Assessment of the Bearing Capacity of Bridge Foundation on Rock Masses
Abstract
:1. Introduction
2. Analytical Formulation for the Ultimate Bearing Capacity
3. Numerical Analysis
4. Results and Discussion
4.1. Bearing Capacity for Weightless Rock
4.1.1. The Correlation between Numerical (PhFDM) and Analytical (PhS&O) Results
4.1.2. Displacement Analysis
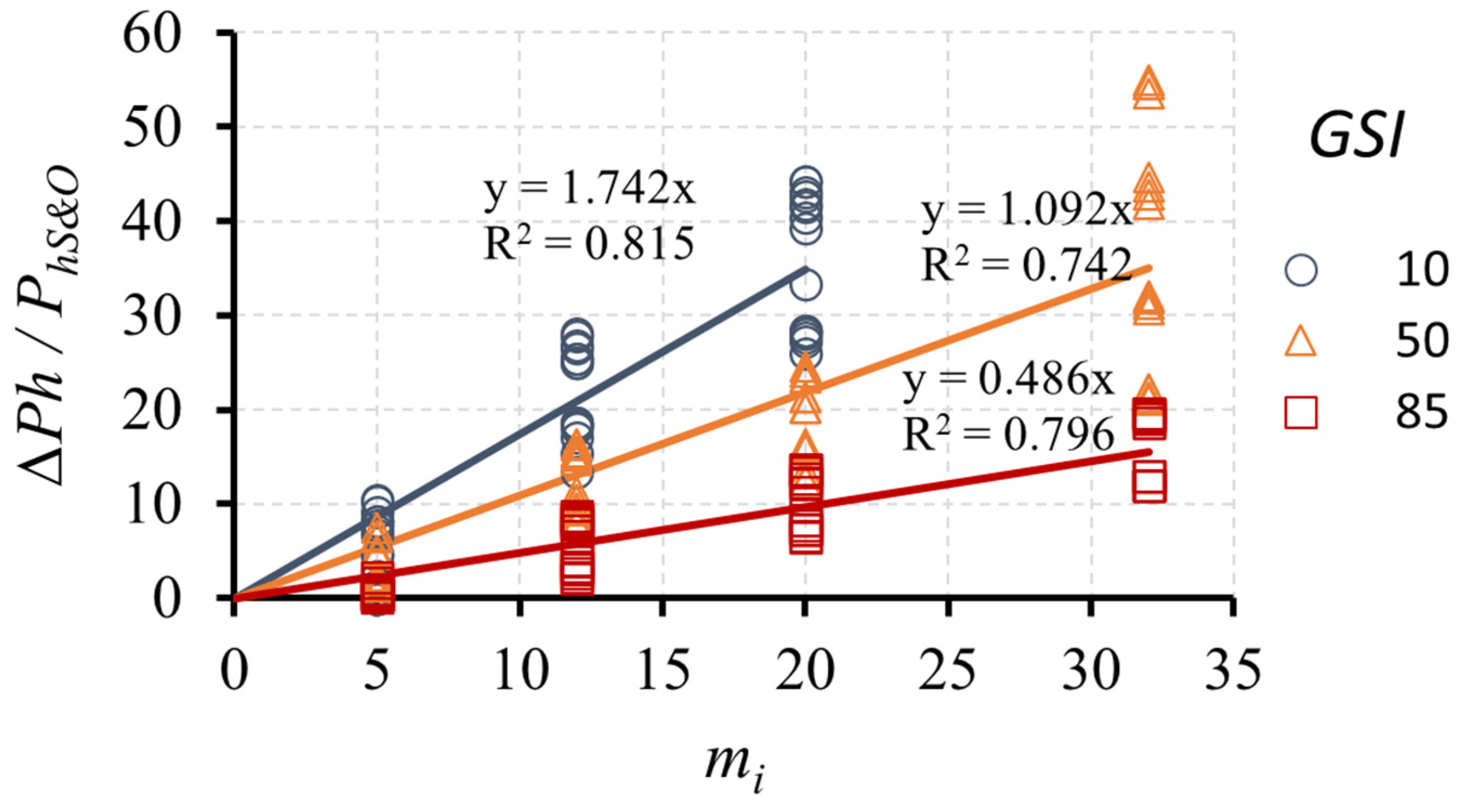
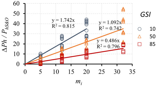
4.2. The Influence of the Self-Weight on Bearing Capacity
Self-Weight Correction Factor (WF)
5. The Influence of the Self-Weight on Bearing Capacity
6. Conclusions
- The parameters that have most impact on the value of the bearing capacity are GSI and UCS, observing an exponential influence with increasing values of those parameters.
- Depending on the combination of the GSI, the UCS and the footing width (B), the influence of the self-weight of the material may be less than 5% on the value of the bearing capacity in cases with high UCS and GSI or may exceed as much as 400% for very low values of GSI (GSI = 10) and UCS (UCS = 5 MPa).
- The rock type (mi) and the foundation width (B) influence the correlation of the results obtained with and without self-weight, however, depending on the combination of the UCS and the GSI.
- Through the classical soil mechanics self-weight coefficient, the increase in the bearing capacity differs considerably from the estimated using the proposed coefficient for rock masses based on the numerical calculations through the finite difference method. This happens because the rock mass does not have a constant angle of friction, thus depending on the value of the self-weight factor (WF) on UCS and GSI.
- Based on the numerical and analytical results, the WF coefficient can be used in conjunction with the analytical method, to estimate in a semi-analytical way the bearing capacity of a bridge foundation, once, due to the foundation size, a great contribution of the self-weight on the bearing capacity is expected.
Author Contributions
Funding
Institutional Review Board Statement
Informed Consent Statement
Data Availability Statement
Acknowledgments
Conflicts of Interest
Abbreviations
| mi | geological origin of the rock mass |
| σc = UCS | uniaxial compressive strength |
| GSI | geological strength index |
| σ1 | major principal stress (σ1) |
| σ3 | minor principal stress (σ3) |
| D | alteration factor |
| m, s | Hoek–Brown’s parameter |
| α | inclination of free boundary |
| f1 | load acting on a free surface |
| i1 | inclination of the load on the free boundary |
| Ph | bearing capacity of the foundation |
| i2 | inclination of the load on the foundation boundary |
| Ia | Riemann’s invariant |
| ρ2 | instantaneous friction angle at the boundary 2 |
| ρ1 | instantaneous friction angle at the boundary 1 |
| Ψ1 | the direction of the principal stress at the boundary 1 |
| Ψ2 | the direction of the principal stress at the boundary 2 |
| βa | normalized characteristic strength |
| >ζa | tenacity coefficient |
| bearing capacity factor | |
| B | foundation width |
| PhFDM | numerical bearing capacity using FDM |
| PhS&O | analytical bearing capacity |
| increment of the bearing capacity observed in numerical method using FDM | |
| PhWL | bearing capacity considering weightless rock mass |
| PhSW | bearing capacity with the self-weight deduced from the FDM |
| WF | self-weight correction factor |
| ρmean | mean friction of the two boundaries |
| specific weight of the ground | |
| bearing capacity factor corresponding to the self-weight in formulations of the soils |
References
- Terzaghi, K. Theoretical Soil Mechanics; Wiley: New York, NY, USA, 1943. [Google Scholar]
- Meyerhof, G.G. The ultimate bearing capacity of foundations. Geotechnique 1951, 2, 301–332. [Google Scholar] [CrossRef]
- Sokolovskii, V.V. Statics of Soil Media; Jones, A., Ed.; Schofield Butterworths Science: London, UK, 1965. [Google Scholar]
- Sloan, S.W. Lower bound limit analysis using finite elements and linear programming. Int. J. Numer. Anal. Methods Geéomeéch. 1988, 12, 61–77. [Google Scholar] [CrossRef]
- Sloan, S.; Kleeman, P. Upper bound limit analysis using discontinuous velocity fields. Comput. Methods Appl. Mech. Eng. 1995, 127, 293–314. [Google Scholar] [CrossRef]
- Griffiths, D.V. Computation of bearing capacity factors using finite elements. Geotechnique 1982, 32, 195–202. [Google Scholar] [CrossRef]
- Merifield, R.; Lyamin, A.; Sloan, S. Limit analysis solutions for the bearing capacity of rock masses using the generalised Hoek–Brown criterion. Int. J. Rock Mech. Min. Sci. 2006, 43, 920–937. [Google Scholar] [CrossRef]
- Millán, M.A.; Galindo, R.; Alencar, A. Application of discontinuity layout optimization method to bearing capacity of shallow foundations on rock masses. ZAMM 2021, 101, e201900192. [Google Scholar] [CrossRef]
- Millán, M.A.; Galindo, R.; Alencar, A. Application of Artificial Neural Networks for Predicting the Bearing Capacity of Shallow Foundations on Rock Masses. Rock Mech. Rock Eng. 2021, 54, 5071–5094. [Google Scholar] [CrossRef]
- Hansen, J.B. A Revised and Extended Formula for Bearing Capacity. Dan. Geotech. Inst. Cph. Bull. 1970, 28, 5–11. [Google Scholar]
- Hoek, E.; Brown, E.T. Empirical strength criterion for rock masses. J. Geotech. Eng. Div. ASCE 1980, 106, 1013–1035. [Google Scholar] [CrossRef]
- Hoek, E.; Brown, E.T. Practical estimates of rock mass strength. Int. J. Min. 1997, 34, 1165–1186. [Google Scholar] [CrossRef]
- Hoek, E.; Carranza-Torres, C.; Corkum, B. Hoek-Brown failure criterion—2002 Edition. In Proceedings of the NARMS-TAC, Mining Innovation and Technology, Toronto, Canada, 7–10 July 2002; pp. 267–273. [Google Scholar]
- Serrano, A.; Olalla, C. Ultimate bearing capacity of rock masses. Int. J. Rock Mech. Min. Sci. Geomech. Abstr. 1994, 31, 93–106. [Google Scholar] [CrossRef]
- Serrano, A.; Olalla, C.; González, J. Ultimate bearing capacity of rock masses based on the modified Hoek–Brown criterion. Int. J. Rock Mech. Min. Sci. 2000, 37, 1013–1018. [Google Scholar] [CrossRef]
- Serrano, A.; Olalla, C.; Galindo, R. Ultimate bearing capacity of an anisotropic rock mass using the modified Hoek and Brown failure criterion. Int. J. Rock Mech. Min. Sci. 2016, 83, 24–40. [Google Scholar] [CrossRef]
- Serrano, A.; Olalla, C.; Galindo, R. Ultimate bearing capacity at the tip of a pile in rock using the modified Hoek and Brown failure criterion. Int. J. Rock Mech. Min. Sci. 2014, 71, 83–90. [Google Scholar] [CrossRef]
- Serrano, A.; Olalla, C.; Galindo, R. Shaft resistance of a pile in rock based on the modified Hoek–Brown criterion. Int. J. Rock Mech. Min. Sci. 2015, 76, 138–145. [Google Scholar] [CrossRef]
- Galindo, R.; Serrano, A.; Olalla, C. Ultimate bearing capacity of rock masses based on modified Mohr-Coulomb strength criterion. Int. J. Rock Mech. Min. Sci. 2017, 93, 215–225. [Google Scholar] [CrossRef]
- Serrano, A.; Galindo, R.; Perucho, A. Ultimate Bearing Capacity of Low-Density Volcanic Pyroclasts: Application to Shallow Foundations. Rock Mech. Rock Eng. 2021, 54, 1647–1670. [Google Scholar] [CrossRef]
- Bower, A.F. Applied Mechanics of Solids; CRC Press: Boca Raton, FL, USA, 2009. [Google Scholar] [CrossRef]
- Carter, J.P.; Kulhawy, F.H. Analysis and Design of Foundations Socketed into Rock; Report No. EL-5918; Empire State Electric Engineering Research Corporation and Electric Power Research Institute: New York, NY, USA, 1988; p. 158. [Google Scholar]
- AASHTO. LRFD Bridge Design Specifications, 6th ed; American Association of State Highway and Transport Officials: Washington, DC, USA, 2012. [Google Scholar]
- Frank, R. Designers’ Guide to EN 1997-1 Eurocode 7: Geotechnical Design-General Rules; Thomas Telford: Telford, UK, 2004; Volume 17. [Google Scholar]
- Miranda, T.; Martins, F.F.; Araújo, N. Design of spread foundations on rock masses according to Eurocode 7. In Proceedings of the 12th International Congress on Rock Mechanics, Beijing, China, 16–21 October 2011. [Google Scholar]
- Galindo, R.; Millán, M. An accessible calculation method of the bearing capacity of shallow foundations on anisotropic rock masses. Comput. Geotech. 2020, 131, 103939. [Google Scholar] [CrossRef]
- Cao, Z.; Xu, B.; Cai, Y.; Galindo-Aires, R.; Li, C. Solution of the Ultimate Bearing Capacity at the Tip of a Pile in Anisotropic Discontinuous Rock Mass Based on the Hoek–Brown Criterion. Int. J. Geéomeéch. 2021, 21, 04020254. [Google Scholar] [CrossRef]
- Alencar, A.; Galindo, R.; Melentijevic, S. Influence of the groundwater level on the bearing capacity of shallow foundations on the rock mass. Bull. Int. Assoc. Eng. Geol. 2021, 80, 6769–6779. [Google Scholar] [CrossRef]
- Melentijevic, S.; Alencar, A.S.; Galindo, R. Failure mechanisms developed in rock masses under circular footing. In Proceedings of the XVII ECSMGE-2019, Reykjavik, Iceland, 1–6 September 2019. [Google Scholar]
- Alencar, A.S.; Galindo, R.; Melentijevic, S. Bearing capacity of foundation on rock mass depending on footing shape and interface roughness. Geomech. Eng. 2019, 18, 391–406. [Google Scholar]
- Simic, P.; Martínez-Bacas, B.; Galindo, R.; Simic, D. 3D simulation for tunnelling effects on existing piles. Comput. Geotech. 2020, 124, 103625. [Google Scholar] [CrossRef]
- Alencar, A.S.; Galindo, R.; Melentijevic, S. Bearing capacity of shallow foundations on the bilayer rock. Geomech. Eng. 2020, 21, 11–21. [Google Scholar]
- Panique, D.; Galindo, R.; Patiño, H. Bearing capacity of shallow foundation under cyclic load on cohesive soil. Comput. Geotech. 2020, 123, 103556. [Google Scholar] [CrossRef]
- Lazcano, D.R.P.; Aires, R.G.; Nieto, H.P. Long-term dynamic bearing capacity of shallow foundations on a contractive cohesive soil. Acta Geotech. 2021. [Google Scholar] [CrossRef]
- Galindo, R.; Illueca, M.; Jiménez, R. Permanent deformation estimates of dynamic equipment foundations: Application to a gas turbine in granular soils. Soil Dyn. Earthq. Eng. 2014, 63, 8–18. [Google Scholar] [CrossRef]
- Achmus, M.; Thieken, K. On the behavior of piles in non-cohesive soil under combined horizontal and vertical loading. Acta Geotech. 2010, 5, 199–210. [Google Scholar] [CrossRef]
- Conte, E.; Pugliese, L.; Troncone, A.; Vena, M. A Simple Approach for Evaluating the Bearing Capacity of Piles Subjected to Inclined Loads. Int. J. Geéomeéch. 2021, 21, 04021224. [Google Scholar] [CrossRef]
- Graine, N.; Hjiaj, M.; Krabbenhoft, K. 3D failure envelope of a rigid pile embedded in a cohesive soil using finite element limit analysis. Int. J. Numer. Anal. Methods Geéomeéch. 2020, 45, 265–290. [Google Scholar] [CrossRef]
- Zheng, X.; Booker, J.; Carter, J. Limit analysis of the bearing capacity of fissured materials. Int. J. Solids Struct. 2000, 37, 1211–1243. [Google Scholar] [CrossRef]
- Sutcliffe, D.; Yu, H.; Sloan, S. Lower bound solutions for bearing capacity of jointed rock. Comput. Geotech. 2004, 31, 23–36. [Google Scholar] [CrossRef]
- Lyamin, A.V.; Sloan, S.W. Lower bound limit analysis using non-linear programming. Int. J. Numer. Methods Eng. 2002, 55, 573–611. [Google Scholar] [CrossRef]
- Lyamin, A.V.; Sloan, S.W. Upper bound limit analysis using linear finite elements and non-linear programming. Int. J. Numer. Anal. Methods Geomech. 2002, 26, 181–216. [Google Scholar] [CrossRef]
- Yang, X.; Yin, J. Upper bound solution for ultimate bearing capacity with a modified Hoek-Brown failure criterion. Int. J. Rock Mech. Sci. 2005, 42, 550–560. [Google Scholar] [CrossRef]
- Saada, Z.; Maghous, S.; Garnier, D. Bearing capacity of shallow foundations on rocks obeying a modified Hoek–Brown failure criterion. Comput. Geotech. 2008, 35, 144–154. [Google Scholar] [CrossRef]
- Keshavarz, A.; Kumar, J. Bearing capacity of foundations on rock mass using the method of characteristics. Int. J. Numer. Anal. Methods Geéomeéch. 2017, 42, 542–557. [Google Scholar] [CrossRef]
- Galindo, R.; Alencar, A.; Isik, N.S.; Olalla Marañón, C. Assessment of the Bearing Capacity of Foundations on Rock Masses Subjected to Seismic and Seepage Loads. Sustainability 2020, 12, 10063. [Google Scholar] [CrossRef]
- Tajeri, S.; Sadrossadat, E.; Bazaz, J.B. Indirect estimation of the ultimate bearing capacity of shallow foundations resting on rock masses. Int. J. Rock Mech. Min. Sci. 2015, 80, 107–117. [Google Scholar] [CrossRef]
- Alavi, A.H.; Sadrossadat, E. New design equations for estimation of ultimate bearing capacity of shallow foundations resting on rock masses. Geosci. Front. 2016, 7, 91–99. [Google Scholar] [CrossRef]
- Itasca Consulting Group Inc. FLAC User’s Manual, Minneapolis; Itasca Consulting Group Inc.: Minneapolis, MN, USA, 2007. [Google Scholar]
- De Ojeda, P.S.; Sanz, E.; Galindo, R.; Escavy, J.I.; Menéndez-Pidal, I. Retrospective analysis of the Pico del Castillo de Vinuesa large historical landslide (Cordillera Iberica, Spain). Landslides 2020, 17, 2837–2848. [Google Scholar] [CrossRef]
- De Ojeda, P.S.; Sanz, E.; Galindo, R. Historical reconstruction and evolution of the large landslide of Inza (Navarra, Spain). Nat. Hazards 2021, 109, 2095–2126. [Google Scholar] [CrossRef]
- International Society for Rock Mechanics (ISRM). Rock Characterization Testing and Monitoring; Pergamon Press: New York, NY, USA, 1981; p. 211. [Google Scholar]
- Vesic, A.S. Analysis of ultimate loads of shallow foundations. J. Soil Mech. Found. Div. Am. Soc. Civ. Eng. 1973, 99, 45–73. [Google Scholar] [CrossRef]
- Serrano, A.; Olalla, C. Ultimate bearing capacity at the tip of a pile in rock—Part 1: Theory. Int. J. Rock Mech. Min. Sci. 2002, 39, 833–846. [Google Scholar] [CrossRef]
- Clausen, J. Bearing capacity of circular footings on a Hoek–Brown material. Int. J. Rock Mech. Min. Sci. 2013, 57, 34–41. [Google Scholar] [CrossRef]

















| mi | B (m) | UCS (MPa) | GSI |
|---|---|---|---|
| 5 (claystone) | 4.5 | 5 | 10 50 85 |
| 12 (gypsum) | 11 | 10 | |
| 20 (sandstone) | 16.5 | 50 | |
| 32 (granite) | 22 | 100 |
| Cases | UCS (MPa) | PhFDM (MPa) | PhS&O (MPa) | ||
|---|---|---|---|---|---|
| mi = 5 B = 11 m GSI = 10 | 1 | 5 | 0.22 | 0.22 | |
| 2 | 10 | 0.46 | 0.44 | ||
| 3 | 50 | 2.22 | 2.22 | ||
| 4 | 100 | 4.47 | 4.44 | ||
| mi = 20 B = 11 m GSI = 10 | 5 | 5 | 1.05 | 0.82 | |
| 6 | 10 | 2.1 | 1.65 | ||
| 7 | 50 | 10.5 | 8.18 | ||
| 8 | 100 | 20.8 | 16.52 | ||
| GSI | Equations |
|---|---|
| 10 | |
| 50 | |
| 85 |
| GSI | Equations |
|---|---|
| 10 | |
| 50 | |
| 85 |
| Cases (mi = 12, B = 22 m, UCS = 5 MPa) | GSI | ||||||
|---|---|---|---|---|---|---|---|
| ρ1 (°) | ρ2 (°) | ρmean (°) | Ph1 (MPa) | Ph2 (MPa) | |||
| 1 | 10 | 64 | 28.8 | 38.8 | 2.2 | 26.2 | 0.92 |
| 2 | 50 | 62.6 | 22.2 | 32.1 | 8.4 | 14.6 | 0.42 |
| 3 | 85 | 53.3 | 19.6 | 28.2 | 30.6 | 30.9 | 0.01 |
Publisher’s Note: MDPI stays neutral with regard to jurisdictional claims in published maps and institutional affiliations. |
© 2021 by the authors. Licensee MDPI, Basel, Switzerland. This article is an open access article distributed under the terms and conditions of the Creative Commons Attribution (CC BY) license (https://creativecommons.org/licenses/by/4.0/).
Share and Cite
Alencar, A.; Galindo, R.; Olalla Marañón, C.; Melentijevic, S. Assessment of the Bearing Capacity of Bridge Foundation on Rock Masses. Appl. Sci. 2021, 11, 12068. https://doi.org/10.3390/app112412068
Alencar A, Galindo R, Olalla Marañón C, Melentijevic S. Assessment of the Bearing Capacity of Bridge Foundation on Rock Masses. Applied Sciences. 2021; 11(24):12068. https://doi.org/10.3390/app112412068
Chicago/Turabian StyleAlencar, Ana, Rubén Galindo, Claudio Olalla Marañón, and Svetlana Melentijevic. 2021. "Assessment of the Bearing Capacity of Bridge Foundation on Rock Masses" Applied Sciences 11, no. 24: 12068. https://doi.org/10.3390/app112412068
APA StyleAlencar, A., Galindo, R., Olalla Marañón, C., & Melentijevic, S. (2021). Assessment of the Bearing Capacity of Bridge Foundation on Rock Masses. Applied Sciences, 11(24), 12068. https://doi.org/10.3390/app112412068

