Research on TBM Cutterhead Crack Damage and Fatigue Reliability
Abstract
1. Introduction
2. Analysis of TBM Cutterhead Crack Damage Characteristics
2.1. Dangerous Area Analysis of Cutterhead
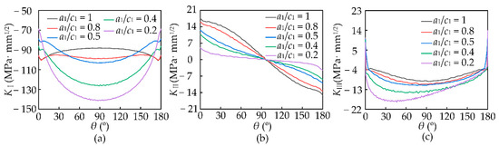
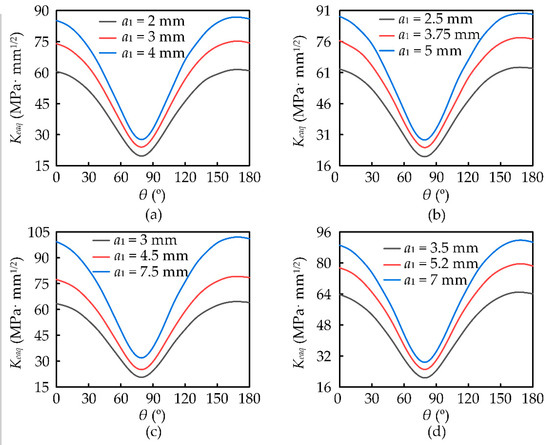
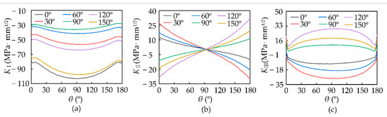
2.2. Calculation of the Stress Intensity Factor and an Analysis of the Influencing Factors
3. Fatigue Reliability Analysis of the Cutterhead Crack
3.1. The Fatigue Reliability Evaluation Model of Cutterhead Crack
3.2. Variable Digital Features
3.3. The JC Method’s Basic Principle and Calculation Process
3.4. The Fatigue Reliability Calculation Results and Analysis
4. Discussion
5. Conclusions
Author Contributions
Funding
Informed Consent Statement
Data Availability Statement
Conflicts of Interest
References
- Rostami, J.; Chang, S. A closer look at the design of cutterheads for Hard Rock Tunnel-Boring Machines. Engineering 2017, 3, 892–904. [Google Scholar] [CrossRef]
- Zare Naghadehi, M.; Mikaeil, R. Optimization of Tunnel Boring Machine (TBM) disc cutter spacing in Jointed Hard Rock using a distinct element numerical simulation. Period. Polytech. Civ. Eng. 2017, 61, 56–65. [Google Scholar] [CrossRef]
- Labra, C.; Rojek, J.; Oñate, E. Discrete/finite element modelling of rock cutting with a TBM disc cutter. Rock Mech. Rock Eng. 2017, 50, 621–638. [Google Scholar] [CrossRef]
- Li, J.B.; Zhang, Z.G.; Meng, Z.C.; Huo, J.Z.; Xu, Z.H.; Chen, J. Tunnel boring machine cutterhead crack propagation life prediction with time integration method. Adv. Mech. Eng. 2019, 11, 1687814019853451. [Google Scholar] [CrossRef]
- Fatemi, S.A.; Ahmadi, M.; Rostami, J. Evaluation of TBM performance prediction models and sensitivity analysis of input parameters. Bull. Eng. Geol. Environ. 2016, 77, 501–513. [Google Scholar] [CrossRef]
- Hasanpour, R.; Rostami, J.; Ünver, B. 3D finite difference model for simulation of double shield TBM tunneling in squeezing grounds. Tunn. Undergr. Space Technol. 2014, 40, 109–126. [Google Scholar] [CrossRef]
- Kim, K.; Kim, J.; Ryu, H.; Rehman, H.; Jafri, T.H.; Yoo, H.; Ha, S. Estimation method for TBM cutterhead drive design based on Full-Scale tunneling tests for application in utility tunnels. Appl. Sci. 2020, 10, 5187. [Google Scholar] [CrossRef]
- Liu, C.; Peng, Z.H.; Pan, L.F.; Liu, H.; Yang, Y.B.; Chen, W.Y.; Jiang, H.Q. Influence of Tunnel Boring Machine (TBM) advance on adjacent tunnel during Ultra-Rapid Underground Pass (URUP) Tunneling: A Case Study and Numerical Investigation. Appl. Sci. 2020, 10, 3746. [Google Scholar] [CrossRef]
- Zhu, Y.; Wang, X.L. The research of TBM cutterhead crack propagation rate model during full stage. Eng. Fail. Anal. 2020, 118, 104806. [Google Scholar] [CrossRef]
- Kavvadas, M.; Litsas, D.; Vazaios, I.; Fortsakis, P. Development of a 3D finite element model for shield EPB tunneling. Tunn. Undergr. Space Technol. 2017, 65, 22–34. [Google Scholar] [CrossRef]
- Zhu, Y.; Sun, W.; Huo, J.Z. Structural performance evaluation and analysis of TBM cutterhead in complex condition. J. Harbin Eng. Univ. 2018, 39, 121–128. (In Chinese) [Google Scholar]
- Sun, W.; Zhu, Y.; Huo, J.Z.; Huang, X.Q. Predict and analysis the loactions of fatigue crack in TBM cutterhead based on crack failure regions division. J. Mech. Eng. 2018, 54, 27–35. (In Chinese) [Google Scholar] [CrossRef]
- Acaroglu, O. Prediction of thrust and torque requirements of TBMs with fuzzy logic models. Tunn. Undergr. Space Technol. 2011, 26, 267–275. [Google Scholar] [CrossRef]
- Tan, J.Q.; Tan, Q.; Xia, Y.M.; Xu, Z.J.; Qu, X.L. Numerical Study on process of breaking rock with TBM cutter in different cutting orders. Appl. Mech. Mater. 2010, 1021, 1583–1586. [Google Scholar] [CrossRef]
- Xia, Y.M.; Ouyang, T.; Zhang, X.M.; Luo, D.Z. Mechanical model of breaking rock and for characteristic of disc cutter. J. Cent. South Univ. 2012, 19, 1846–1852. [Google Scholar] [CrossRef]
- Faramarzi, L.; Kheradmandian, A.; Azhari, A. Evaluation and optimization of the effective parameters on the ShieldTBM performance: Torque and thrust—Using Discrete Element Method (DEM). Geotech. Geol. Eng. 2020, 38, 2745–2759. [Google Scholar] [CrossRef]
- Geng, Q.; Wei, Z.Y.; Meng, H.; Macias, F.J. Mechanical performance of TBM cutterhead in mixed rock ground conditions. Tunn. Undergr. Space Technol. 2016, 57, 76–84. [Google Scholar] [CrossRef]
- Xia, Y.M.; Zhu, X.H.; Lin, L.K.; Yang, M. Analysis of influence factors on load of TBM cutterhead. Mod. Mod. Manuf. Eng. 2015, 9, 1–6. (In Chinese) [Google Scholar]
- Sun, H.Y.; Guo, W.; Liu, J.Q.; Song, L.W.; Liu, X.Q. Layout design for disc cutters based on analysis of TBM cutter-head structure. J. Cent. South Univ. 2018, 25, 812–830. [Google Scholar] [CrossRef]
- Ling, J.X.; Sun, W.; Yang, X.J.; Lian, G.F.; Jiang, J.B. Analysis of stress intensity factors for a TBM cutterhead crack in complex stress states. J. Harbin Eng. Univ. 2017, 38, 633–639. (In Chinese) [Google Scholar]
- Yu, H.D.; Li, Y.Y.; Li, L. Evaluating some dynamic aspects of TBMs performance in uncertain complex geological structures. Tunn. Undergr. Space Technol. 2020, 96, 103216. [Google Scholar] [CrossRef]
- Yoo, C.; Kim, J. Tunneling performance prediction using an integrated GIS and neural network. Comput. Geotech. 2007, 34, 19–30. [Google Scholar] [CrossRef]
- Khademi Hamidi, J.; Shahriar, K.; Rezai, B.; Rostami, J. Performance prediction of hardrock TBM using Rock Mass Rating (RMR) system. Tunn. Undergr. Space Technol. 2010, 25, 333–345. [Google Scholar] [CrossRef]
- Gao, X.J.; Shi, M.L.; Song, X.G.; Zhang, C.; Zhang, H.W. Recurrent neural networks for real-time prediction of TBM operating parameters. Autom. Constr. 2019, 98, 225–235. [Google Scholar] [CrossRef]
- Li, J.; Li, P.; Guo, D.; Li, X.; Chen, Z. Advanced prediction of tunnel boring machine performance based on big data. Geosci. Front. 2021, 12, 331–338. [Google Scholar] [CrossRef]
- Ouyang, X.Y.; Sun, W.; Huo, J.Z. Prediction of cutterhead crack initiation lifetime for tunnel boring machine under multi-point distribution loads. Mech. Sci. Technol. Aerosp. Eng. 2016, 35, 1484–1488. (In Chinese) [Google Scholar]
- Ling, J.X.; Sun, W.; Huo, J.Z.; Guo, L. Study of TBM cutterhead fatigue crack propagation life based on multi-degree of freedom coupling system dynamics. Comput. Ind. Eng. 2015, 83, 1–14. [Google Scholar] [CrossRef]
- Han, M.D.; Cai, Z.X.; Qu, C.Y.; Jin, L.S. Dynamic numerical simulation of cutterhead loads in TBM tunnelling. Tunn. Undergr. Space Technol. 2017, 70, 286–298. [Google Scholar] [CrossRef]
- Beretta, S.; Patriarca, L.; Rabbolini, S. Stress Intensity Factor calculation from displacement fields. Fract. Struct. Integr. 2017, 11, 269–276. [Google Scholar] [CrossRef]
- Kaushik, V.; Ghosh, A. Fatigue life estimation and crack propagation analysis of orthotropic lamina using XIGA methodology. Mech. Adv. Mater. Struct. 2019, 26, 2062–2077. [Google Scholar] [CrossRef]
- Habibi, N.; Asadi, S.; Moradikhah, R. Evaluation of SIF in FGM Thick-walled Cylindrical Vessel. J. Stress Anal. 2017, 2, 57–68. [Google Scholar]
- Caicedo, J.; Portela, A. Direct computation of stress intensity factors in finite element method. Eur. J. Comput. Mech. 2017, 26, 309–335. [Google Scholar] [CrossRef]
- Giannella, V. Stochastic approach to fatigue crack-growth simulation for a railway axle under input data variability. Int. J. Fatigue 2021, 144, 106044. [Google Scholar] [CrossRef]
- Giannella, V.; Perrella, M.; Citarella, R. Efficient FEM-DBEM coupled approach for crack propagation simulations. Theor. Appl. Fract. Mech. 2017, 91, 76–85. [Google Scholar] [CrossRef]
- Giannella, V.; Fellinger, J.; Perrella, M.; Citarella, R. Fatigue life assessment in lateral support element of a magnet for nuclear fusion experiment “Wendelstein 7-X”. Eng. Fract. Mech. 2017, 178, 243–257. [Google Scholar] [CrossRef]
- Chen, F.Y.; Lu, B.J.; Zhao, S.P.; Cheng, D. Reliability assessment and fatigue life of Jacket Platform based on the theory of crack propagation. Ship Eng. 2019, 41, 53–57. (In Chinese) [Google Scholar]
- Hu, Y.R.; Li, D.Q.; Chen, B.Z. Fatigue Reliability Analysis of the Ship and Ocean Engineering Structures, 4th ed.; Harbin Engineering University Press: Harbin, China, 2010; pp. 163–188. [Google Scholar]
- Rackwitz, R.; Flessler, B. Structural Reliability under combined random load sequences. Comput. Struct. 1978, 9, 489–494. [Google Scholar] [CrossRef]
- Zhao, J.G.; Jia, H.Y.; Zhan, Y.L.; Xiang, Z.Y.; Zheng, S.X.; Bi, Y. Combination of LS-SVM algorithm and JC method for fragility analysis of deep-water high piers subjected to near-field ground motions. Structures 2020, 24, 282–295. [Google Scholar] [CrossRef]
- Xiao, J.Z.; Xie, Q.H.; Hou, Y.Z.; Li, Z.W. Reliability analysis of high-strength concrete columns during a Fire. Key Eng. Mater. 2015, 3529, 273–278. [Google Scholar] [CrossRef]
- Zhou, X.P.; Zhai, S.F. Estimation of the cutterhead torque for earth pressure balance TBM under mixed-face conditions. Tunn. Undergr. Space Technol. 2018, 74, 217–229. [Google Scholar] [CrossRef]
- Ida, N.; Meyendorf, N. Handbook of Advanced Nondestructive Evaluation, 1st ed.; Springer International Publishing: Cham, Switzerland, 2019; pp. 235–251. [Google Scholar]











| Density | Young’s Modulus | Poisson’s Ratio | Yield Strength |
|---|---|---|---|
| 7850 kg·m−3 | 210 GPa | 0.3 | 345 MPa |
| Rock | Density | Elastic Modulus | Poisson’s Ratio | Internal Friction Angle | UCS |
|---|---|---|---|---|---|
| kg/mm3 | MPa | ° | MPa | ||
| Concrete | 2.36 × 10−6 | 22,000 | 0.2 | 50.8 | 10 |
| Shale | 2.55 × 10−6 | 26,230 | 0.18 | 47.5 | 48 |
| Slate | 3.1 × 10−6 | 23,000 | 0.28 | 50.1 | 75 |
| Sandstone | 2.65 × 10−6 | 25,000 | 0.3 | 46.5 | 104 |
| Marble | 2.5 × 10−6 | 27,600 | 0.3 | 53 | 150 |
| Basic Variable | Distribution Form | Mean Value | Coefficient of Variation |
|---|---|---|---|
| a0 | Logarithmic normal | 2 mm | 0.08 |
| ac | Logarithmic normal | 80 mm | 0.05 |
| C | Logarithmic normal | 2 × 10−13 | 0.25 |
| B | Logarithmic normal | 0.7 | 0.5 |
| BY | Logarithmic normal | 0.8 | 0.15 |
| m | Logarithmic normal | 4.66 | 0.02 |
| TD | Constant | 500,000 |
Publisher’s Note: MDPI stays neutral with regard to jurisdictional claims in published maps and institutional affiliations. |
© 2021 by the authors. Licensee MDPI, Basel, Switzerland. This article is an open access article distributed under the terms and conditions of the Creative Commons Attribution (CC BY) license (http://creativecommons.org/licenses/by/4.0/).
Share and Cite
Wang, D.; Qu, C. Research on TBM Cutterhead Crack Damage and Fatigue Reliability. Appl. Sci. 2021, 11, 2111. https://doi.org/10.3390/app11052111
Wang D, Qu C. Research on TBM Cutterhead Crack Damage and Fatigue Reliability. Applied Sciences. 2021; 11(5):2111. https://doi.org/10.3390/app11052111
Chicago/Turabian StyleWang, Ding, and Chuanyong Qu. 2021. "Research on TBM Cutterhead Crack Damage and Fatigue Reliability" Applied Sciences 11, no. 5: 2111. https://doi.org/10.3390/app11052111
APA StyleWang, D., & Qu, C. (2021). Research on TBM Cutterhead Crack Damage and Fatigue Reliability. Applied Sciences, 11(5), 2111. https://doi.org/10.3390/app11052111

