Abstract
In order to investigate the effect and mechanism of coupled mechanical–chemical activation on the hydration activity of copper slag powder, copper slag powder with different grinding time and content was applied to prepare composite cement. The hydration heat and rate of the composite cement paste were tested for 120 h. The mechanical properties and microstructure of the samples were characterized by compressive strength activity index, XRD, and SEM. The findings revealed that the specific surface area of the copper slag powder increased by 27.84%, 20.14%, and 10.92%, respectively, when the grinding time increased from 30 min to 120 min. The particle size distribution of the copper slag powder after grinding for 90 min and 120 min was superior to that of cement. The compressive strength activity index of the paste specimen increased with the extension of the copper slag grinding time when the copper slag powder content remained constant. Chemical activator CaO further stimulated the hydration activity of copper slag powder, increased the hydration heat of copper slag powder-based composite cement paste, and promoted the compressive strength of composite cement-hardened paste at different ages. With the increase in copper slag powder content, the porosity of the hardened paste increased, resulting in a decrease in compressive strength at different ages.
1. Introduction
Copper slag is an industrial solid waste generated during the copper smelting process. About 2 to 3 tons of copper slag are discharged for every ton of copper produced [1,2], mainly in the form of water-quenched copper slag. The accumulation and discharge of copper slag as solid waste slag not only occupies a large amount of land but also causes serious environmental pollution due to the heavy metal composition. Copper slag has been proven to have cementitious properties, and it can be applied as a concrete admixture instead of fly ash and slag to address admixture shortages in some areas [3]. Partial replacement of cement with copper slag not only reduces greenhouse gas emissions from cement production, but also reduces energy consumption in the cement industry. In addition, the application of copper slag in cement-based materials can also solidify the heavy metal components, reducing or eliminating the threat of copper slag to the environment [4,5]. Copper slag as a novel mineral admixture applied in cement-based materials has important economic and social benefits, so it has been widely investigated by researchers [6,7].
The main chemical composition of copper slag is SiO2 and Fe2O3, accompanied by a minor quantity of CaO and Al2O3. The crystalline phase of copper slag is mainly fayalite (2FeO·SiO2), mixed with some magnetite (FeO and Fe2O3) and quartz (SiO2) [8,9]. When copper slag is exposed to the alkaline environment of cement-based materials, the silicate species released by its glassy network decomposition can combine with the calcium hydroxide of cement hydration product to form calcium silicate aluminate hydrate [10]. However, considerable research has revealed that the hydration activity of raw copper slag is poor [11,12].
Numerous studies have been carried out to improve the hydration activity of copper slag [13,14]. Studies have shown that the activity of volcanic ash materials is positively correlated with the specific surface area. Mechanical grinding destroys the vitreous body inside the copper slag and fully exposes active components such as silicate and aluminate to the alkaline environment of cement-based materials. Mechanical grinding can enhance the hydration activity and improve the early hydration reaction progress of copper slag [15,16]. Al-Jabri [17] grinded the copper slag for 4 h, then calcined it at 750 °C for 2 h. The results showed that the copper slag-based composite admixture had high hydration activity, and the generated hydration products could fully fill the internal pores of hardened paste. When the content of copper slag-based composite admixture was 10% and 15%, the 28 d compressive strength of cement-based materials increased by 12% and 14%, respectively. Gopalakrishnan [18] prepared copper slag-based composite cement by partially replacing cement with copper slag. Experiments revealed that the incorporation of copper slag improved the mechanical properties, durability, and sulfate resistance of the composite cement. The porosity of the copper slag-based composite cement-hardened paste at each age was lower than that of the control sample. SEM images of the sample mixed with 30% copper slag showed that the C-S-H gel had a dense microstructure, which was one of the causes of the increased compressive strength.
Most studies have demonstrated that copper slag powder reduces the early compressive strength of cement-based materials, whereas alkaline activators such as lime can alleviate the negative effects of copper slag on the early compressive strength of cement-based materials [19,20]. Lan developed a new low-strength filling material mixed with copper slag. The results revealed that the copper slag powder can fully hydrate only when it reaches a certain fineness, and that particles less than 10 μm are beneficial to the early strength development. The copper slag powder grinding for 60 min was activated by CaO. The hydration products of C-S-H and C-A-H were produced by hydration of SiO2 and Al2O3 in a copper slag glass phase with lime. The 28 d strength of the new low-strength filling material reached 4.22 MPa, which can be used for underground filling materials [21].
However, the mechanism of coupled mechanical–chemical activation on the hydration activity of copper slag powder has not been fully revealed. In particular, it remains to be studied further to reveal the hydration activity of copper slag powder by means of hydration heat characterization. In order to further clarify the effect of coupled mechanical–chemical activation on the early hydration activity of copper slag powder, this work firstly studied the effect of mechanical grinding on the microstructure and particle size distribution of copper slag. The hydration activity of copper slag powder with different grinding time was characterized by the compressive strength activity index. The copper slag powder was milled for 90 min and CaO was employed as a chemical activator to stimulate the hydration activity. The hydration heat was adopted to characterize the effect of coupled mechanical–chemical activation on the hydration process of copper slag powder-based composite cement. The microstructure and hydration products of hardened cement paste were characterized by ESEM and XRD. The hydration mechanism of the mechanical–chemical coupling-activated copper slag powder composite cement was analyzed.
2. Raw Materials and Experimental Methods
2.1. Raw Materials
The experimental cement was P.O 42.5 ordinary Portland cement (OPC) provided by Jiangxi Wannianqing Cement Co., Ltd. The copper slag was provided by Jiangxi Copper Group. After removing impurities, the copper slag was dried at 100 °C for 6 h. The chemical compositions of the two materials were determined by X-ray fluorescence analysis, as shown in Table 1. It can be seen from Table 1 that the main composition of the copper slag was Fe2O3 and SiO2, and the proportion of Fe2O3 was up to 52.78%, whereas the CaO content was less, at only 2.46%.
Table 1.
Chemical composition of OPC and copper slag (wt/%).
2.2. Particle Size Distribution of Copper Slag
The copper slag was ground for 30, 60, 90, and 120 min by a ball mill (SMΦ500 × 500) to prepare copper slag powder with different fineness. A laser particle size analyzer (Mastersizer 2000) was applied to test the particle size distribution of the copper slag powder and cement. The specific surface area of the copper slag and cement was determined according to the Chinese standard “Testing Method for Specific Surface of Cement-Blaine Method” (GB/T 8074-2008).
2.3. Effect of Mechanical Activation on the Activity of Copper Slag Powder
According to the mixing ratio shown in Table 2, copper slag powder with different grinding times was employed to replace cement with 20% mass fraction. The water–binder ratio was set at 0.35. A 40 mm × 40 mm × 40 mm paste specimen was formed. The compressive strength of the paste specimen at different ages was measured after standard curing to 3, 7, and 28 d. The loading rate of compressive strength was set as (2.4 ± 0.2) kN/s.
Table 2.
Mixing ratio of copper slag powder-based composite cementitious system with different grinding times.
The calculation basis for the compressive strength activity index of the copper slag powder-based composite cement paste-hardened samples was [22,23], where is the compressive strength activity index, %. P represents the compressive strength of the pure cement sample, MPa. is the compressive strength of the copper slag powder-based composite cement samples, MPa.
2.4. Effect of Coupled Mechanical–Chemical Activation on Hydration Activity of Copper Slag Powder
Considering the copper slag grinding efficiency and actual energy consumption, the copper slag powder milled for 90 min was selected to replace cement with 20%, 30%, and 40% mass fractions. The chemical activator CaO was employed to stimulate the hydration activity of the copper slag powder by external mixing, and the mechanical–chemical coupling-activated copper slag powder composite cement was prepared. The CS series specimens were expressed as composite cement specimens mixed with copper slag powder, and the CA series specimens represent the mechanical–chemical coupling-activated copper slag powder composite cement. The CaO content in CA series samples was set to 10% of the mass of the copper slag powder. The first number in the sample code represents the amount of copper slag powder, and the second number is the grinding time of the copper slag. For example, CS20-30 denotes the composite cement system mixed with copper slag powder after grinding for 30 min, and that the content of copper slag powder was 20%. The CA20-30 sample represents the composite cement system mixed with copper slag powder after grinding for 30 min. The content of copper slag powder was 20%, and the content of CaO was 2%.
The compressive strength and compressive strength activity index of copper slag powder-based composite cement paste samples were the same as in Section 2.3.
2.5. Hydration Heat-Release Characteristics
A TAM Air eight-channel isothermal micro-calorimeter was applied to measure the hydration heat and rate of composite cement. The hydration heat and rate of copper slag powder composite cement at 20 °C were continuously recorded for 120 h. The mixing ratio of the samples for the heat of hydration test was the same as that in Table 3.
Table 3.
Mixing ratio of mechanical–chemical coupling-activated copper slag-based composite cement samples.
2.6. Characterization
The microstructure of the copper slag powder and composite cement-hardened paste was observed by ESEM (Quanta 200F, FEI Corporation, Hillsboro, OR, USA). The ESEM images of the samples were taken at a 3.0 kV acceleration voltage. The hydration products were tested by XRD (D8 Advance).
3. Results and Discussion
3.1. Grinding Characteristics
3.1.1. Micromorphology
Figure 1 displays the particle morphology of the copper slag powder at different grinding times. It can be seen that the particle morphology of the copper slag powder was mainly an irregular block, granular, and clastic. In the ESEM images of the raw copper slag and copper slag powder milled for 30 min, it can be observed that the particle size distribution of the copper slag powder was wide and contained a large number of irregular large particles of massive copper slag. With the extension of the grinding time from 30 min to 120 min, the number of bulk copper slag powder particles decreased significantly, whereas the amount of crumbly copper slag powder particles increased. The overall particle size of the copper slag powder particles became smaller, and the particle size also appeared to be more uniform. The above results show that mechanical grinding can effectively optimize the particle size distribution of copper slag powder and increase its specific surface area.
Figure 1.
Morphology of copper slag powder. (a) 0 min, (b) 30 min, (c) 60 min, (d) 90 min, and (e) 120 min.
3.1.2. Particle Size Distribution
The particle size distribution of the cement and copper slag at various grinding times is shown in Figure 2. The differential passing and cumulative passing curves of the copper slag powder gradually shifted to the left with the extension of the grinding time, indicating that the particle size distribution of the copper slag powder narrowed and the particle size became smaller, which confirmed the results of ESEM. The laser particle size test results show that most of the copper slag powder particles were less than 60 μm after grinding for 60 min. The particle size distribution of the copper slag powder after grinding for 90 min and 120 min was superior to that of cement.
Figure 2.
Particle size distribution of cement and copper slag with different grinding times. (a) Differential passing; (b) cumulative passing.
The equivalent particle size (d10, d25, d50, d75, and d90) was applied to characterize the effect of grinding time on the particle distribution of the copper slag powder [24,25]. Table 4 shows the particle characteristics of the cement and copper slag with different grinding times. It can be seen that the specific surface area of the copper slag powder increased gradually with the increase in grinding time, but the increase rate gradually slowed down with the increase in grinding time. For example, the specific surface area of the raw copper slag was 178 m2/kg, the specific surface area of the copper slag powder was 334 m2/kg after 30 min of grinding, and the specific surface area of the copper slag powder increased by 87.64% after 30 min of grinding. The specific surface area of the copper slag powder increased by 27.84%, 20.14%, and 10.92%, respectively, when the grinding time increased from 30 min to 120 min. It can also be seen from Table 4 that with the extension of the grinding time, the equivalent particle size of the copper slag powder gradually decreased. When the grinding time was extended from 0 min to 90 min, the equivalent particle size of the copper slag powder decreased rapidly. For example, the d50 of the copper slag powder decreased from 32.676 μm to 9204 μm, and the d90 decreased from 107.749 μm to 42.719 μm. When the grinding time was extended from 90 min to 120 min, the particle size distribution of the copper slag powder changed little. The d50 of the copper slag powder decreased from 9204 μm to 8178 μm, and the d90 decreased from 42.719 μm to 40.128 μm. This shows that the early grinding efficiency of the copper slag powder was high, and that the later grinding efficiency was low, which is consistent with the change in specific surface area.
Table 4.
Particle characteristics of cement and copper slag powder at different grinding times.
3.2. Mechanical Properties
3.2.1. The Effect of Mechanical Grinding on the Hydration Activity of Copper Slag Powder
Copper slag powder-based composite cement was prepared by mixing cement and copper slag powder with different grinding times in a certain proportion. Figure 3 shows the effect of mechanical grinding on the hydration activity of the copper slag powder.
Figure 3.
Effect of mechanical grinding on hydration activity of copper slag powder. (a) Compressive strength; (b) compressive strength activity index.
It can be seen from Figure 3 that the compressive strength of the specimen increased with the development of age, and showed an increasing trend with the extension of the copper slag grinding time. The compressive strength of the raw copper slag composite cement-hardened paste samples at each age was low, indicating that the hydration activity of the raw copper slag was relatively poor. When the grinding time was within 90 min, the compressive strength of each sample increased with the grinding time of the copper slag. This indicates that prolonging the grinding time was beneficial to stimulating the hydration activity of the copper slag powder, and that increasing the fineness and specific surface area of the copper slag powder promoted the development of the mechanical properties of the copper slag powder-based composite cement-hardened paste. This is because the incorporation of copper slag powder grinding for 90 min was beneficial to filling the gap between the particles of the composite cementitious system, so that the hardened paste samples obtained a higher degree of close packing, and the fine particle copper slag powder had a physical filling effect on the hardened paste samples [26]. On the other hand, mechanical grinding destroyed the dense layer on the surface of the copper slag powder, which was conducive to the dissolution of active silicon, aluminum, and other components. The active component further underwent a hydration reaction in an alkaline environment of the cement-based material to generate hydration products with cementitious properties. The formation of hydration products further enhanced the compressive strength of the hardened paste sample. When the grinding time of the copper slag was extended from 90 min to 120 min, the compressive strength of the sample did not change significantly. This is due to the fact that the fineness and specific surface area of the copper slag powder changed little after the grinding time exceeded 90 min, resulting in the compressive strength of the copper slag powder-based composite cement-hardened paste sample not changing significantly and tending to be stable.
Figure 3b shows the compressive strength activity index of the copper slag powder composite cement-hardened paste samples. Figure 3b shows that the compressive strength activity index of the sample is related to the copper slag powder content and curing age. When the copper slag grinding time was 0, 30, 60, 90, and 120 min, the 28 d compressive strength activity index of the samples was 78.95%, 83.69%, 86.57%, 89.75%, and 88.49%, respectively. It can be seen that except for the CS20-120 sample, the compressive strength activity index of the paste sample increased with the extension of copper slag grinding time when the copper slag powder content was the same. The 28 d compressive strength activity index of the raw copper slag composite cement sample was less than 80%, which is lower than the proportion of cement in the sample. The 28 d compressive strength activity index of each grinding copper slag powder composite cement-hardened paste sample was higher than 80%, indicating that the activity of the copper slag powder was activated. The compressive strength activity index of the same sample at 28 d was the largest, followed by that at 3 d, and that at 7 d was the smallest. One possible reason is that the early hydration activity of the copper slag powder was poor, and the strengthening effect on the composite cement-hardened paste mainly had a “filling effect.” The hydration activity of the copper slag powder was stimulated after 28 d of age, and the strengthening effect on the composite cement-hardened paste exhibited a “pozzolanic effect” [27]. Therefore, the compressive strength activity index of each sample at 28 d was the highest, followed by that at 3 d, and that at 7 d was the lowest.
3.2.2. Effect of Coupled Mechanical–Chemical Activation on Hydration Activity of Copper Slag Powder
In order to further improve the hydration activity of the copper slag powder, CaO was applied as a chemical activator on the basis of mechanical grinding to investigate the effect of mechanical–chemical coupling activation on the hydration activity of the copper slag powder.
Figure 4 depicts the effect of coupled mechanical–chemical activation on the hydration activity of the copper slag powder. It can be seen from Figure 4a that the compressive strength of the copper slag powder composite cement-hardened paste decreased with the increase in copper slag powder content, and increased with the development of age. When the content of copper slag was the same, the compressive strength of CA series samples at each age was higher than that of CS series hardened paste, indicating that the chemical activator CaO further stimulated the hydration activation of the copper slag and promoted the development of the compressive strength of the copper slag powder-based composite cement at each age.
Figure 4.
Effect of coupled mechanical–chemical activation on hydration activity of copper slag powder composite cement samples. (a) Compressive strength; (b) compressive strength activity index.
Similar to Figure 3b, Figure 4b shows that the compressive strength activity index of 28 d of age was higher than that of 3 d of age, and the compressive strength activity index of 7 d of age was the lowest. For example, the compressive strength activity indexes of CS20-90 at 3, 7, and 28 d were 83.8%, 79.62%, and 85.92%, respectively. The compressive strength activity index of CS40-90 at 3, 7, and 28 d were 60.01%, 54.48%, and 71.12%, respectively. It indicates that the addition of copper slag powder reduced the compressive strength of the composite cement-hardened paste. The reason is that copper slag powder can be regarded as an inert admixture at the early stage of hydration and does not participate in the hydration reaction. The higher the content of copper slag powder, the lower the cement content involved in hydration in the paste, resulting in a large decrease in the compressive strength of the sample.
3.3. Hydration Heat-Release Characteristics
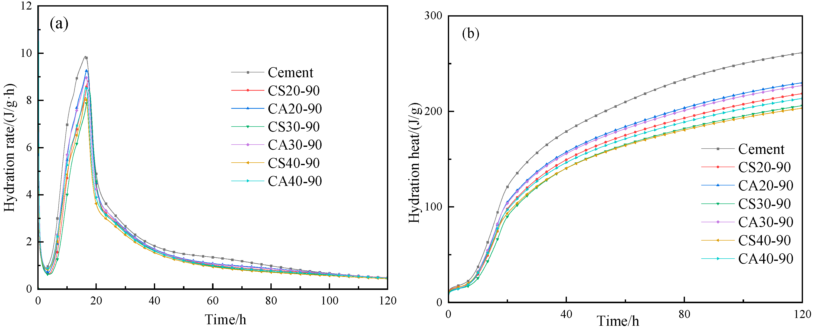
Figure 5 demonstrates the hydration rate and heat spectrum of the copper slag powder-based composite cement within 120 h. The first exothermic peak appeared immediately after the samples were mixed with water, as shown in Figure 5a, and then the hydration rate decreased rapidly and the hydration reaction entered the induction period [28]. The hydration heat-release rate in the induction period was quite low, implying that the hydration reaction of the composite cementitious system was very slow. When the concentration of Ca(OH)2 and C-S-H gel in the hydration reaction system reached supersaturation, large amounts of hydration products were formed, and the hydration reaction turned into the accelerated stage [29]. During the acceleration period, the hydration heat-release rate of the composite cementitious system began to increase, and the hydration reaction rate was accelerated. The water in the hydration reaction system was consumed rapidly, and a large number of hydration products were generated in a short amount of time. The migration diffusion barrier of unhydrated particles increased sharply, so the hydration reaction was quickly hindered, and the hydration heat release rate decreased sharply, forming the second exothermic peak with a narrow peak shape and large peak value.
Figure 5.
The (a) hydration rate and (b) hydration heat of the copper slag powder-cement composite systems at 20 °C.
The incorporation of copper slag powder also extended the induction period and the arrival time of the second exothermic peak, and the peak value of the second exothermic peak decreased from 9.87 J/(g·h) to 8.12~8.56 J/(g∙h), as shown in Figure 5a. This was due to the incorporation of copper slag powder diluting the content of cement in the cementitious system, resulting in a significant decrease in the dissolved Ca2+ concentration in the cementitious system and the extension of the time for Ca2+ to reach the oversaturated state. Therefore, the incorporation of copper slag powder prolonged the hydration induction period and delayed the occurrence of the second exothermic peak. On the other hand, due to the low hydration heat of the copper slag powder in the early hydration reaction, the incorporation of copper slag powder reduced the second exothermic peak value of the composite cement system.
It can be seen from Figure 5b that the incorporation of copper slag powder reduced the total heat release of the composite cementitious system. The total heat release of the composite cementitious system decreased with the increase in copper slag powder content. The hydration heat release of the composite cementitious system mainly included two parts. The first part was from the rapid hydration reaction of the cement. The second part originated from the slow hydration reaction of the copper slag powder [30,31]. Since the addition of copper slag powder reduced the mass fraction of cement in the hydration reaction system, the higher the content of copper slag powder, the greater the hydration heat reduction of the composite cementitious system. The hydration heat of cement, CS20-90, CA20-90, CS30-90, CA30-90, and CS40-90 at 120 h was 261.5, 218.7, 230.1, 206.0, 227.1, 203.4, and 213.6 J/g, respectively. The hydration heat of the copper slag powder-based composite cement was 16.4%, 12.0%, 21.2%, 13.2%, 22.2%, and 18.3% lower than that of pure cement, and the reduction ratio of the hydration heat was lower than the mass ratio of copper slag in the hydration reaction system, which was due to the fact that the potential hydration activity of the copper slag powder was stimulated in the alkaline environment generated by the cement hydration, and the secondary hydration reaction of the copper slag powder released a certain amount of hydration heat. The addition of the alkaline activator CaO improved the hydration heat and rate of the copper slag powder-based composite cement under the same amount of copper slag powder, as shown in Figure 5a,b. The results reveal that the potential cementitious activity of the copper slag powder was further stimulated by CaO, thus accelerating the hydration reaction process of the composite cement, which is consistent with the compressive strength results.
3.4. Hydration Products
It can be seen from Figure 6 that the hydration products of the pure cement paste samples were mainly fiber flocculent spherical hydrated calcium silicate gel, which was interspersed with a large amount of hexagonal flake calcium hydroxide, and needle-like ettringite could be observed in the large pores [32,33]. The hydration products interlaced with each other to form a continuous network structure, and the unhydrated particles were connected to form a loose system skeleton, which promoted the development of the early strength of the hardened paste. The morphology of the hydration products of hardened pastes with different copper slag powder contents was similar, but the hydration products of the copper slag powder-based composite cementitious system were more abundant. In the ESEM spectrum, the flake calcium hydroxide, needle-like ettringite, fiber flocculent spherical hydrated calcium silicate gel, and granular unhydrated cement particles could be observed. A large amount of needle-like ettringite was observed in the samples with a copper slag powder content of 30% and 40%, indicating that with the increase in copper slag powder content, the number of pores in the hardened paste of composite cement increased and the compactness of the structure deteriorated. This also reduced the compressive strength of the samples, which is consistent with the mechanical properties test results.
Figure 6.
ESEM map of 3 d of age. (a) Cement; (b) CA20-90; (c) CA30-90; (d) CA40-90.
It can be seen from Figure 7 that the hydration products of the pure cement samples at 28 d were similar to those at 3 d of age, but the structure was denser and the needle-like ettringite was not easy to observe. A large amount of needle-like ettringite could still be observed in the microscopic morphology of the CA40-90 sample mixed with copper slag powder. This indicates that the incorporation of copper slag powder led to the loose microstructure of hardened paste in the early stage, and the pores provided the growth space for the ettringite [34,35]. By comparing Figure 6 and Figure 7, it can be seen that with the development of the hydration age, the microstructure of each sample became denser, and the content of hexagonal flake calcium hydroxide increased. This indicates that the hydration degree of the hardened paste increased with the development of the hydration age, which again confirms the conclusion of the mechanical property measurement.
Figure 7.
ESEM map of 28 d of age. (a) Cement; (b) CA20-90; (c) CA30-90; (d) CA40-90.
The XRD patterns of pure cement paste and CA40-90 mixed with 40% copper slag powder at 3 and 28 d of age are shown in Figure 8.
Figure 8.
XRD patterns of samples at 3 and 28 d. (a) Cement; (b) CA40-90.
The XRD patterns show that the hydration products of the pure cement samples were mainly Ca(OH)2, CaCO3, ettringite, and unhydrated tricalcium silicate (C3S). With the extension of age, the diffraction peak of Ca(OH)2 increased, and the diffraction peak of reactant C3S gradually weakened, indicating that the hydration degree of the pure cement samples gradually increased with the increase in age. This is consistent with the ESEM test results. The types of hydration products generated by the hydration of the composite cement after mixing copper slag powder were essentially unchanged, as shown in Figure 8b. In addition to Ca(OH)2, CaCO3, ettringite, and unhydrated tricalcium silicate, a new hydration product, calcium iron oxide, was also generated. The characteristic main peak intensity of Ca(OH)2 was weaker than that of the pure cement sample, and the diffraction peak intensity of ettringite was stronger than that of the pure cement paste sample. Figure 8a,b shows that as hydration age increased, the diffraction peak of ettringite in each sample decreased, whereas the diffraction peak of Ca(OH)2 increased. The copper slag and cement clinker had similar chemical compositions. The active SiO2 in the copper slag underwent a weak pozzolanic reaction with hydration product Ca(OH)2 in the late stage of hydration as follows:
SiO2 + x Ca(OH)2 + mH2O→xCaO·SiO2·nH2O (C-S-H gel)
The active components in the copper slag promoted the hydration reaction. This is consistent with the ESEM test results.
3.5. Coupled Mechanical–Chemical Activation Mechanism
Figure 9 shows the mechanism of coupled mechanical–chemical activation of copper slag. The vitreous in the copper slag was a three-dimensional and distorted network structure that possessed high energy and could be activated under certain conditions [36,37]. Mechanical grinding increased the fineness and specific surface area of copper slag powder and exposed the active mineral components to the alkaline environment of cement-based materials. The main components of the copper slag powder were silicate crystals and amorphous phases with silicate tetrahedral polymerization networks (Figure 9a) [38]. The vitreous network structure of copper slag powder was dissociated in the alkaline environment (Figure 9b). Subsequently, the polymerization network structure of the copper slag powder was destroyed, and the internal Ca2+, Al3+, Fe2+, Fe3+, [AlO4]5−, and [SiO4]4− were precipitated into the pore solution of the hydration products. Ca2+ reacted with [SiO4]4− to form C-S-H gel with high iron content, and the hydration products were deposited on the surface of the copper slag (Figure 9c) [39]. With the continuous hydration reaction, the C-S-H gel continued to form and gradually diffused to the gap between the hydration products and the unreacted copper slag (Figure 9d).
Figure 9.
Mechanism of coupled mechanical–chemical activation of copper slag.
4. Conclusions
- (1)
- The specific surface area of the copper slag powder increased by 27.84%, 20.14%, and 10.92% when the grinding time increased from 30 min to 120 min. The particle size distribution of the copper slag powder after grinding for 90 min and 120 min was superior to that of cement.
- (2)
- The strengthening effect of the copper slag powder on the composite cement-hardened paste at 3 d of age mainly had a “filling effect,” and the strengthening effect of the copper slag powder on the composite cement-hardened paste at 28 d of age showed a “pozzolanic effect.” The chemical activator CaO further stimulated the hydration activation of the copper slag and promoted the development of the compressive strength of the copper slag powder-based composite cement at various ages.
- (3)
- The incorporation of the copper slag powder prolonged the induction period and the occurrence time of the second exothermic peak and reduced the total heat release of the composite cementitious system. The reduction ratio of the hydration heat was lower than the mass ratio of the copper slag in the hydration reaction system. With the same content of copper slag powder, the addition of alkaline activator CaO improved the hydration heat and the hydration heat of the copper slag powder-based composite cement.
- (4)
- Micro measurements demonstrated that the hydration products of the copper slag powder-based composite cementitious system mainly included calcium hydroxide, ettringite, hydrated calcium silicate gel, and unhydrated cement particles. The incorporation of copper slag powder reduced the compactness of the composite cementitious system. The new hydration product of calcium iron oxide was detected in the hardened paste of the copper slag powder-based composite cement.
- (5)
- Mechanical grinding increased the fineness and specific surface area of the copper slag powder and exposed the active mineral components to the alkaline environment of cement-based materials. The copper slag underwent hydration reactions such as dissociation of glass body structure, precipitation of internal ions, C-S-H gel formation, and hardening in the alkaline environment of cement-based materials.
Author Contributions
Writing—original draft, J.Z.; data curation, Q.L.; formal analysis, X.L.; investigation, Y.Z.; methodology, F.L.; funding acquisition, J.S. All authors have read and agreed to the published version of the manuscript.
Funding
This research was funded by Natural Science Foundation of Jiangxi Province (20202BABL204063), the 2018 Decision Consulting Project of Jiangxi Association for Science and Technology (17), the Fund of Jiangxi Provincial Department of Education (21YB230, GJJ212002), and the Key Research and Development Projects of Jiangxi Provincial Science and Technology Department (20192BBHL80006).
Institutional Review Board Statement
The article does not cover human research, so it does not cover this item.
Conflicts of Interest
The authors declared that they have no conflict of interest to this work. We declare that we do not have any commercial or associative interest that represents a conflict of interest in connection with the work submitted.
References
- Khalid, M.K.; Hamuyuni, J.; Agarwal, V.; Pihlasalo, J.; Haapalainen, M.; Lundström, M. Sulfuric acid leaching for capturing value from copper rich converter slag. J. Clean. Prod. 2019, 215, 1005–1013. [Google Scholar] [CrossRef]
- Li, S.; Pan, J.; Zhu, D.; Guo, Z.; Xu, J.; Chou, J. A novel process to upgrade the copper slag by direct reduction -magnetic separation with the addition of Na2CO3 and CaO. Powder Technol. 2019, 347, 159–169. [Google Scholar] [CrossRef]
- Gupta, N.; Siddique, R. Sulfate resistance and drying shrinkage of self-compacting concrete incorporating copper slag. J. Mater. Civ. Eng. 2020, 32, 04020389. [Google Scholar] [CrossRef]
- Gong, W.; Chen, Q.; Miao, J.J. Bond behaviors between copper slag concrete and corroded steel bar after exposure to high temperature. J. Build. Eng. 2021, 44, 103312. [Google Scholar] [CrossRef]
- Murari, K.; Siddique, R.; Jain, K.K. Use of waste copper slag, a sustainable material. J. Mater. Cycles Waste Manag. 2015, 17, 13–26. [Google Scholar] [CrossRef]
- Sharma, R.; Khan, R.A. Sustainable use of copper slag in self compacting concrete containing supplementary cementitious materials. J. Clean. Prod. 2017, 151, 179–192. [Google Scholar] [CrossRef]
- Singh, J.; Singh, S.P. Development of Alkali-activated cementitious material using copper slag. Constr. Build. Mater. 2019, 211, 73–79. [Google Scholar] [CrossRef]
- Chithra, S.; Kumar, S.R.R.S.; Chinnaraju, K.; Ashmita, F.A. A comparative study on the compressive strength prediction models for high performance concrete containing nano-silica and copper slag using regression analysis and artificial neural networks. Constr. Build. Mater. 2016, 114, 528–535. [Google Scholar] [CrossRef]
- Ambily, P.S.; Umarani, C.; Ravisankar, K.; Prem, P.R.; Bharatkumar, B.H.; Iyer, N.R. Studies on ultra-high performance concrete incorporating copper slag as fine aggregate. Constr. Build. Mater. 2015, 77, 233–240. [Google Scholar] [CrossRef]
- Feng, Y.; Kero, J.; Yang, Q.; Chen, Q.; Engström, F.; Samuelsson, C.; Qi, C. Mechanical Activation of Granulated Copper Slag and Its Influence on Hydration Heat and Compressive Strength of Blended Cement. Materials 2019, 12, 772. [Google Scholar] [CrossRef] [Green Version]
- He, R.; Zhang, S.; Zhang, X.; Zhang, Z.; Zhao, Y.; Ding, H. Copper slag: The leaching behavior of heavy metals and its applicability as a supplementary cementitious material. J. Environ. Chem. Eng. 2021, 9, 105132. [Google Scholar] [CrossRef]
- Chen, Q.; Tao, Y.; Feng, Y.; Zhang, Q.; Liu, Y. Utilization of modified copper slag activated by Na2SO4 and CaO for unclassified lead/zinc mine tailings based cemented paste backfill. J. Environ. Manag. 2021, 290, 112608. [Google Scholar] [CrossRef] [PubMed]
- Wang, D.Q.; Wang, Q.; Huang, Z.X. Reuse of copper slag as a supplementary cementitious material: Reactivity and safety. Resour. Conserv. Recycl. 2020, 162, 105037. [Google Scholar] [CrossRef]
- Ahmari, S.; Parameswaran, K.; Zhang, L. Alkali Activation of Copper Mine Tailings and Low-Calcium Flash-Furnace Copper Smelter Slag. J. Mater. Civ. Eng. 2015, 27, 04014193. [Google Scholar] [CrossRef]
- Kumar, S.; Kumar, R.; Bandopadhyay, A.; Alex, T.; Kumar, B.R.; Das, S.; Mehrotra, S. Mechanical activation of granulated blast furnace slag and its effect on the properties and structure of portland slag cement. Cem. Concr. Compos. 2008, 30, 679–685. [Google Scholar] [CrossRef]
- Bouaziz, A.; Hamzaoui, R.; Guessasma, S.; Lakhal, R.; Achoura, D.; Leklou, N. Efficiency of high energy over conventional milling of granulated blast furnace slag powder to improve mechanical performance of slag cement paste. Powder Technol. 2017, 308, 37–46. [Google Scholar] [CrossRef] [Green Version]
- Al-Jabri, K.; Shoukry, H. Use of nano-structured waste materials for improving mechanical, physical and structural properties of cement mortar. Constr. Build. Mater. 2014, 73, 636–644. [Google Scholar] [CrossRef]
- Gopalakrishnan, R.; Nithiyanantham, S. Microstructural, mechanical, and electrical properties of copper slag admixtured cement mortar. J. Build. Eng. 2020, 31, 101375. [Google Scholar] [CrossRef]
- Feng, Y.; Yang, Q.; Chen, Q.; Kero, J.; Andersson, A.; Ahmed, H.; Engström, F.; Samuelsson, C. Characterization and evaluation of the pozzolanic activity of granulated copper slag modified with CaO. J. Clean. Prod. 2019, 232, 1112–1120. [Google Scholar] [CrossRef]
- Singh, J.; Singh, S.P. Utilization of alkali-activated copper slag as binder in concrete. Front. Struct. Civ. Eng. 2021, 15, 773–780. [Google Scholar] [CrossRef]
- Lan, W.T.; Wu, A.N.; Yu, P. Development of a new controlled low strength filling material from the activation of copper slag: Influencing factors and mechanism analysis. J. Clean. Prod. 2020, 246, 119060. [Google Scholar] [CrossRef]
- Tangpagasit, J.; Cheerarot, R.; Jaturapitakkul, C.; Kiattikomol, K. Packing effect and pozzolanic reaction of fly ash in mortar. Cem. Concr. Res. 2005, 35, 1145–1151. [Google Scholar] [CrossRef]
- Chang, Z.; Long, G.; Xie, Y.; Zhou, J.L. Pozzolanic reactivity of aluminum-rich sewage sludge ash: Influence of calcination process and effect of calcination products on cement hydration. Constr. Build. Mater. 2022, 318, 126096. [Google Scholar] [CrossRef]
- Tan, H.; Li, M.; He, X.; Su, Y.; Zhang, J.; Pan, H.; Yang, J.; Wang, Y. Preparation for micro-lithium slag via wet grinding and its application as accelerator in Portland cement. J. Clean. Prod. 2020, 250, 119528. [Google Scholar] [CrossRef]
- Bullerjahn, F.; Mehringskoetter, M. Synthetic granulated blast furnace-like slag from bauxite residue smelting and its use in multi-component Portland composite cement. J. Clean. Prod. 2021, 329, 129667. [Google Scholar] [CrossRef]
- Sambangi, A.; Arunakanthi, E. Fresh and mechanical properties of SCC with fly ash and copper slag as mineral admixtures. Mater. Today-Proc. 2017, 45, 6687–6693. [Google Scholar] [CrossRef]
- Li, Q.; Li, B.; Li, X.; He, Z.; Zhang, P. Microstructure of pretreated steel slag and its influence on mechanical properties of cement stabilized mixture. Constr. Build. Mater. 2022, 317, 125799. [Google Scholar] [CrossRef]
- Han, F.; Zhang, H.; Pu, S.; Zhang, Z. Hydration heat and kinetics of composite binder containing blast furnace ferronickel slag at different temperatures. Thermochim. Acta 2021, 702, 178985. [Google Scholar] [CrossRef]
- Wang, X.Y. Analysis of hydration kinetics and strength progress in cement-slag binary composites. J. Build. Eng. 2021, 35, 101810. [Google Scholar] [CrossRef]
- Han, F.; He, X.; Zhang, Z.; Liu, J. Hydration heat of slag or fly ash in the composite binder at different temperatures. Thermochim. Acta 2017, 655, 202–210. [Google Scholar] [CrossRef]
- Huo, J.; Yu, B.; Peng, Z.; Wu, Z.; Zhang, L. Thermal control effects and mechanism of slag and fly ash on heat development of cement slurry used in hydrate formation. J. Nat. Gas Sci. Eng. 2021, 91, 103967. [Google Scholar] [CrossRef]
- Xu, G.; Du, S.; He, J.; Shi, X. The role of admixed graphene oxide in a cement hydration system. Carbon 2019, 148, 141–150. [Google Scholar] [CrossRef]
- Zhu, W.; Feng, Q.; Luo, Q.; Bai, X.; Lin, X.; Zhang, Z. Effects of PCE on the Dispersion of Cement Particles and Initial Hydration. Materials 2021, 14, 3195. [Google Scholar] [CrossRef] [PubMed]
- Li, X.; Zhang, N.; Yuan, J.; Wang, X.; Zhang, Y.; Chen, F.; Zhang, Y. Preparation and microstructural characterization of a novel 3D printable building material composed of copper tailings and iron tailings. Constr. Build. Mater. 2020, 249, 118779. [Google Scholar] [CrossRef]
- Sotiriadis, K.; Mroz, R. Simulation of thaumasite Sulfate attack on portland cement mixtures using synthesized cement phases. J. Mater. Civ. Eng. 2019, 31, 04018393. [Google Scholar] [CrossRef]
- Zhou, H.; Liu, G.; Zhang, L.; Zhou, C. Mineralogical and morphological factors affecting the separation of copper and arsenic in flash copper smelting slag flotation beneficiation process. J. Hazard. Mater. 2021, 401, 123293. [Google Scholar] [CrossRef]
- Muñoz-Cáceres, O.; Raposeiras, A.C.; Movilla-Quesada, D.; Castro-Fresno, D.; Lagos-Varas, M.; Andrés-Valeri, V.C.; Valdés-Vidal, G. Mechanical performance of sustainable asphalt mixtures manufactured with copper slag and high percentages of reclaimed asphalt pavement. Constr. Build. Mater. 2021, 304, 124653. [Google Scholar] [CrossRef]
- Yan, Z.; Sun, Z.; Yang, J.; Yang, H.; Ji, Y.; Hu, K. Mechanical performance and reaction mechanism of copper slag activated with sodium silicate or sodium hydroxide. Constr. Build. Mater. 2021, 266, 120900. [Google Scholar] [CrossRef]
- Zhang, Q.; Zhang, B.; Feng, Y.; Qi, C.; Chen, Q.; Xiao, C. Hydration development of blended cement paste with granulated copper slag modified with CaO and Al2O3. J. Mater. Res. Technol. 2022, 18, 909–920. [Google Scholar] [CrossRef]
Publisher’s Note: MDPI stays neutral with regard to jurisdictional claims in published maps and institutional affiliations. |
© 2022 by the authors. Licensee MDPI, Basel, Switzerland. This article is an open access article distributed under the terms and conditions of the Creative Commons Attribution (CC BY) license (https://creativecommons.org/licenses/by/4.0/).








