Color Recognition of Transparent Plastic Based on Multi-Wavelength Transmission Spectrum
Abstract
:1. Introduction
2. Materials and Methods
2.1. Experimental System
2.2. Sample and Spectrum Acquisition
3. Results and Discussion
3.1. Characteristics of Transmission Spectrum
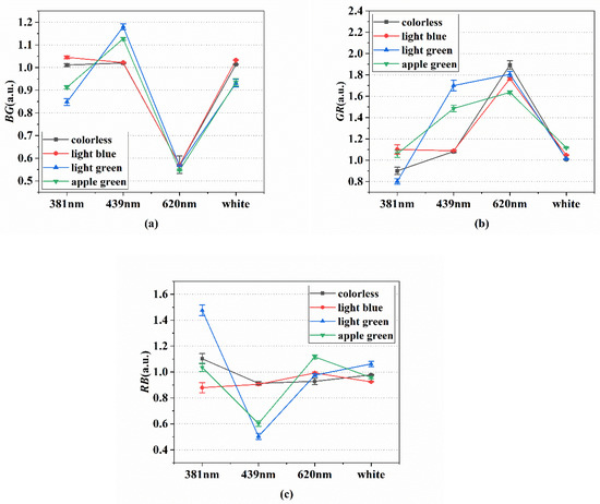
3.2. Color Feature
3.3. Establishment and Validation of Color Recognition Model
4. Conclusions
Author Contributions
Funding
Institutional Review Board Statement
Informed Consent Statement
Data Availability Statement
Conflicts of Interest
References
- Zhu, B.; Wang, D.; Wei, N. Enzyme discovery and engineering for sustainable plastic recycling. Trends Biotechnol. 2022, 40, 22–37. [Google Scholar] [CrossRef] [PubMed]
- Zhao, X.; You, F. Waste high-density polyethylene recycling process systems for mitigating plastic pollution through a sustainable design and synthesis paradigm. AIChE J. 2022, 67, e17127. [Google Scholar] [CrossRef]
- Nelms, S.E.; Easman, E.; Anderson, N.; Berg, M.; Coates, S.; Crosby, A.; Eisfeld-Pierantonio, S.; Eyles, L.; Flux, T.; Gilford, E.; et al. The role of citizen science in addressing plastic pollution: Challenges and opportunities. Environ. Sci. Policy 2022, 128, 14–23. [Google Scholar] [CrossRef]
- Horton, A.A. Plastic pollution: When do we know enough? J. Hazard. Mater. 2022, 422, 126885. [Google Scholar] [CrossRef] [PubMed]
- Fakirov, S. A new approach to plastic recycling via the concept of microfibrillar composites. Adv. Ind. Eng. Polym. Res. 2021, 4, 187–198. [Google Scholar] [CrossRef]
- Sebastian, J.; Lijo, P. Plastic recycling and regeneration. In Sustainable Manufacturing; Elsevier: Amsterdam, The Netherlands, 2021; pp. 339–365. [Google Scholar]
- Schwabl, D.; Markus, B.; Markus, L. Advancing plastic recycling by wet-mechanical processing of mixed waste fractions. Processes 2021, 9, 493. [Google Scholar] [CrossRef]
- Ferdous, W.; Manalo, A.; Siddique, R.; Mendis, P.; Zhuge, Y.; Wong, S.H.; Lokuge, W.; Aravinthan, T.; Schubel, P. Recycling of landfill wastes (tyres, plastics and glass) in construction—A review on global waste generation, performance, application and future opportunities. Resour. Conserv. Recycl. 2021, 173, 105745. [Google Scholar] [CrossRef]
- Burgess, M.; Holmes, H.; Sharmina, M.; Shaver, M.P. The future of UK plastics recycling: One bin to rule them all. Resour. Conserv. Recycl. 2021, 164, 105191. [Google Scholar] [CrossRef]
- Baran, B. Plastic recycling in Poland—A transformation towards a circular economy? Pr. Nauk. Uniw. Ekon. We Wrocławiu 2021, 65, 1–10. [Google Scholar] [CrossRef]
- Shamsuyeva, M.; Endres, H.-J. Plastics in the context of the circular economy and sustainable plastics recycling: Comprehensive review on research development, standardization and market. Compos. Part C Open Access 2021, 6, 100168. [Google Scholar] [CrossRef]
- Al-Salem, S.M.; Lettieri, P.; Baeyens, J. Recycling and recovery routes of plastic solid waste (PSW): A review. Waste Manag. 2009, 29, 2625–2643. [Google Scholar] [CrossRef] [PubMed]
- Henriksen, M.L.; Karlsen, C.B.; Klarskov, P.; Hinge, M. Plastic classification via in-line hyperspectral camera analysis and unsupervised machine learning. Vib. Spectrosc. 2021, 118, 103329. [Google Scholar] [CrossRef]
- Tan, Z.; Fei, Z.; Zhao, B.; Yang, J. Identification for recycling polyethylene terephthalate (pet) plastic bottles by polarization vision. IEEE Access 2021, 9, 27510–27517. [Google Scholar] [CrossRef]
- Chen, X.; Kroell, N.; Wickel, J.; Feil, A. Determining the composition of post-consumer flexible multilayer plastic packaging with near-infrared spectroscopy. Waste Manag. 2021, 123, 33–41. [Google Scholar] [CrossRef]
- Srigul, W.; Inrawong, P.; Kupimai, M. Plastic classification base on correlation of RGB color. In Proceedings of the 2016 13th International Conference on Electrical Engineering/Electronics, Computer, Telecommunications and Information Technology (ECTI-CON), Chiang Mai, Thailand, 28 June–1 July 2016. [Google Scholar]
- Zhou, X.; Chen, J.; Zhu, K. Intelligent Sorting Method of Plastic Bottles Based on Convolution Neural Network. Digit. Manuf. Sci. 2021, 19, 227–232. [Google Scholar]
- Peršak, T.; Viltužnik, B.; Hernavs, J.; Klančnik, S. Vision-based sorting systems for transparent plastic granulate. Appl. Sci. 2020, 10, 4269. [Google Scholar] [CrossRef]
- Wang, Z.; Peng, B.; Huang, Y.; Sun, G. Classification for plastic bottles recycling based on image recognition. Waste Manag. 2019, 88, 170–181. [Google Scholar] [CrossRef]
- Mouli, C.C.; Jyothi, P.; Pradeep, K.P.J.; Raju, K.N. Design, Implementation and Comparative Study of Supervised Classification Algorithms for Object Sorting. IOSR J. Electr. Electron. Eng. 2014, 9, 51–60. [Google Scholar] [CrossRef]
- Erkinay Ozdemir, M.; Ali, Z.; Subeshan, B.; Asmatulu, E. Applying machine learning approach in recycling. J. Mater. Cycles Waste Manag. 2021, 23, 855–871. [Google Scholar] [CrossRef]
- Pelletier, M.G.; Holt, G.A.; Wanjura, J.D. A plastic contamination image dataset for deep learning model development and training. AgriEngineering 2020, 2, 317–321. [Google Scholar] [CrossRef]
- Zulkifley, M.A.; Mustafa, M.M.; Hussain, A.; Mustapha, A.; Ramli, S. Robust Identification of Polyethylene Terephthalate (PET) Plastics through Bayesian Decision. PLoS ONE 2014, 9, e114518. [Google Scholar] [CrossRef] [PubMed] [Green Version]
- Zhang, R.; Ma, X.; Shen, X.; Zhai, Y.; Zhang, T.; Ji, C.; Hong, J. PET bottles recycling in China: An LCA coupled with LCC case study of blanket production made of waste PET bottles. J. Environ. Manag. 2020, 260, 110062. [Google Scholar] [CrossRef] [PubMed]
- Singh, Y.K. Detection of Fire Regions Using RGB Color Variance. Int. J. Res. Eng. Sci. 2021, 9, 10–14. [Google Scholar]
- Wu, L. Fundamental Principle of Plastic Colouring. Plastics 1989, 5, 42–44+55. [Google Scholar]
- Xu, H. Color technical principle and its application to dyeing and finishing (II). China Dye. Finish. 2005, 19, 40–44. [Google Scholar]
- Berns, R.S. Billmeyer and Saltzman’s Principles of Color Technology; John Wiley & Sons: Hoboken, NJ, USA, 2019. [Google Scholar]
- He, W. Research on Text Classification Algorithm Based on Naive Bayes. Master’s Thesis, Nanjing University of Posts and Telecommunications, Nanjing, China, 2018. [Google Scholar]
- Theodoridis, S. Machine Learning: A Bayesian and Optimization Perspective; Academic Press: Cambridge, MA, USA, 2015. [Google Scholar]




| Colorless | Light Blue | Light Green | Apple Green | ||
|---|---|---|---|---|---|
| 381 nm | BG | 1.011 | 1.045 | 0.848 | 0.913 |
| GR | 0.900 | 1.101 | 0.802 | 1.061 | |
| RB | 1.102 | 0.879 | 1.476 | 1.036 | |
| 439 nm | BG | 1.020 | 1.022 | 1.180 | 1.127 |
| GR | 1.082 | 1.089 | 1.700 | 1.485 | |
| RB | 0.913 | 0.905 | 0.503 | 0.602 | |
| 620 nm | BG | 0.571 | 0.571 | 0.568 | 0.547 |
| GR | 1.893 | 1.764 | 1.806 | 1.636 | |
| RB | 0.928 | 0.993 | 0.975 | 1.117 | |
| white | BG | 1.014 | 1.033 | 0.931 | 0.935 |
| GR | 1.009 | 1.048 | 1.012 | 1.118 | |
| RB | 0.978 | 0.924 | 1.062 | 0.957 |
| Coefficient of Variation | Mean of Coefficient of Variation | ||||
|---|---|---|---|---|---|
| 381 nm | 439 nm | 620 nm | white | ||
| BG | 0.095 | 0.073 | 0.021 | 0.054 | 0.061 |
| GR | 0.165 | 0.228 | 0.070 | 0.063 | 0.132 |
| RB | 0.185 | 0.267 | 0.080 | 0.060 | 0.148 |
| True | |||||
|---|---|---|---|---|---|
| Predicted | Class | 1 | 2 | 3 | 4 |
| 1 | 1.0 | 0.0 | 0.0 | 0.0 | |
| 2 | 0.0 | 1.0 | 0.0 | 0.0 | |
| 3 | 0.0 | 0.0 | 1.0 | 0.0 | |
| 4 | 0.0 | 0.0 | 0.0 | 1.0 | |
Publisher’s Note: MDPI stays neutral with regard to jurisdictional claims in published maps and institutional affiliations. |
© 2022 by the authors. Licensee MDPI, Basel, Switzerland. This article is an open access article distributed under the terms and conditions of the Creative Commons Attribution (CC BY) license (https://creativecommons.org/licenses/by/4.0/).
Share and Cite
Shi, C.; Dai, F.; Lu, C.; Yu, S.; Lu, M.; Gao, X.; Wang, Z.; Zhang, S. Color Recognition of Transparent Plastic Based on Multi-Wavelength Transmission Spectrum. Appl. Sci. 2022, 12, 4948. https://doi.org/10.3390/app12104948
Shi C, Dai F, Lu C, Yu S, Lu M, Gao X, Wang Z, Zhang S. Color Recognition of Transparent Plastic Based on Multi-Wavelength Transmission Spectrum. Applied Sciences. 2022; 12(10):4948. https://doi.org/10.3390/app12104948
Chicago/Turabian StyleShi, Chaoyi, Fuliang Dai, Cuiping Lu, Shaohui Yu, Meina Lu, Xianhe Gao, Zhongma Wang, and Sheng Zhang. 2022. "Color Recognition of Transparent Plastic Based on Multi-Wavelength Transmission Spectrum" Applied Sciences 12, no. 10: 4948. https://doi.org/10.3390/app12104948
APA StyleShi, C., Dai, F., Lu, C., Yu, S., Lu, M., Gao, X., Wang, Z., & Zhang, S. (2022). Color Recognition of Transparent Plastic Based on Multi-Wavelength Transmission Spectrum. Applied Sciences, 12(10), 4948. https://doi.org/10.3390/app12104948

