The Chloride Ion Penetration Mechanism in Basalt Fiber Reinforced Concrete under Compression after Elevated Temperatures
Abstract
:1. Introduction
2. Experimental Programs
2.1. Materials
2.2. Experimental Program
2.3. Loading System
3. Results and Discussion
3.1. Influence of Stress Levels on Chloride Ion Penetration in BFRC
- (1)
- Figure 2b shows that, after being heated to 200 °C, the chloride ion content in BFRC followed almost the same changing rule as for that at the normal temperature. From the outside to the inside layers, the chloride ion concentration presented a fast diminishing trend. However, the chloride ion content after 200 °C was much higher than that at room temperature, because at higher temperatures, the chloride ions are more likely to enter the concrete matrix and the permeability resistance of concrete decreased.
- (2)
- Figure 2c shows that compared to the normal temperature and 200 °C, the content of chloride ions at 400 °C significantly increased. After 400 °C, calcium hydroxide and gel in concrete began to decompose. High-temperature cracks also provided more channels for chloride ion diffusion, and the permeability resistance of the concrete significantly reduced. From the outside to the inside layers, the chloride ion content first decreased before it went up again with increased stress. The chloride ion content was lowest when the stress ratio is 0.1. At stress ratio 0.2, it recovered to that of the no-stress condition. At stress ratio 0.3, it increased again and was higher than that of the no-stress condition. This indicates that the chloride ion concentration in the concrete surface layer suddenly increased when compressive stress was more significant than a certain level. This value is known as the chloride ion penetration compressive stress ratio threshold of concrete [21]. The current study shows that concrete’s chloride ion penetration compressive stress ratio threshold at normal temperature is about 0.5. However, after being exposed to a high temperature of 400 °C, the chloride ion penetration compressive stress ratio threshold is between 0.1 and 0.2. This result has significant implications for concrete structures after a fire disaster.
- (3)
- BFRC specimens which were heated to 600 °C, under different stress levels (Figure 2d) shows that the chloride ion content of BFRC as a whole was significantly higher compared with that of lower temperatures. After 600 °C, a large amount of calcium hydroxide and gel in the concrete decomposed, density decreased, and high-temperature cracks continued to expand and penetrate, providing more channels for chloride ion diffusion. The chloride ion penetration compressive stress ratio threshold for BFRC disappeared after experiencing a high temperature of 600 °C, and regardless of the load, this had a negative impact on the chloride ion diffusion resistance of concrete.
3.2. Effect of Elevated Temperatures on Chloride Ion Diffusion Coefficient
3.3. Effect of Stress Level on Chloride Ion Diffusion Coefficient
3.4. Effect of Erosion Time on Chloride Ion Diffusion Coefficient
3.5. Chloride Ion Diffusion Coefficient Model and Its Validation
4. Conclusions
- (1)
- Chloride ion content at the same depth shows an increasing linear trend with an increase in the heating temperature. Additionally, the chloride ion penetration resistance of concrete decreases significantly between 400 °C and 600 °C.
- (2)
- The chloride ion content in BFRC after being exposed to different elevated temperatures varies significantly with increasing stress:
- (a)
- The compressive stress of 0.3σ and less can inhibit the entry of chloride ions into concrete and improve the impermeability of concrete at 20 °C and 200 °C. In this instance, the compressive stress ratio threshold of concrete is more significant than 0.3;
- (b)
- After heating to the temperature of 400 °C, the chloride ion content of BFRC at the same depth from the surface layer to the inner layer first decreases and then increases with the increase in the compressive stress ratio. At this time, the compressive stress ratio threshold of the concrete under chloride ion penetration is between 0.1 and 0.2;
- (c)
- After heating to a temperature of 600 °C, the chloride ion content of BFRC at the same depth from the surface layer to the inner layer increases with an increase in the compressive stress ratio, and there is no decline stage. The compressive stress ratio threshold of concrete disappears after heating to the elevated temperature of 600 °C.
- (3)
- A calculation model for the chloride ion diffusion coefficient of BFRC under elevated thermal-load coupling effect is proposed, which provides a certain reference for the durability evaluation of elevated temperature damaged BFRC service with damage.
Author Contributions
Funding
Institutional Review Board Statement
Informed Consent Statement
Conflicts of Interest
Notation
| x | The depth from the surface |
| C | The chloride ion concentration |
| The surface concentration of chloride ion | |
| Chloride ion diffusion coefficient | |
| Elevated temperature influence the coefficient of chloride ion diffusion | |
| Chloride ion diffusion coefficient of concrete at T °C (m2/s) | |
| D20 °C | Chloride ion diffusion coefficient of concrete at 20 °C (m2/s) |
| T | Temperature (°C) |
| t | Erosion days |
| Influence coefficient of Chloride ion diffusion in compression | |
| Chloride ion diffusion coefficient of concrete when the continuous compressive stress ratio is σ (m2/s) | |
| Chloride ion diffusion coefficient of concrete without stress (m2/s) | |
| Chloride ion diffusion coefficient of concrete at erosion in t days (m2/s) | |
| day (m2/s) | |
| Recovery coefficient of chloride ion diffusion coefficient in concrete after T °C | |
| Modification coefficient of chloride ion diffusion coefficient in concrete under compressive stress ratio σ | |
| Chloride ion diffusion coefficient in t days under thermal-load coupling erosion |
References
- Anwar, H.; Khandakar, M. Macro-and Microstructural Investigations on Strength and Durability of Pumice Concrete at High Temperature. J. Mater. Civ. Eng. 2006, 18, 527–536. [Google Scholar] [CrossRef]
- Jin, Z.Q.; Zhao, X.; Zhao, T.J.; Li, J.Q. Chloride ions transportation behavior and binding capacity of concrete exposed to different marine corrosion zones. J. Constr. Build Mater. 2018, 177, 170–183. [Google Scholar]
- Li, Y.; Chen, X.H.; Zhang, G.S. A study on effects of water-cement ratio and crack width on chloride ion transmission rate in concrete. Comput. Concrete 2017, 19, 387–394. [Google Scholar] [CrossRef]
- Fu, C.Q.; Ling, Y.F.; Ye, H.L. Chloride resistance and binding capacity of cementitious materials containing high volumes of fly ash and slag. J. Mag. Concrete Res. 2021, 73, 55–68. [Google Scholar] [CrossRef]
- Djerbi, A.; Bonnet, S.; Khelidj, A.; Baroghel-Bouny, V. Influence of traversing crack on chloride diffusion into concrete. J. Cem. Concrete Res. 2008, 38, 877–883. [Google Scholar] [CrossRef] [Green Version]
- Wang, H.L.; Dai, J.G.; Sun, X.Y.; Xiao, Y.; Zhang, X.L. Characteristics of concrete cracks and their influence on chloride penetration. Constr. Build. Mater. 2016, 107, 216–225. [Google Scholar] [CrossRef]
- Mitsuo, O.; Yuki, S.; Kentaro, F.; Tetsura, K.; Parajuli, S.S. Estimation of chloride diffusion coefficients of high-strength concrete with synthetic fibers after fire exposure. J. Constr. Build. Mater. 2017, 143, 322–329. [Google Scholar]
- Okan, K. Transport properties of high volume fly ash or slag concrete exposed to high temperature. J. Constr. Build. Mater. 2017, 152, 898–906. [Google Scholar]
- Bao, J.W.; Wang, L.C. Combined effect of water and sustained compressive loading on chloride penetration into concrete. J. Constr. Build. Mater. 2017, 156, 708–718. [Google Scholar] [CrossRef]
- Sun, J.Y.; Lu, L.G. Coupled effect of axially distributed load and carbonization on permeability of concrete. J. Constr. Build. Mater. 2015, 79, 9–13. [Google Scholar] [CrossRef]
- Lim, C.; Gowripalan, N.; Sirivivatnanon, V. Microcracking and chloride permeability of concrete under uniaxial compression. J. Cem. Concr. Compos. 2000, 22, 353–360. [Google Scholar] [CrossRef]
- Chandramouli, K.; Srinivasa, R.P.; Seshadri, S.T.; Pannirselvam, N.; Sravana, P. Rapid chloride permeability test for durability studies on glass fibre reinforced concrete. J. Eng. Appl. Sci. 2010, 5, 67–71. [Google Scholar]
- Liu, J.; Jia, Y.; Wang, J. Calculation of chloride ion diffusion in glass and polypropylene fiber-reinforced concrete. J. Constr. Build. Mater. 2019, 215, 875–885. [Google Scholar] [CrossRef]
- Scheffler, C.; Förster, T.; Mader, E.; Heinrich, G.; Hempel, S.; Mechtcherine, V. Aging of alkali-resistant glass and basalt fiber in alkaline solutions: Evaluation of the failure stress by Weibull distribution function. J. Non Cryst. Solids 2009, 355, 2588–2595. [Google Scholar] [CrossRef]
- Sim, J.; Park, C.; Moon, D.Y. Characteristics of basalt fiber as a strengthening material for concrete structures. Compos. Part B Eng. 2005, 36, 504–512. [Google Scholar] [CrossRef]
- Mohammadyan-Yasouj, S.E.; Abbastabar Ahangar, H.; Ahevani Oskoei, N.; Shokravi, H.; Rahimian Koloor, S.S.; Petru, M. Thermal Performance of Alginate Concrete Reinforced with Basalt Fiber. Crystals 2020, 10, 7799. [Google Scholar] [CrossRef]
- Zhang, J.Z.; Wang, J.Z.; Kong, D.Y. Chloride diffusivity analysis of existing concrete based on Fick’s second law. J. Wuhan Univ. Technol. 2010, 5, 142–146. [Google Scholar] [CrossRef]
- Sun, Y.M.; Liang, M.T.; Chang, T.P. Time/depth dependent diffusion and chemical reaction model of chloride transportation in concrete. J. Appl. Math Model 2012, 36, 1114–1122. [Google Scholar] [CrossRef]
- Ann, K.Y.; Hong, S.I. Modeling chloride transport in concrete a pore and chloride binding. Aci. Mater. J. 2018, 115, 595–604. [Google Scholar] [CrossRef]
- JGJ55-2011. Specification for Mix Proportion Design of Ordinary Concrete; China Architecture & Building Press: Beijing, China, 2011. (In Chinese) [Google Scholar]
- Mangat, P.S.; Molloy, B.T. Prediction of long term chloride concentration in concrete. J. Mater. Struct. 1994, 27, 338–346. [Google Scholar] [CrossRef]
- Chen, W.G.; Zhu, H.T.; He, Z.H.; Lin, Y.; Zhao, L.P.; Wen, C.C. Experimental investigation on chloride-ion penetration resistance of slag containing fiber-reinforced concrete under drying-wetting cycles. J. Constr. Build. Mater. 2021, 274, 829–841. [Google Scholar] [CrossRef]
- Ma, Z.M.; Liu, M.; Tang, Q.; Liang, C.F.; Duan, Z.H. Chloride permeability of recycled aggregate concrete under the coupling effect of freezing-thawing, elevated temperature or mechanical damage. J. Constr. Build. Mater. 2020, 237, 648–659. [Google Scholar] [CrossRef]









| Type of Concrete | Component Amount (kg/m3) | Volume Content | ||||
|---|---|---|---|---|---|---|
| Cement | Water | Sand | Stone | Water Reducer | Basalt Fiber (%) | |
| BFRC | 400 | 175 | 703.06 | 1054.59 | 0.64 | 0.15 |
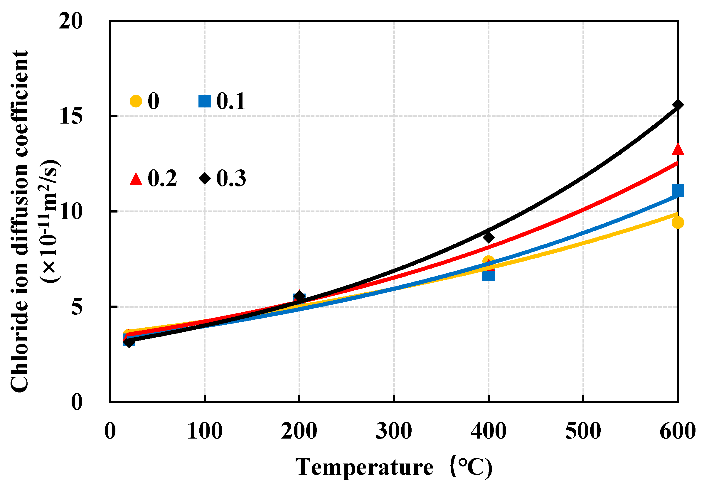
| Temperature | Axial Compression Ratio (×10−11) | Erosion Time | |||
|---|---|---|---|---|---|
| 0 | 0.1 | 0.2 | 0.3 | ||
| 20 °C | 3.51 | 3.27 | 3.54 | 3.16 | 28 days |
| 200 °C | 5.28 | 5.36 | 5.60 | 5.54 | |
| 400 °C | 7.37 | 6.68 | 7.20 | 8.64 | |
| 600 °C | 9.42 | 11.1 | 13.3 | 15.6 | |
| 20 °C | 2.03 | 1.95 | 1.98 | 1.96 | 56 days |
| 200 °C | 3.96 | 3.71 | 3.37 | 3.31 | |
| 400 °C | 5.81 | 4.61 | 5.41 | 6.66 | |
| 600 °C | 7.88 | 9.53 | 11.8 | 14.4 | |
| 20 °C | 1.29 | 1.18 | 1.33 | 1.31 | 84 days |
| 200 °C | 2.66 | 2.30 | 2.70 | 2.52 | |
| 400 °C | 4.59 | 4.05 | 4.90 | 5.71 | |
| 600 °C | 7.24 | 8.93 | 11.3 | 13.9 | |
| Axial Compression Ratio | Temperature/°C | |||
|---|---|---|---|---|
| 20 | 200 | 400 | 600 | |
| 0.1 | 1 | 1 | 1 | 1.105 |
| 0.2 | 1 | 1 | 1 | 1.412 |
| 0.3 | 1 | 1 | 1.173 | 1.656 |
| Axial Compressive Ratio | Temperature/°C | |||
|---|---|---|---|---|
| 20 | 200 | 400 | 600 | |
| 0.1 | 1 | 1 | 1 | 0.902 |
| 0.2 | 1 | 1 | 1 | 0.629 |
| 0.3 | 1 | 1 | 0.893 | 0.445 |
Publisher’s Note: MDPI stays neutral with regard to jurisdictional claims in published maps and institutional affiliations. |
© 2021 by the authors. Licensee MDPI, Basel, Switzerland. This article is an open access article distributed under the terms and conditions of the Creative Commons Attribution (CC BY) license (https://creativecommons.org/licenses/by/4.0/).
Share and Cite
Lu, L.; Wu, S.; Qin, Y.; Yuan, G.; Zhao, Q.; Doh, J.-H. The Chloride Ion Penetration Mechanism in Basalt Fiber Reinforced Concrete under Compression after Elevated Temperatures. Appl. Sci. 2021, 11, 10137. https://doi.org/10.3390/app112110137
Lu L, Wu S, Qin Y, Yuan G, Zhao Q, Doh J-H. The Chloride Ion Penetration Mechanism in Basalt Fiber Reinforced Concrete under Compression after Elevated Temperatures. Applied Sciences. 2021; 11(21):10137. https://doi.org/10.3390/app112110137
Chicago/Turabian StyleLu, Limin, Shaohua Wu, Yuwen Qin, Guanglin Yuan, Qingli Zhao, and Jeung-Hwan Doh. 2021. "The Chloride Ion Penetration Mechanism in Basalt Fiber Reinforced Concrete under Compression after Elevated Temperatures" Applied Sciences 11, no. 21: 10137. https://doi.org/10.3390/app112110137
APA StyleLu, L., Wu, S., Qin, Y., Yuan, G., Zhao, Q., & Doh, J.-H. (2021). The Chloride Ion Penetration Mechanism in Basalt Fiber Reinforced Concrete under Compression after Elevated Temperatures. Applied Sciences, 11(21), 10137. https://doi.org/10.3390/app112110137

