar]
- Gazetas, G.; Garini, E.; Anastasopoulos, I.; Georgarakos, T. Effects of near-fault ground shaking on sliding systems. J. Geotech. Geoenvironmental Eng. 2009, 135, 1906–1921. [Google Scholar] [CrossRef] [Green Version]
- Dawson, E.M.; Roth, W.H.; Drescher, A. Slope stability analysis by strength reduction. Geotechnique 1999, 49, 835–840. [Google Scholar] [CrossRef]
- Shen, J.; Karakus, M. Three-dimensional numerical analysis for rock slope stability using shear strength reduction method. Can. Geotech. J. 2014, 51, 164–172. [Google Scholar] [CrossRef]
- Giasian, H.; Rajabian, A.; Jafari, S. Assessment of Safety Factor of Reinforced Slopes with Respect to Interaction between Soil and Geotextile. J. Transp. Res. 2016, 13, 93–100. [Google Scholar]
- Rao, P.; Wu, J.; Mo, Z. 3D Limit analysis of the transient stability of slope during pile driving in nonhomogeneous and anisotropic soil. Adv. Civ. Eng. 2020, 2020, 7560219. [Google Scholar] [CrossRef]
- Li, T.Z.; Yang, X.L. An efficient uniform design for Kriging-based response surface method and its application. Comput. Geotech. 2019, 109, 12–22. [Google Scholar] [CrossRef]








| B/H | Results | ||||
|---|---|---|---|---|---|
| 1.0 | Ns by Michalowski and Drescher | 54.850 | 23.835 | 14.701 | 11.028 |
| FS by the present method | 0.9893 | 0.9823 | 0.9993 | 0.9849 | |
| 1.5 | Ns by Michalowski and Drescher | 46.845 | 20.773 | 12.976 | 8.935 |
| FS by the present method | 0.9922 | 0.9743 | 0.9754 | 0.9924 | |
| 2.0 | Ns by Michalowski and Drescher | 42.732 | 19.103 | 12.109 | 8.604 |
| FS by the present method | 0.9994 | 0.9919 | 0.9796 | 0.9598 | |
| 3.0 | Ns by Michalowski and Drescher | 39.956 | 17.873 | 11.184 | 7.974 |
| FS by the present method | 1.0019 | 1.0010 | 0.9955 | 0.9925 | |
| 5.0 | Ns by Michalowski and Drescher | 37.994 | 17.063 | 10.628 | 7.266 |
| FS by the present method | 1.0063 | 1.0033 | 0.9986 | 0.9939 | |
| 10.0 | Ns by Michalowski and Drescher | 36.703 | 16.527 | 10.265 | 6.944 |
| FS by the present method | 1.0085 | 1.0026 | 1.0012 | 1.0004 | |
| B/H | Modified Pseudo-Dynamic Method | Original Pseudo-Dynamic Method | ||||
|---|---|---|---|---|---|---|
| kh = 0.2 | kh = 0.5 | kh = 0.8 | kh = 0.2 | kh = 0.5 | kh = 0.8 | |
| 1.5 | 1.844 | 1.747 | 1.693 | 1.855 | 1.757 | 1.688 |
| 3.0 | 1.594 | 1.527 | 1.437 | 1.589 | 1.517 | 1.429 |
| 5.0 | 1.501 | 1.440 | 1.353 | 1.502 | 1.428 | 1.358 |
| 10.0 | 1.445 | 1.378 | 1.308 | 1.445 | 1.381 | 1.322 |
| 2D | 1.412 | 1.330 | 1.276 | 1.423 | 1.333 | 1.277 |
Publisher’s Note: MDPI stays neutral with regard to jurisdictional claims in published maps and institutional affiliations. |
© 2022 by the authors. Licensee MDPI, Basel, Switzerland. This article is an open access article distributed under the terms and conditions of the Creative Commons Attribution (CC BY) license (https://creativecommons.org/licenses/by/4.0/).
Share and Cite
Yang, Y.; Zhou, D. Seismic Stability for 3D Two-Step Slope Governed by Non-Linearity in Soils Using Modified Pseudo-Dynamic Approach. Appl. Sci. 2022, 12, 6482. https://doi.org/10.3390/app12136482
Yang Y, Zhou D. Seismic Stability for 3D Two-Step Slope Governed by Non-Linearity in Soils Using Modified Pseudo-Dynamic Approach. Applied Sciences. 2022; 12(13):6482. https://doi.org/10.3390/app12136482
Chicago/Turabian StyleYang, Yushan, and De Zhou. 2022. "Seismic Stability for 3D Two-Step Slope Governed by Non-Linearity in Soils Using Modified Pseudo-Dynamic Approach" Applied Sciences 12, no. 13: 6482. https://doi.org/10.3390/app12136482
APA StyleYang, Y., & Zhou, D. (2022). Seismic Stability for 3D Two-Step Slope Governed by Non-Linearity in Soils Using Modified Pseudo-Dynamic Approach. Applied Sciences, 12(13), 6482. https://doi.org/10.3390/app12136482
