Abstract
Hydrogen fuel cells have long been regarded as a more environmentally friendly alternative to traditional fossil fuels. Ethanol steam reforming (ESR) is a promising long-term, safe method of producing carbon-neutral hydrogen. ESR products are (CeCO) support generate hydrogen (H) with byproducts such as carbon dioxide (CO) and carbon monoxide (CO). The researchers are interested in the quantification and estimation of syngas components. The current article introduces the Johnsen index-based measure in partial least squares () for predicting ESR products with cube, polyhydra, and rod morphologies, based on FTIR. The proposed method makes use of existing filter measures such as loading weights, variable importance on projection, and significant correlation. The proposed measures based on the Johnsen index outperform the existing methods for predicting ESR products based on FTIR spectroscopic data. For (H) conversion percent prediction with cube and polyhedra morphologies, the functional compounds (C-O), (C=O), (CH), and (C-H,=CH) are common. Similarly, the functional compound (s-RCH=CHR) is frequently used for (H) conversion percent prediction with polyhedra and rod morphologies. Moreover, on simulated data, the proposed Johnsen measure in demonstrates higher sensitivity and accuracy. Furthermore, the proposed Johnsen measure in identifies influential wavenumbers that map over the functional compounds.
1. Introduction
A fuel cell is an electrochemical cell that converts the chemical energy of the fuel and an oxidising agent into electricity. This conversion typically makes use of hydrogen as a fuel and oxygen as an oxidising agent. Hydrogen fuel cells have long been regarded as a more environmentally friendly alternative to traditional fossil fuels. Because water is the only direct byproduct of their energy production, they will significantly reduce waste and man-made greenhouse gases by oxidising molecular hydrogen [1,2]. However, a group of American researchers believes that fuel cells may have a negative impact on the environment. Tracey Tromp of the California Institute of Technology and colleagues used atmospheric simulations to show that the unavoidable pollution emitted by fuel cell technology could cause significant harm to the ozone layer [3]. Among non-fossil feedstocks such as ethanol, methanol, and others, ethanol has many advantages as a chemical (H) source for fuel cells due to its storage capabilities, ease of handling, and stable transportation due to its low toxicity and volatility. The production of (H) from renewable resources is a critical stage in the evolution of technology. The production of (H) from bioethanol derived from agroindustrial wastes, in particular, is an appealing option because bioethanol derived from residual biomass is less expensive than bioethanol derived from food crops and does not jeopardise food safety [4,5]. Ethanol steam reforming (ESR) is a promising reaction for producing carbon-neutral hydrogen in a long-term, safe manner for this purpose, according to [6,7]. ESR primarily generates hydrogen (H), with byproducts such as carbon dioxide (CO), carbon monoxide (CO), and methane (CH).
The purification of this syngas is critical and is defined by the final use of Hydrogen (H), so the quantification of syngas components is of interest to the researcher [8,9]. It appears that using a (CeO) catalyst in a system is promising for removing the majority of the (CO) from syngas [10]. Modifying the support nanostructure of (CeO), such as polyhedra, rods, and cubes, has been identified as a novel technique for developing more active, selective, and stable catalysts [11].
Fourier-transform infrared spectroscopy (FTIR) is used for characterization because it is a fast, accurate, and inexpensive technique. For example, FTIR has been used to characterise MnOx-CeO catalysts for low-temperature selective oxidation [12]. FTIR looks into the conditions that occur during CO oxidation over Ru(x)-CeO catalysts [13]. FTIR describe CeO catalysts for diesel pollutant removal [14]. FTIR describes the preparation of copper-promoted CeO catalysts [15]. FTIR investigates the total oxidation of formaldehyde over MnOx-CeO catalysts [16] and so forth.
Because FTIR produces high-dimensional data with a small sample size, partial least squares () regression is considered a viable option for modelling the spectrum data [17]. Mehmood et al. recently used to predict the antibacterial activity based on FTIR data [18]. Based on spectroscopic data, assisted in predicting catalyst activity [19] and it aids in determining the composition of bio-oil using infrared spectroscopy [20].
Based on FTIR data, we predicted ESR products such as hydrogen (H) with side products such as carbon dioxide (CO), carbon monoxide (CO), and methane (CH) in this article. Variable selection measures are required for -based characterization. For this purpose, is equipped with loading weight, regression coefficients, variable importance on projection [21] and selectivity ratio [22,23] type filter measures exist [24]. These measures’ performance still needs to be improved [25]. For this purpose, we have introduced the Johnsen Index [26,27] based variable selection in . The proposed measure is compared to the reference measure on real data, and these measures are compared for predicting ESR products based on FTIR spectrum data. The functional characterization of ESR products is linked to spectrum-based variable selection.
2. Material and Methods
2.1. Catalyst Data Set
The data set used in this study is taken from [28] and is accessible from [29] where Au-Cu supported over nano-shaped CeO is used as stable catalysts for the carbon monoxide removal from syngas. We only looked at Au-Cu supported over nano-shaped CeO data, and we considered several morphologies such as polyhedra, rods, and cubes. The specific nano shapes were created using a hydrothermal method with continuous stirring for 1 h at 600 rpm. The resulting slurry was heated in an airtight container for 24 h at 100, 120, and 160 C for polyhedra, rods and cubes, respectively. The precipitate was neutralized with water and calcined at 500 C for 2 h.
The actual syngas was produced by the ESR. The catalyst activity test was carried out, and CO conversion (%), (CO) yield, and (H) conversion (%) were monitored from 300 to 100 C, with temperature decreasing every 30 min in a sequence of around 20 C.
2.2. Catalyst Characterization
TGA used a thermogravimetric analyzer to measure deposits on catalyst samples (Mettler Toledo, Columbus, OH, USA). The test was carried out at temperatures ranging from 30 to 1000 C (5 C/min) in dry air (150 mL/min). The weight loss from the AC samples was subtracted from the weight loss from the spent catalysts. A sampler holder was loaded with 0.02 g of samples. The sample holder was then sealed and aisled to prevent interference from the environment using an external flow of Ar (20 mL/min) that remained constant throughout the test. Following that, the sample was flushed with Ar (15 mL/min) at 50 C for 30 min. Finally, ten pulses of 30 L of CO were injected into the sampler holder from a certified 5% CO/Ar mixture; between each pulse, Ar (15 mL/min) was passed for 10 min. The signal was collected between 4000 and 400 cm, with a resolution of 2 cm, and at a rate of 64 scans per minute.
2.3. Interpolation of Ethanol Steam Reforming Products
The catalyst activity test measures the CO conversion (%), CO yield, and H conversion (%) as a function of temperature from 300 to 100 C, with temperature decreasing every 30 min by around 20 C. The spectrum of each catalyst was recorded at various time intervals ranging from 1 to 140 min, and the wight loss was used to map the spectrum to temperature. As a result, catalyst activity and the spectrum of catalyst characterization are taken as a function of temperature. We used an interpolation technique because both catalyst activity and catalyst characterization are performed at different temperatures. First, the second degree polynomial was used to fit catalyst activity as a function of temperature one by one. The temperature measured against the spectrum is then used in conjunction with the fitted polynomial to estimate the catalyst activity. This produces the response matrix where columns are CO conversion (%), CO yield and H conversion (%), respectively. Moreover, the FTIR spectrum data taken from [28] produces the data matrix , where n is the sample size and p is the number of FTIR wavenumbers.
2.4. PLS Modeling of Ethanol Steam Reforming Products
Ethanol Steam Reforming (ESR) products include CO conversion (%), CO yield, and H conversion (%), which are assembled as and modelled with FTIR data assembled as . Because each ESR product has its own unique identification, each response variable must be modelled separately as . This data set has a very small sample size in comparison to the number of wavenumbers counted. We were unable to use the traditional regression method to model the ethanol steam performing products in this scenario. Partial least squares regression () [17] provides the way forward for modeling ethanol steam reforming products. In iterative procedure of loading weights , scores , X-loadings , y-loading , deflated and deflated are computed for ith components. The loading weights , scores , X-laodings and y-loadings are assembled in , , and respectively. These metrics computes the regression coefficients .
Characterization of ESR products is required, as is the identification of influential wavenumbers that best explain the variation in ESR product. loading weights, regression coefficients, variable importance on projection [21] and selectivity ratio [22,23] are all used in this case. The variable importance on projection is defined as
A significance multivariate correlation (C) is defined as:
where is mean squares explained by regression and is the residual squares of PLS regression. Hence, the reference methods are , , , which are respectively based on loading weights, variable importance on projection and significance multivariate correlation.
2.5. Proposed Measure for Ethanol Steam Reforming Characterization
It is still necessary to improve the performance of existing filter measures such as loading weight, regression coefficients, variable importance on projection, and selectivity ratio [25]. For this purpose, we have introduced the Index [26,27] based variable selection in . The index is defined as
where is the eigen value comes out from the spectral value decomposition of X that is, . The eigenvalues do not indicate the importance of the respective variable, but they do indicate the importance of the transformed linear combination. Motivated by the index, we developed the following wave number selection measures: loading weights and variable importance, loading weights and significance multivariate correlation, and significance multivariate correlation and variable importance on projection as:
As a result, the proposed methods are , , and , all of which are based on the index introduced over the combination of loading weights, variable importance on projection, and significance multivariate correlation.
3. Simulation Study
The simulation study is carried out to provide numerical support for the proposed -based variable selection methods, where we know truly important variables. The data is generated by simulating a known model. , where is response and is data matrix assumed to follow multivariate normally distribution with mean-vector and covariance matrix [25].
Because the variances of all variables are assumed to be one, is the correlation matrix. Furthermore, H groups of correlated variables are extracted by applying the group diagonal structure to , that is:
We have used groups of the equal number of variables. Data are simulated with , with four levels of the number of variables , with two levels of within-group correlation , and with the correlation between x and y = . For each simulated data set, the first 30 (percentage) variables are considered important. For example, with (p = 100), the variables 1 to 30 are considered important, while the rest are considered unimportant. The first 30 variables will be influential. This results in six different parameter combinations for the simulation. For tuning the model’s parameters, 100 simulation runs are used, with each run data divided into 70% training and 30% test. The simulated data set is used to fit the proposed -based methods for variable selection and reference method. indicates that the first two groups of simulated variables are significant. Different levels of (R) and (p) produce 6 simulation designs. The behaviour of measures used in reference methods and proposed methods can be seen in Figure 1. This indicates the proposed methods have higher specificity and Johnsen index with has higher sensitivity. Because sensitivity indicates the proportion of true variable selection. Table 1 shows the results of a sensitivity, specificity, and accuracy comparison of proposed and reference models against the simulation design. This means that in the majority of simulation designs, our proposed algorithms are more sensitive and accurate, whereas the reference methods are more specific.
Figure 1.
The left panel shows the reference measures loading weights (W), variable importance on projection (V), and significance multivariate correlation (C) extracted from the simulation study, while the right panel shows the proposed measures, which are the Johnsen index as a combination of W, V, and C. The data was generated using a simulation. and with the correlation between x and y , and .
Table 1.
The sensitivity, specificity, and accuracy of selected variables by reference and proposed method are presented in comparison to all simulation designs considered. The cells with the highest sensitivity, specificity, and accuracy within each simulation design are highlighted in grey.
4. Results
For predicting Ethanol Steam Reforming (ESR) products including CO conversion (%), CO yield and H conversion (%) the Au-Cu supported over nano-shaped CeO is used where three morphologies including polyhedral, rods and cubes are considered. The description of these ESR products is summarized in Table 2. This indicates that the CO conversion is highest with cube morphology and lowest with rods morphology. The CO yield is highest with cubes and polyhedral morphologies, and lowest with rods morphology. Similarly, with cube morphology, the H conversion is at its highest level, while with polyhedral morphology, it is at its lowest.
Table 2.
The summary statistics include the average, minimum, maximum, and standard deviation (SD) of ESR products with various morphologies.
Since ESR products such as CO conversion (%), CO yield and H conversion (%) are temperature dependent, the catalyst activity and characterization spectrum are also temperature dependent. We used an interpolation technique because both catalyst activity and catalyst characterization are performed at different temperatures. First, the polynomial equation of degree two was used to fit catalyst activity as a function of temperature one by one. The temperature measured against the spectrum is then used in conjunction with the fitted polynomial to estimate the catalyst activity. The interpolation of CO conversion (%), CO yield and H conversion (%) through polynomial equation of degree two is exemplified for cube morphology is presented in Figure 2.
Figure 2.
The interpolation of CO conversion (%), CO yield, and H conversion (%) using a polynomial equation of degree two is demonstrated for cube morphology.
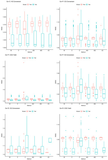
For ESR product prediction, we have proposed the Johnsen index based , , which will be compared with the reference method , , . Hence for each EST product prediction we have to fit 06 models. Since, we have considered 03 ESR products CO conversion (%), CO yield and H conversion (%) the Au-Cu supported over nano-shaped CeO with three morphologies including polyhedral, rods and cubes, hence we have fitted 6 × 3 × 3 = 54 models. Each optimal PLS model is subject to tuning model parameters such as the number of components and the threshold that defines the number of selected variables, that is, the number of wavenumbers. We considered the number of components as well as the threshold levels. Tuning is required for the number of components and the threshold. For this, we divided the data into 70 percent training and 30 percent test, that is, ESR product response y and spectroscopic data X. The training model is used to construct the model, and the performance of the fitted model is evaluated using test data. Furthermore, each model is fitted with a different number of components and thresholds, with the levels that result in the best performance on test data being labeled as optimal. The RMSE value reflects the model’s performance. We used a response surface methodology-based curve that results in optimal model parameter levels to achieve a systematic optimal level of model parameters. Figure 3 shows one of the cases from all fitted models. All reference and proposed methods predict ESR products by using the optimal threshold and optimal number of components. The RMSE over training and test data is computed, and the results are shown in Figure 4. The average RMSE on training data for predicting CO conversion (%) with cube morphology is around 1.04 and is 1.03 on test data. On training data, has the lowest RMSE, whereas on test data, has the lowest RMSE. The average RMSE on training data for predicting CO yield with cube morphology is around 1.035 on training data and 1.019 on test data. On training data, has the lowest RMSE, whereas on test data, has the lowest RMSE. The average RMSE on training data for predicting H conversion (%) with cube morphology is around 1.014 and is 1.002 on test data. On training data, has the lowest RMSE, while on test data, has the lowest RMSE. The average RMSE on training data for predicting CO conversion (%) with polyhedra morphology is around 1.035 on training data and is 1.02 on test data. On training data has least RMSE, while on test data has least RMSE. The average RMSE on training data for predicting CO yield with polyhedra morphology is around 1.011 on training data and is 1.01 on test data. The training data all have similar RMSE, while the test data have the least RMSE. The average RMSE on training data for predicting H conversion (%) with polyhedra morphology is around 1.035 on training data and is 1.022 on test data. On training data has the least RMSE, while on the test data has the least RMSE. The average RMSE on training data for predicting CO conversion (%) with rod morphology is around 1.035 on training data and is 1.012 on test data. On training data has least RMSE, while on test data has least RMSE. The average RMSE on training data for predicting CO yield with rod morphology is around 1.05 on training data and is 1.01 on test data. On training data, has the least RMSE, while on test data has the least RMSE. The average RMSE on training data for predicting H conversion (%) with rod morphology is around 1.02 on training data and is 1.01 on test data. On training data has least RMSE, while on the test data has the least RMSE.
Figure 3.
The RMSE on the test data measuring the prediction capability of CO yield with cube morphology is plotted against the number of components and the threshold. The fitted response surface indicates that as the number of components and threshold level increase, the RMSE decreases.


Figure 4.
For predicting ESR products, the RMSE computed over the test and training data from all models is compared. The data were divided into 70% train and 30% test for this purpose. This division was repeated 100 times, with the RMSE being recorded after each iteration.
According to the comparison above, the Johnsen index-based variants outperform the test data in predicting ESR products with different morphologies. Furthermore, it has been discovered that ESR product prediction on test data is superior to prediction on training data. Notably, the FTIR spectra used for modeling is baseline corrected. Baselines are frequently set based on a visual examination of their effect on specific spectra. It offers a more objective process for selecting baseline correction algorithms and their parameter values for use in statistical analysis. For good prediction, the spectra must be objective and reproducible if they are to be employed in a statistical analysis. We have used asymmetric least square (ASL) [30], where parameters are tuned for optimal ESR product prediction. For this, we used the original, and the corrected FTIR spectra used in polyhydra is presented here for illustration in Figure 5. The best model for each ESR product prediction is then used to determine the influential wavenumbers. The influential wavenumbers were then mapped to functional compounds for each optimal model. Figure 6 depicts the influential wavenumber indicating the intensity of their selection and respective functional compound. By using the , the CO conversion (%) with cube morphology is predicted, which results in six influential wavenumbers. These wavenumbers are mapped to C-O, C=O, O-H, CH-CH, OH and C-H,=CH. By using the CO yield with cube morphology is predicted, which results in 6 influential wavenumbers. These wavenumbers are mapped to C-O, CH-CH, C=O, C-H,=CH, O-H and CH. By using the H conversion (%) with cube morphology is predicted, which results in 6 influential wavenumbers. These wavenumbers are mapped to C-O, CH-CH, C=O, C-H,=CH, O-H and CH. By using the CO conversion (%) with polyhedra morphology is predicted, which results in four influential wavenumbers. These wavenumbers are mapped to C-O, C=O, O-H, and C-H,=CH. By using the CO yield with polyhedra morphology is predicted, which results in five influential wavenumbers. These wavenumbers are mapped to C=O, C equiv C, CH, C-H,=CH and O-H. By using the H conversion (%) with polyhedra morphology is predicted, which results in five influential wavenumbers. These wavenumbers are mapped to C-O, N-H, C=O, C=C and C-H. By using the , the CO conversion (%) with rod morphology is predicted, which results in three influential wavenumbers. These wavenumbers are mapped to s-RCH=CHR, C-O and C equiv C. The CO yield with rod morphology is predicted, resulting in one influential wavenumber. This wavenumebr is unlabeled because it does not belong to any functional compound. By using the , the H conversion (%) with rod morphology is predicted, which results in one influential wavenumebr. This wavenumebr is mapped to s-RCH=CHR. Notably, the C-O is the common functional compound for CO conversion % prediction with all types of morphologies. Moreover, the functional compounds C-O, C=O, O-H and C-H,=CH are common for CO conversion prediction with cube and polyhedra morphologies. Similarly, the functional compounds C=O, CH, C-H,=CH and O-H are common for CO yield prediction with cube and polyhedra morphologies. The unlabeled wavenumbers are further required to investigate for mapping relevant functional compound. The functional compounds C-O, C=O, CH and C-H,=CH are common for H conversion prediction with cube and polyhedra morphologies. Along the same lines, the functional compound s-RCH=CHR is common for H conversion % prediction with polyhedra and rod morphologies. Notably, we have used the ASL method for baseline correction and the based method for ESR predictions based on IR. The contribution is a mixture of statistical learning and chemometrics, moreover the study is new; hence further studies are required to discover the IR peaks with chemical properties. Hence, findings may or may not be proper until confirmed.
Figure 5.
The FITR spectra were adjusted for baseline correction. The baseline correction is carried out of spectra reference to variability in response, since we have modeled 9 responses, i.e., ESR product hence we got 9 baseline correction used in their respective models. The baseline correction presented here is for the model CO conservation with rod morphology. The original and corrected FTIR spectra is presented here for illustration.
Figure 6.
The best model for each ESR product prediction is then used to identify the influential wavenumbers. The influential wavenumbers were further mapped to functional compounds for each optimal model. The influential wavenumbers indicate the intensity of their selection, and the corresponding functional compound is presented.
5. Conclusions
The current paper introduces a partial least squares ()-based measure based on the Johnsen index for predicting ESR products with cube, polyhydra, and rod morphologies. The proposed method makes use of existing filter measures such as loading weights, variable importance on projection, and significant correlation. The proposed measures based on the Johnsen index outperform the existing methods for predicting ESR products based on FTIR spectroscopic data. On simulated data, the proposed Johnsen measure in demonstrates a higher sensitivity and accuracy. The functional compounds C-O, C=O, CH and C-H,=CH are common for H conversion prediction with cube and polyhedra morphologies. In a similar vein, the functional compound s-RCH=CHR is frequently used for H conversion prediction with polyhedra and rod morphologies.
Author Contributions
Methodology, T.M.; formal analysis, C.Z., M.T. and T.M.; supervision, C.Z.; project administration, C.Z. All authors contributed equally. All authors have read and agreed to the published version of the manuscript.
Funding
This research received no external funding.
Institutional Review Board Statement
Not applicable.
Informed Consent Statement
Not applicable.
Data Availability Statement
The data presented in this study are openly available in doi:10.17632/ 38c6gy3t4r.
Conflicts of Interest
The authors declare no conflict of interest.
References
- Appleby, A. Fuel cells and hydrogen fuel. Int. J. Hydrogen Energy 1994, 19, 175–180. [Google Scholar] [CrossRef]
- Cook, B. Introduction to fuel cells and hydrogen technology. Eng. Sci. Educ. J. 2002, 11, 205–216. [Google Scholar] [CrossRef] [Green Version]
- Tromp, T.K.; Shia, R.L.; Allen, M.; Eiler, J.M.; Yung, Y.L. Potential environmental impact of a hydrogen economy on the stratosphere. Science 2003, 300, 1740–1742. [Google Scholar] [CrossRef] [Green Version]
- Sarkar, N.; Ghosh, S.K.; Bannerjee, S.; Aikat, K. Bioethanol production from agricultural wastes: An overview. Renew. Energy 2012, 37, 19–27. [Google Scholar] [CrossRef]
- Kuzhaeva, A.; Dzhevaga, N.; Berlinskii, I. Modernization of catalyst systems for the processes of hydrocarbon conversion to synthesis gas. ARPN J. Eng. Appl. Sci. 2019, 14, 3535–3543. [Google Scholar]
- Ogo, S.; Sekine, Y. Recent progress in ethanol steam reforming using non-noble transition metal catalysts: A review. Fuel Process. Technol. 2020, 199, 106238. [Google Scholar] [CrossRef]
- Zhang, R.; Huang, C.; Zong, L.; Lu, K.; Wang, X.; Cai, J. Hydrogen production from methanol steam reforming over TiO2 and CeO2 pillared clay supported Au catalysts. Appl. Sci. 2018, 8, 176. [Google Scholar] [CrossRef] [Green Version]
- Azizan, M.T.; Aqsha, A.; Ameen, M.; Syuhada, A.; Klaus, H.; Abidin, S.Z.; Sher, F. Catalytic reforming of oxygenated hydrocarbons for the hydrogen production: An outlook. Biomass Convers. Biorefin. 2020, 1–24. [Google Scholar] [CrossRef]
- Kim, C.; Choi, S.; Choi, M.J.; Lee, S.A.; Ahn, S.H.; Kim, S.Y.; Jang, H.W. Photoelectrochemical reduction of CO2 to syngas by reduced Ag catalysts on Si photocathodes. Appl. Sci. 2020, 10, 3487. [Google Scholar] [CrossRef]
- Ayastuy, J.; Fernández-Puertas, E.; González-Marcos, M.; Gutiérrez-Ortiz, M. Transition metal promoters in CuO/CeO2 catalysts for CO removal from hydrogen streams. Int. J. Hydrogen Energy 2012, 37, 7385–7397. [Google Scholar] [CrossRef]
- Si, R.; Raitano, J.; Yi, N.; Zhang, L.; Chan, S.W.; Flytzani-Stephanopoulos, M. Structure sensitivity of the low-temperature water-gas shift reaction on Cu–CeO2 catalysts. Catal. Today 2012, 180, 68–80. [Google Scholar]
- Qi, G.; Yang, R.T. Characterization and FTIR studies of MnOx-CeO2 catalyst for low-temperature selective catalytic reduction of NO with NH3. J. Phys. Chem. B 2004, 108, 15738–15747. [Google Scholar] [CrossRef]
- Gonzalez-A, E.; Rangel, R.; Solís-Garcia, A.; Venezia, A.; Zepeda, T. FTIR investigation under reaction conditions during CO oxidation over Ru(x)-CeO2 catalysts. Mol. Catal. 2020, 493, 111086. [Google Scholar] [CrossRef]
- Milt, V.; Querini, C.; Miró, E.; Ulla, M. Abatement of diesel exhaust pollutants: NOx adsorption on Co, Ba, K/CeO2 catalysts. J. Catal. 2003, 220, 424–432. [Google Scholar] [CrossRef]
- Jobbagy, M.; Marino, F.; Schönbrod, B.; Baronetti, G.; Laborde, M. Synthesis of copper-promoted CeO2 catalysts. Chem. Mater. 2006, 18, 1945–1950. [Google Scholar] [CrossRef]
- Quiroz, J.; Giraudon, J.M.; Gervasini, A.; Dujardin, C.; Lancelot, C.; Trentesaux, M.; Lamonier, J.F. Total oxidation of formaldehyde over MnO x-CeO2 catalysts: The effect of acid treatment. Acs Catal. 2015, 5, 2260–2269. [Google Scholar]
- Martens, H.; Naes, T. Multivariate calibration. In Chemometrics; Springer: Berlin/Heidelberg, Germany, 1984; pp. 147–156. [Google Scholar]
- Mehmood, T.; Iqbal, M.; Hassan, R. Prediction of antibacterial activity in ionic liquids through FTIR spectroscopy with selection of wavenumber by PLS. Chemom. Intell. Lab. Syst. 2020, 206, 104124. [Google Scholar] [CrossRef]
- Li, C.; Shi, X.; Bao, L.; Yang, J.; Damirin, A.; Zhang, J. The correlation between multiple variable factors and the autocatalytic properties of cerium oxide nanoparticles based on cell viability. New J. Chem. 2018, 42, 9975–9986. [Google Scholar]
- García Martínez, T.; Veses Roda, A.; López Sebastián, J.M.; Puértolas Lacambra, B.; Pérez-Ramírez, J.; Callén Romero, M. Determining bio-oil composition via chemometric tools based on infrared spectroscopy. Acs Sustain. Chem. Eng. 2017, 5, 8710–8719. [Google Scholar] [CrossRef]
- Tenenhaus, M. La Régression PLS: Théorie et Pratique; Editions Technip: Paris, France, 1998. [Google Scholar]
- Kvalheim, O.M.; Karstang, T.V. Interpretation of latent-variable regression models. Chemom. Intell. Lab. Syst. 1989, 7, 39–51. [Google Scholar] [CrossRef]
- Kvalheim, O.M. Interpretation of partial least squares regression models by means of target projection and selectivity ratio plots. J. Chemom. 2010, 24, 496–504. [Google Scholar]
- Mehmood, T.; Liland, K.H.; Snipen, L.; Sæbø, S. A review of variable selection methods in partial least squares regression. Chemom. Intell. Lab. Syst. 2012, 118, 62–69. [Google Scholar]
- Mehmood, T.; Sæbø, S.; Liland, K.H. Comparison of variable selection methods in partial least squares regression. J. Chemom. 2020, 34, e3226. [Google Scholar] [CrossRef] [Green Version]
- Johnson, J.W. A heuristic method for estimating the relative weight of predictor variables in multiple regression. Multivar. Behav. Res. 2000, 35, 1–19. [Google Scholar] [CrossRef] [PubMed]
- Johnson, R.M. The minimal transformation to orthonormality. Psychometrika 1966, 31, 61–66. [Google Scholar]
- Cifuentes, B.; Bustamante, F.; Araiza, D.G.; Diaz, G.; Cobo, M. Hydrogen purification of actual syngas streams for energy applications: Au-Cu supported over nano-shaped CeO2 as stable catalysts for the carbon monoxide removal. Appl. Catal. A Gen. 2020, 598, 117568. [Google Scholar] [CrossRef]
- Cifuentes, B.; Cobo, M.; Bustamante, F. Activity, selectivity and characterization data of nano-shaped CeO2 supports for carbon monoxide removal from an actual syngas stream. Mendeley Data 2019, V2. [Google Scholar] [CrossRef]
- Liland, K.H.; Almøy, T.; Mevik, B.H. Optimal choice of baseline correction for multivariate calibration of spectra. Appl. Spectrosc. 2010, 64, 1007–1016. [Google Scholar] [CrossRef] [PubMed]
Publisher’s Note: MDPI stays neutral with regard to jurisdictional claims in published maps and institutional affiliations. |
© 2021 by the authors. Licensee MDPI, Basel, Switzerland. This article is an open access article distributed under the terms and conditions of the Creative Commons Attribution (CC BY) license (https://creativecommons.org/licenses/by/4.0/).







