Abstract
Moment-independent importance (MII) analysis is known as a global sensitivity measurement in qualifying the influence of uncertainties, which is taken as a crucial step towards seismic performance analysis. Most MII analysis is based on Monte Carlo simulation, which leads to a high computational cost since a large number of nonlinear time history analyses are required to obtain the probability density function. To address this limitation, this study presents a computational efficient MII analysis to investigate the uncertain parameters in the seismic demands of bridges. A modified four-point-estimate method is derived from Rosenblueth’s two-point-estimate method. Thus, the statistical moments of a bridge’s seismic demands can be obtained by several sampling points and their weights. Then, the shifted generalized lognormal distribution method is adopted to estimate the unconditional and conditional probability density functions of seismic demands, which are used for the MII analysis. The analysis of seismic demands based on piers and bearings in a finite element model of a continuous girder bridge is taken as a validation example. The MII measures of the uncertain parameters are estimated by just several nonlinear time history analyses at the point-estimate sampling points, and the results by the proposed method are compared with those found by Monte Carlo simulation.
1. Introduction
It is well known that seismic demand stands at the core of the seismic vulnerability analysis of structures [1]. There are many kinds of structural seismic demands such as pier displacement ductility and residual drift, which have been studied in seismic fragility evaluations [2]. However, due to the inherent randomness in engineering structures or a lack of knowledge, many uncertainties exist in structural seismic demands and capacities. The seismic vulnerability created by having to consider all uncertain items can lead to a computational burden. Therefore, to quantitatively model engineering structures and propagate the uncertainties, it is necessary to conduct a sensitivity analysis to the seismic requirements from a mass of uncertain parameters [3].
The sensitivity analysis of uncertain parameters in civil engineering has been developed to study the contributions of the structural input uncertain parameters or the relative conditions to the structural output variables. Generally, sensitivity analyses are divided into local sensitivity analysis and global sensitivity analysis [4]. Local sensitivity analysis is defined as the rank of the output fluctuations with respect to the input perturbation around nominal values such as the derivatives of the dynamical equation [5]. However, the local sensitivity analysis cannot reflect the effects of the uncertain parameters on the structural responses globally for the nonlinear models. Therefore, much global sensitivity analysis is applied to quantify the effects of the parameters on the uncertainties at the entire distribution ranges of those structural demands, such as the use of the information entropy importance method [6], MII method [7] and variance importance method [8]. However, the assumption of the variance importance method is not usually reasonable since taking variance as a measure of uncertainty is not sufficient to describe output variability [9]. In this regard, the former two methods have been used in the sensitivity analysis of uncertain parameters for seismic demands in recent years. Yazdani et al. investigated the sensitivity of uncertainties, including ground motion variables and structural properties, on the demand parameters for two benchmark reinforced concrete frame buildings. The entropy-based importance indexes of uncertainties were obtained by running nonlinear time history analyses (NTHA) one thousand times in Monte Carlo (MC) simulations [10]. Song et al. applied the MII and variance importance methods to analyse the sensitivity of uncertain parameters involved in the seismic demands of bridge structures by MC simulations and kernel density estimation, respectively [11]. Xu and Wang applied the Sobol sequence instead of MC methods to simulate the samples of eight uncertain parameters and the orthogonal polynomial estimation method to obtain the MII measures on four seismic demands of steel-reinforced concrete frame structures [12]. The aforementioned studies on the global sensitivity analysis of uncertain parameters to seismic demands are based on sampling-based methods such as MC simulation or Sobol sequences, which require a large number of NTHA of structural models because the global sensitivity index evaluation involves a double loop simulation to propagate the uncertainties for evaluation of the unconditional and the conditional probability density function (PDF) of seismic demands.
Due to the high computational cost of sampling-based MII analysis, a highly efficient uncertainty propagation technology is necessary. The uncertainty PDF propagating problem can be converted to a reconstruction PDF by the use of fractional statistical moments. The point-estimate method (PEM) has been proven to be an effective tool to estimate statistical moments of model outputs from the several moments of the input variables, which can significantly reduce the computational cost caused by MC simulations [13]. Rosenblueth’s two-PEM (2PEM) [14,15] and Hong’s three-PEM (3PEM) [16,17] are generally applied in the probabilistic framework for engineering problems, since they require only the first three and four order moments of the input uncertain variables, respectively. For more than three estimate points, moments higher than the fourth-order are necessary, which have less physical meaning in engineering and greatly increase computational burden [18]. However, the increased number of estimate points can improve the accuracy of PEM. In this regard, Che et al. proposed an improved three-PEM (I3PEM) scheme for the probabilistic power flow calculation by adding a new pair of estimate points to Hong’s three-PEM [18]. They concluded that the performance of I3PEM is better than that of 3PEM and 2PEM in the results of power flow calculation with Normal distribution inputs, correlated inputs and bi-modal distribution inputs. Moreover, it avoided the calculation of higher order center moments. However, non-real number solutions may occur with normalized center distances since Hong’s 3PEM involves this in their method.
Therefore, statistical moments of model output can be evaluated by the PEM, and the reconstruction of the PDF of model output becomes a moment problem. The moment problem indicates that the PDF of an uncertain variable is unique when knowing the infinite orders of moments and the non-uniqueness when less than three moments are known [19]. Apparently, knowing the infinite order moments of an uncertain variable is impossible, but the first four moments are very common in engineering since they all have clear physical meaning embedded in a large amount of probabilistic information. Therefore, plenty of parameterized probability distribution (PPD) methods for the first four moments have been proposed, such as saddlepoint approximation [13,20], the maximum entropy model [21], the Pearson system and Johnson system [22] and shifted generalized lognormal distribution (SGLD) [23]. The core idea of PPD is to construct the unknown PDF by a parameterized function with undetermined parameters, which can be uniquely determined by the first four moments. As a result, the PEM combined with PPD can be an uncertainty propagation method for evaluating the unconditional and conditional PDF of seismic demand instead of the sampling-based method.
The aforementioned discussions indicate that most of the reported works on global sensitivity analysis of seismic demand were conducted by tens of thousands of MC simulations. To address this limitation, an efficient moment-independent global sensitivity analysis is proposed in this paper. Inspired by [18], a modified four-point-estimated method (4PEM) is derived to obtain the moments of a bridge’s seismic demands by adding a new pair of points to the previous 2PEM to avoid the non-real number solutions and the calculation of the fourth order moments of Hong’s 3PEM. Then, the unconditional and conditional probability density function (PDF) of seismic demands can be obtained by SGLD. The modified 4PEM combined with the SGLD method are applied to MII analysis on the global sensitivity of the uncertain structural parameters on seismic demand for a bridge structure model. The ranking of the MII index can screen out which uncertain parameter has a significant influence on the seismic demand. The results are compared with those of the MC simulation method to verify their accuracy and the effectiveness of this method.
The contents of this paper are divided as follows: In Section 2, the derivation of the proposed efficient MII method is addressed, in which the equations of the MII index are demonstrated in Section 2.1, a modified 4PEM is derived in Section 2.2, the modified 4PEM is combined with the SGLD method for MII analysis in Section 2.3, and Section 2.4 summarizes the procedures of the proposed method. Section 3 demonstrates the numerical example, in which the details of the bridge model are provided in Section 3.1, the uncertainties of structural properties and the uncertainty of material properties are listed in Section 3.2, the characterization of a bridge’s seismic demands denoted by the pier demand and the bearing demand is introduced in Section 3.3, and Section 3.4 lists the MII results of 4PEM and MC simulation. Finally, concluding remarks with the merits of the proposed method are presented in the conclusion.
2. An Efficient Algorithm for Moment-Independent Importance Analysis
An efficient method for computing MII indexes based on the novel 4PEM will be investigated to avoid the large number of NTHA involved in MC simulation. The proposed method requires only the first three moments of the input random variables instead of the PDF required in MC simulation. The first three moments are very common and accessible in engineering since they all have clear physical meaning.
2.1. Moment-Independent Importance Index
Consider an input–output system represented by
where is the n-dimensional vector of the structural input variables with random uncertainties. is the output seismic demand with uncertainty propagated by through the nonlinear function . Therefore, if follows a certain distribution, the PDF of can be evaluated.
Denote as the unconditional PDF of and as the conditional PDF with fixed at one implementation value . The area difference between and demonstrates the entire influence of the individual input distribution, which is denoted as [15]
The MII index of is defined by half of the expectation of [7]
where is the marginal PDF of .
From Equations (1)–(4), the MII index can be interpreted as an average influence quantification on the PDF of output seismic demand, while the input variable is fixed over their PDF ranges.
Reference [13] summarized the advantages of the MII index and highlighted that MII is not limited to any specific moment, unlike with the variance importance method or the Sobol’s indices. Thus, it can reflect the influence of the input uncertainties on the output uncertainty more comprehensively.
2.2. The Modified 4PEM
To improve the efficiency of MII estimation, the key is to obtain the PDF and with a low computational cost. PEM is an efficient way to propagate the probability characteristics. Its key point is to obtain the moments of the output according to the several moments of the input variable by times propagations of points through the input–output system .
Designate the first r central moments of as . The first three are the mean, the standard deviation and the skew. PEM sampling coefficients and the corresponding weights can be determined by [15]
where is the ratio of to the -th power of , i.e., and for , respectively. With the solutions of and from Equation (5), the -th order raw moment of can be evaluated by [16]
in which means the realization of when is taking its location denoted by and the other variables of fixing on their mean values .
When m = 2, the PEM is specialized as 2PEM denoted by the solution of Equation (5) [14,15]
According to Equations (5)–(6), the moment of can be estimated more accurately when more points are taken into propagation. Che et al. [18] proposed an improved 3PEM scheme by adding the new pair of estimate points to Hong’s 3PEM [16]. Hong’s computation of the sample points’ locations may lead to imaginary solutions, especially when the input variable has a skewed distribution. So Hong’s technique is not always appropriate for practical civil engineering since the randomness of a structure probably follows a non-negative distribution. That is why a novel 4PEM is proposed in which a new pair of points are added to Rosenblueth’s 2PEM. This new method not only keeps the advantages of 2PEM, which easily yields real solutions and with relatively little computation, but also increases the accuracy of 2PEM. Moreover, only the first three moments of the input parameters are necessary for the 4PEM, while Che’s [18] and Hong’s [16] methods need the first four.
Substitute m = 2 and r = 1, 2 to Equation (5) and let all the weights take the same value, then a pair of new solutions of Equation (5) can be obtained as [18]
The proposed 4PEM is the combination of the new pair of points and the former two points , thus, the corresponding weights will conflict with the inherent condition, which is . In this regard, all the weights for these four points need to be reduced by half and the demonstration of the modified 4PEM is
To evaluate the unconditional PDF and the conditional PDF of Equation (11), the fractional statistical moments of and (the model output under the condition of ) need to be determined. By the virtue of 4PEM, the moments of can be easily determined by Equation (6). By fixing , is transformed into (n − 1)-dimensional by removing . The new sets of locations for denoted as can be generated by implementing 4PEM on . The q-th order moments of the conditional output can be determined by
2.3. Moment-Independent Sensitivity Analysis Based on 4PEM and SGLD
Equation (3) can be interpreted as the first order raw moment of . Therefore, it can be re-written by 4PEM according to Equation (6).
Since Equation (3) is the function of univariate , only the realization of corresponding to the location needs to be determined by
in which is the conditional PDF under the condition of fixing at its 4PEM locations . Thus, to get the MII index, only and need to be evaluated from the first four moments of and , which can be obtained in Section 2.2.
For the global sensitivity analysis of structural seismic demand, the requirements of PPD are (i) reconstruction unimodal distribution for the output, which is the inherent properties of seismic demand, (ii) more suitable for the skewed distribution of input since most uncertain parameters of a civil structure follow the non-negative distribution, and (iii) accurate estimation for the distribution tail because the distribution tail behavior is crucial for engineering applications [24]. By considering all of the three factors above and the trading among the existing PPD methods, the authors picked the SGLD method to reconstruct the and . The core idea of SGLD is to construct the unknown PDF by a parameterized function with undetermined parameters, which can be uniquely determined by the first four moments. The SGLD is briefly demonstrated as follows.
The PDF model of SGLD is written as [23]
in which , is the gamma function. In Equation (13), only four parameters and are to be identified and they can be determined by the first four raw moments of , which can be written by [24]
Eventually, the four parameters can be solved by these four equations: , , and in which represents the i-th central moment. Thus, and can be evaluated by the first four moments of and , respectively. The MII index can be finally solved by Equations (11) and (4).
2.4. The Procedures of the Proposed Method
The moment-independent sensitivity analysis procedure involved in the modified 4PEM and SGLD is summarized as follows.
- Set the input vector composed of the uncertain parameters from structural and material properties.
- Implement 4PEM to the structural uncertain parameter vector to obtain the locations and weights .
- Change the uncertain parameters in the structural model according to and obtain the samples of seismic demand through NTHA.
- Calculate the first four moments of by Equation (6).
- Evaluate through SGLD.
- Fix at and implement 4PEM to to obtain the new locations and weights . Repeat step (2)~(4) to obtain .
- Calculate the expectation by Equations (12) and (11) and obtain the MII index by Equation (4).
- Repeat step (5) and (6) until the MII index calculation of all the variables of is finished.
The procedures of this section are summarized in Figure 1.
Figure 1.
The flow chart of the proposed method.
It is worth noting that the samples for NTHAs with this new integrated algorithm are only , while the MC simulation [24] requires a large number of NTHAs. In MC procedure, the realizations of can be obtained from NTHA by inputting samples of . can be evaluated from the realizations of by kernel density estimation. By the same procedure, can be evaluated by fixing in which is one of the samples of . The evaluation of the conditional PDF is then repeated with all samples. Then, the expectation can be obtained by averaging the estimates . Using MC simulation to derive MII indexes clearly involves a large number of samples, including samples for unconditional PDF calculation and for every variable of , so in total. The smallest useful number of samples for MC simulation is about 100, so if , that results in requiring more than samples for each variable. For civil structures, one sample means one propagation through an NTHA for a large engineering finite element model. Clearly, MC simulation may entail a huge computation burden, to the point that it might even be difficult to calculate the MII index for structural seismic demand. Evidently, this new integrated algorithm dramatically improves the computational efficiency compared to MC simulation.
3. Numerical Example
3.1. Bridge Model Description
As shown in Figure 2, a three-span continuous girder bridge, which consists of three spans each of 30 m, was modeled by OpenSees software. The superstructure is a box girder with a cross-section area of and Elastic modulus MPa (C40 concrete). Since the stiffness of the superstructure is much larger than that of the substructure, the girder is not likely or expected to show nonlinear behaviour during seismic events. The girder is simplified using 15 linear elastic beam–column elements along the central axis, and the form and structural differences along the superstructure are ignored. Each pier of the bridge is 10 m high and 1.5 m in diameter. The concrete material is C30 with 0.06 m cover thickness. There are 36 longitudinal reinforcement bars arranged in the circumferential direction of the pier section. Along the vertical direction of the pier column, stirrups are arranged with 1.5% stirrup ratio. The reinforced concrete piers were each divided into four elements with five integrated points and modeled by force-based fiber-section beam–column elements for simulating the material nonlinearities and the force interaction. The material model in OpenSees was employed for uniaxial constitutive behavior of both confined and unconfined concrete. Its constitutive model is characterized by four parameters: peak compressive strength (), strain at the peak strength (), strain at the crushing strength (), ratio at uploading slope at and initial slope (). The modified Giuffre–Menegotto–Pinto (GMP) material constitutive law ( model in OpenSees [25]) was employed to model the uniaxial behavior of the steel fibers. The four main parameters of steel02 are the elastic Young’s modulus (), initial yield stress (), strain hardening ratio () and a parameter () describing the curvature of the transition curve between the asymptotes of the elastic and plastic branches during the first loading. The bearings on the top of the four piers are all laminated rubber bearings (LRBs) and modeled by the zero-length element for transferring the loading from the superstructure to the piers. The model was employed to simulate the bilinear hysteretic of LRB, which is defined by the initial elastic stiffness , yield strength and strain hardening ratio . Additionally, the Rayleigh damping model with a critical damping ratio of 5% was assumed. The NTHA was carried out by OpenSees software to obtain the output response.
Figure 2.
Nonlinear finite element model of the continuous girder bridge finite element model.
The base excitation was at the bottom of the four piers. The El Centro ground motion with PGA of 0.8 g was excited in the longitudinal direction to generate the strong nonlinear behavior of the bridge. The uncertainty of the earthquake was not considered in this paper.
3.2. Uncertain Parameters
Analysis of the influence of many uncertain items is one of the valuable properties of seismic demand analysis. The modeling parameters are divided into two categories: the uncertainties of structural properties and the uncertainty of material properties. The selection strategy and the distribution of two kinds of uncertainties is provided in this subsection [26,27].
The uncertainties of structural properties mainly affect the global dynamic characteristics of the bridge structures. According to the previous works [28], the mass per length of the superstructure is often assumed following a normal distribution with mean value as its designed value and 10% of the coefficient of variation (COV). According to [29], the post-yield stiffness of LRB is often uncertain and assumed to follow the normal distribution with 14% of the COV.
For some existing bridges, the deterioration of material properties may causes material uncertainties. According to [30,31], the relevant corrosion-induced deterioration of reinforced concrete structures manifests in the form of the degradation in the mechanical properties of steel rebars and the loss of concrete strength. In this regard, the initial yield stress () and the peak compressive strength () of are taken as uncertainties. Besides the deterioration affect, the uncertainties involved in bridge seismic fragility analysis should be considered, since they may involve the nonlinearity of the structural seismic response [32]. According to [32,33], the peak compressive strength (), the strain at the peak strength () and the strain at the crushing strength () of are considered to be uncertain parameters following lognormal distribution. For , the elastic Young’s modulus (), the initial yield stress () and the strain hardening ratio () are considered to be uncertain parameters following lognormal distribution since they have a greater influence on the nonlinear behavior of longitudinal reinforcement [32,34].
All the aforementioned uncertain parameters are taken as the independent uncertain inputs in the following global sensitivity analysis. For clear demonstration, their abbreviations and statistical information details are listed in Table 1.
Table 1.
Statistical information of the uncertain parameters.
3.3. Characterization of Bridges’ Seismic Demands
Structural demand is generally defined as the damage measure of the structural components when given a certain intensity of ground motion. In this paper, both the pier columns and the LRBs are taken as vulnerable components since they may behave nonlinearly under strong ground motions.
For the pier seismic demand, the curvature-based and displacement-based damage index are commonly used since bend failure usually occurs on the reinforced concrete pier columns under earthquake events. It is easier to record the displacement than the curvature. Therefore, the displacement ductility is employed as the pier seismic demand, which is defined by [34]: where is the critical value of pier top displacement at the i-th level of damage state and is the pier top displacement when the longitudinal reinforcement first yields. Because is a constant value at a certain level of damage state, the influence of uncertainties to the pier seismic demand is equivalent to the max pier top displacement (MPTD).
It is worth noting that the curvature ductility ratio is also a well-known pier seismic demand parameter, which can be defined as ( and are the sectional curvature and sectional yield curvature, respectively) [35]. Neilson et al. expressed the curvature ductility ratio in terms of the top displacement, the height and plastic hinge length of the pier column [36]. Therefore, the sensitivity of curvature ductility ratio is equivalent to the MPTD. In this regard, only the MPTD is analyzed in the following importance evaluation for the pier seismic demand parameter.
For the LRBs’ seismic demand, the shear deformation is taken as the damage index, which is defined by the ratio of bearing max displacement to the total thickness. The bearing thickness is uniform in this paper. Therefore, the max bearing displacement (MBD) is analyzed in the following importance measure calculation.
3.4. Moment-Independent Sensitivity Results
The global sensitivity of uncertainties in Table 1 to the MPTD and MBD is provided in this section. The MII indexes and their ranking results are shown in Figure 3 and Figure 4 where the 4PEM are compared with the results of the MC simulation. For a clearer comparison of the results, the ranking of MII indexes with the two methods are list in Table 2.
Figure 3.
MII indexes of MPTD.
Figure 4.
MII indexes of MBD.
Table 2.
MII indexes of uncertain parameters.
In Figure 3 and Figure 4, the 10MC and the 100MC represent the 10 sample MC simulation and the 100 sample MC simulation for one probability density propagation. In this paper, the 100MC is taken as the accurate result for comparing. The MII index values among 4PEM, 10MC and 100MC are different, but the index values of 4PEM are more accurate compared to those of 10MC.
For guidance purposes, the index rankings from the three methods are shown in Table 2. The rankings from the 4PEM and the 100MC are match, while those from the 10MC are not. Evidently, the 4PEM result is acceptable. It is worth noting that the simulation samples of 4PEM, 10MC and 100MC are , and , respectively. The proposed method dramatically improves the computational efficiency compared to 100MC and the accuracy compared to 10MC. Moreover, for the significant saving of computational cost, the influence of accuracy sacrifice is trivial, since the MII index value is not the quantization of structural damage but the guidance for the selection of uncertainties for future research
From Table 2, according to the 4PEM and the 100MC result, the influence of the parameters on the MPTD is ranked as
which indicates that the MPTD are more sensitive to the parameters related to concrete such as peak stress and strain of confined concrete since they contribute most of the bending resistance. Moreover, the crushing strain of unconfined concrete is important to the MPTD because the unconfined concrete is more likely to crack under a strong earthquake event. Generally the properties of steel are affected by a lower extent of uncertainty than the properties of concrete. In the future analysis, the randomness of the concrete parameter may, in particular, take into consideration thestrain parameters because they are more difficult to be measured based on the concrete compressive strength results.
In terms of the MBD, the ranking is
Undoubtedly, the post-yield stiffness of LRBs is the crucial factor to the MBD, and the crushing strain of unconfined concrete and Young’s modules of longitudinal reinforcement are also important. Moreover, the mass of the superstructure cannot be ignored in both the MPTD and MBD, maybe because it significantly affects the structural damping.
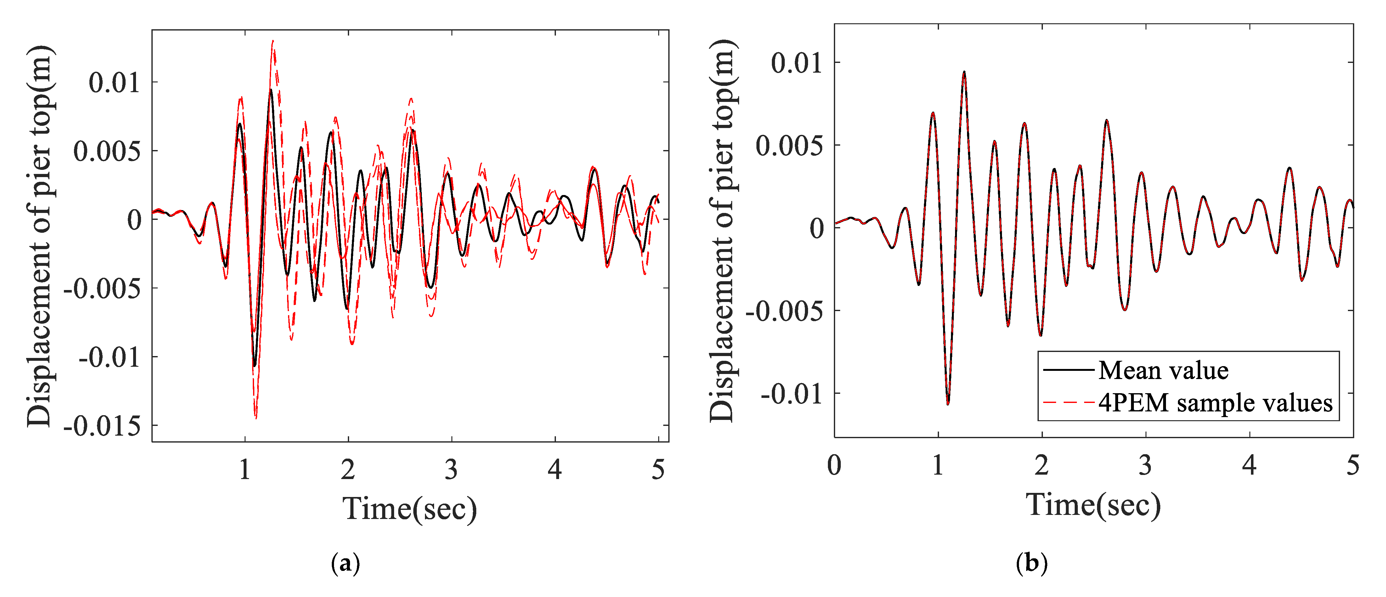
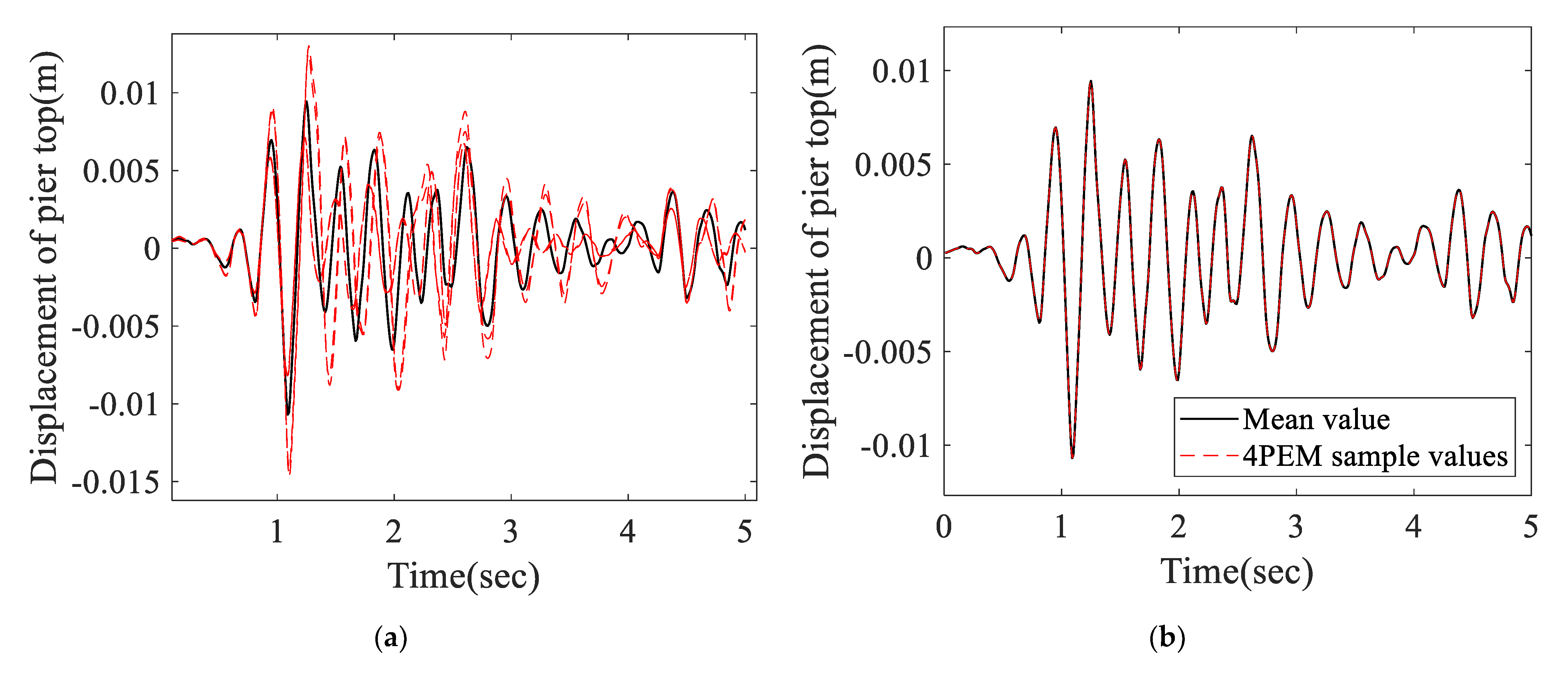
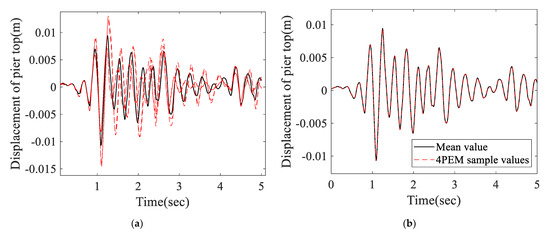
Figure 5 and Figure 6 show the sensitivity performance for the piers and LRB, respectively. The displacement time histories of #Pier2 and #LRB2 at the corresponding 4PEM sample points of the relative random parameters are demonstrated. According to importance result, is the most sensitive parameter for MPTD. As shown in Figure 5a, the time history of pier displacement changes significantly when fixing at different 4PEM sample points. On the contrary, for the most insensitive parameter , the time histories are almost the same as shown in Figure 5b. For LRB displacement, the same performance can be found in Figure 6 in which the time history of pier displacement changes with the varying of parameter and remains with the varying .
Figure 5.
Time history of pier top displacement sensitivity performance. (a). Sensitivity of . (b). Sensitivity of .
Figure 6.
Time history of LRB displacement sensitivity performance. (a). Sensitivity of . (b). Sensitivity of .
4. Conclusions
MII analysis based on the combination of a modified 4PEM and SGLD is first carried out in this research to analyze the global sensitivities of the uncertain structural parameters to a bridge’s seismic demand parameters. A modified 4PEM is derived to increase the accuracy of the conventional PEM, and it is more suitable with uncertain engineering parameters. Consequently, the unconditional and conditional PDF of seismic demand can be obtained by running NTHA several times through the 4PEM combined SGLD method. The proposed high-efficiency uncertainty propagation method is applied on the moment-independent sensitivity analysis of uncertain parameters to the seismic demands of bridge pier columns and bearings and dramatically increases the computational efficiency compared to the MC simulation.
The results of the proposed method are compared with those of the MC simulation method. The MII results of the two methods show a difference in values but the rankings of indexes match. Among the 11 uncertain parameters selected in this research, the pier seismic demand and bearing seismic demand are sensitive to different critical parameters. However, the mass of the superstructure shows the same importance for the two demands.
Through the results of the MII analysis of uncertain parameters, the less sensitive parameters can be fixed as their best estimates in the future analysis so as to significantly improve the computational efficiency of bridge probabilistic seismic demand analysis and fragility analysis.
Author Contributions
Conceptualization, X.L. and Y.L.; methodology, X.L.; software, X.L.; validation, X.L., Y.L. and L.L.; formal analysis, X.L.; investigation, X.L., Y.L. and L.L.; writing—original draft preparation, X.L.; writing—review and editing, Y.L. All authors have read and agreed to the published version of the manuscript.
Funding
The research in this paper is supported by the National Key R&D Program of China via Grant No.2017YFC1500603.
Institutional Review Board Statement
Not applicable.
Informed Consent Statement
Not applicable.
Data Availability Statement
The results presented in this study are available on request from the corresponding author.
Conflicts of Interest
The authors declare no conflict of interest.
Nomenclature
| the expectation of * | |
| the marginal PDF of | |
| the unconditional PDF of | |
| the conditional PDF by fixing at one implementation value | |
| the conditional PDF under the condition of fixing at its 4PEM locations | |
| nonlinear performance function of the system | |
| the area difference between and | |
| the n-dimensional vector of the structural input variables | |
| (n − 1)-dimensional transformation of by removing | |
| realization of the random variable | |
| the output seismic demand | |
| the realization of by the point-estimated method | |
| the realization of when | |
| the r-th central moment of * | |
| the location of for the point-estimate method | |
| the moment-independent importance index | |
| the ratio of to the -th power of | |
| the mean value of | |
| the point-estimated method’s sampling weight | |
| the point-estimated method’s sampling coefficients |
References
- Xie, Y.; Des Roches, R. Sensitivity of seismic demands and fragility estimates of a typical California highway bridge to uncer-tainties in its soil-structure interaction modeling. Eng. Struct. 2019, 189, 605–617. [Google Scholar] [CrossRef]
- Salkhordeh, M.; Govahi, E.; Mirtaheri, M. Seismic fragility evaluation of various mitigation strategies proposed for bridge piers. Structures 2021, 33, 1892–1905. [Google Scholar] [CrossRef]
- Zhao, N.; Huo, L.; Qu, C.; Li, H. Study on nonlinear vibration control of structures considering parameters uncertainties. J. Disaster Prev. Mitig. Eng. 2015, 35, 477–483. [Google Scholar]
- Saltelli, A. Entropy-based importance measure for uncertain model inputs. Risk Anal. 2002, 22, 579–590. [Google Scholar] [CrossRef] [PubMed]
- Weng, S.; Tian, W.; Zhu, H.; Xia, Y.; Gao, F.; Zhang, Y.; Li, J. Dynamic condensation approach to calculation of structural respons-es and response sensitivities. Mech. Syst. Signal Process. 2017, 88, 302–317. [Google Scholar] [CrossRef]
- Tang, Z.; Lu, Z.; Jiang, B.; Wang, P.; Feng, Z. Entropy-based importance measure for uncertain model inputs. AIAA J. 2013, 51, 2319–2334. [Google Scholar]
- Liu, Q.; Homma, T. A new computational method of a moment-independent uncertainty importance measure. Reliab. Eng. Syst. Saf. 2009, 94, 1205–1211. [Google Scholar] [CrossRef]
- Sobol, I.M. Sensitivity estimates for nonlinear mathematical models. Math. Modeling Comput. Exp. 1993, 55, 112–118. [Google Scholar]
- Feng, K.; Lu, Z.; Pang, C.; Yun, W. An efficient computational method of a moment-independent importance measure using quantile regression. Mech. Syst. Signal Process. 2018, 109, 235–246. [Google Scholar] [CrossRef]
- Yazdani, A.; Nicknam, A.; Dadras, E.Y.; Eftekhari, S.N. Entropy-based sensitivity analysis of global seismic demand of concrete structures. Eng. Struct. 2017, 146, 118–126. [Google Scholar] [CrossRef]
- Song, S.; Qian, Y.J.; Qian, C. Importance analysis of random parameters in seismic demand of bridges. Eng. Mech. 2018, 35, 106–114. (In Chinese) [Google Scholar]
- Xu, Z.; Wang, X. The Moment-Independent Importance Analysis of Structural Seismic Requirements Based on Orthogonal Polynomial Estimation. Math. Probl. Eng. 2020, 2020, 9572192. [Google Scholar] [CrossRef]
- Zhou, Q.; Li, Z.; Fan, W.; Ang, A.H.-S.; Liu, R. System reliability assessment of deteriorating structures subjected to time-invariant loads based on improved moment method. Struct. Saf. 2017, 68, 54–64. [Google Scholar] [CrossRef]
- Rosenblueth, E. Point estimates for probability moments. Proc. Natl. Acad. Sci. USA 1975, 72, 3812–3814. [Google Scholar] [CrossRef] [Green Version]
- Rosenblueth, E. Two-point estimates in probabilities. Appl. Math. Model. 1981, 5, 329–335. [Google Scholar] [CrossRef]
- Hong, H. Point-Estimate Moment-Based Reliability Analysis. Civ. Eng. Syst. 1996, 13, 281–294. [Google Scholar] [CrossRef]
- Liu, J.; Hu, Y.; Xu, C.; Jiang, C.; Han, X. Probability assessments of dentified parameters for stochastic structures using point es-timation method. Reliab. Eng. Syst. Saf. 2016, 156, 51–58. [Google Scholar] [CrossRef]
- Che, Y.; Wang, X.; Lv, X.; Hu, Y. Probabilistic load flow using improved three point estimate method. Int. J. Electr. Power Energy Syst. 2020, 117, 105618. [Google Scholar] [CrossRef]
- Dang, C.; Xu, J. Novel algorithm for reconstruction of a distribution by fitting its first-four statistical moments. Appl. Math. Model. 2019, 71, 505–524. [Google Scholar] [CrossRef]
- Huang, X.; Zhang, Y. Reliability–sensitivity analysis using dimension reduction methods and sadlepoint approximations. Int. J. Numer. Methods Eng. 2013, 93, 857–886. [Google Scholar] [CrossRef]
- Li, G.; Zhou, C.; Zeng, Y.; He, W.; Li, H.; Wang, R. New maximum entropy-based algorithm for structural design optimization. Appl. Math. Model. 2019, 66, 26–40. [Google Scholar] [CrossRef]
- Johnson, N.; Kotz, S.; Balakrishnan, N. Continuous Univariate Distributions; Wiley: New York, NY, USA, 1995. [Google Scholar]
- Low, Y. A new distribution for fitting four moments and its applications to reliability analysis. Struct. Saf. 2013, 42, 12–25. [Google Scholar] [CrossRef]
- Wei, P.; Lu, Z.; Yuan, X. Monte Carlo simulation for moment-independent sensitivity analysis. Reliab. Eng. Syst. Saf. 2013, 110, 60–67. [Google Scholar] [CrossRef]
- Filippou, F.C.; Popov, E.P.; Bertero, V.V. Effects of Bond Deterioration on Hysteretic Behavior of Reinforced Concrete Joints; Earthquake Engineering Research Center (EERC), University of California: Berkeley, CA, USA, 1983; pp. 19–83. [Google Scholar]
- Padgett, J.E.; Desroches, R. Sensitivity of Seismic Response and Fragility to Parameter Uncertainty. J. Struct. Eng. 2007, 133, 1710–1718. [Google Scholar] [CrossRef] [Green Version]
- Tubaldi, E.; Barbato, M.; Dall’Asta, A. Influence of model parameter uncertain-ty on seismic transverse response and vulnerabil-ity of steel–concrete composite bridges with dual load path. J. Struct. Eng. 2012, 138, 363–374. [Google Scholar] [CrossRef]
- Ma, H.-B.; Zhuo, W.-D.; Lavorato, D.; Nuti, C.; Fiorentino, G.; Marano, G.C.; Greco, R.; Briseghella, B. Probabilistic seismic re-sponse and uncertainty analysis of continuous bridges under near-fault ground motions. Front. Struct. Civ. Eng. 2019, 13, 1510–1519. [Google Scholar] [CrossRef]
- Wu, W.; Li, L.; Shao, X. Seismic Assessment of Medium-Span Concrete Cable-Stayed Bridges Using the Component and System Fragility Functions. J. Bridg. Eng. 2016, 21, 04016027. [Google Scholar] [CrossRef]
- Li, H.; Li, L.; Zhou, G.; Xu, L. Time-dependent Seismic Fragility Assessment for Aging Highway Bridges Subject to Non-uniform Chloride-induced Corrosion. J. Earthq. Eng. 2020, 1–31. [Google Scholar] [CrossRef]
- De Domenico, D.; Messina, D.; Recupero, A. A Combined Experimental-Numerical Framework for Assessing the Load-Bearing Capacity of Existing PC Bridge Decks Accounting for Corrosion of Prestressing Strands. Materials 2021, 14, 4914. [Google Scholar] [CrossRef]
- Li, H.; Li, L.; Wu, W.; Xu, L. Seismic fragility assessment framework for highway bridges based on an improved uniform de-sign-response surface model methodology. Bull. Earthq. Eng. 2020, 18, 2329–2353. [Google Scholar] [CrossRef]
- Pang, Y.; Wu, X.; Shen, G.; Yuan, W. Seismic Fragility Analysis of Cable-Stayed Bridges Considering Different Sources of Uncertainties. J. Bridg. Eng. 2014, 19, 04013015. [Google Scholar] [CrossRef]
- Hwang, H.; Liu, J.; Chiu, Y. Seismic Fragility Analysis of Highway Bridges; MAEC RR-4 Project; The University of Memphis, Center for Earthquake Research and Information: Memphis, TN, USA, 2001. [Google Scholar]
- Choi, E. Seismic Analysis and Retrofit of Mid-America Bridges; Georgia Institute of Technology: Atlanta, GA, USA, 2002; pp. 1–251. [Google Scholar]
- Nielson, B. Analytical Fragility Curves for Highway Bridges in Moderate Seismic Zones; Georgia Institute of Technology: Atlanta, GA, USA, 2005; pp. 1–260. [Google Scholar]
Publisher’s Note: MDPI stays neutral with regard to jurisdictional claims in published maps and institutional affiliations. |
© 2021 by the authors. Licensee MDPI, Basel, Switzerland. This article is an open access article distributed under the terms and conditions of the Creative Commons Attribution (CC BY) license (https://creativecommons.org/licenses/by/4.0/).





