Compact and High Gain 4 × 4 Circularly Polarized Microstrip Patch Antenna Array for Next Generation Small Satellite
Abstract
1. Introduction
2. Configuration and Design Scheme of the Feeding Structure
2.1. Evaluation of SP-Feed Performance
2.2. Compact SR Phase Feed
2.3. Equivalent Circuit Model
3. Design of Array Antenna
3.1. Single Element
3.2. Application of SP Feed in 2 × 2 Antenna Array
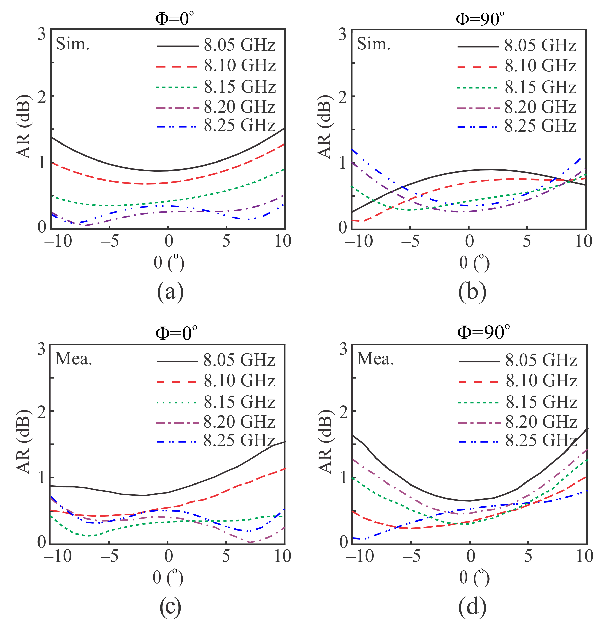
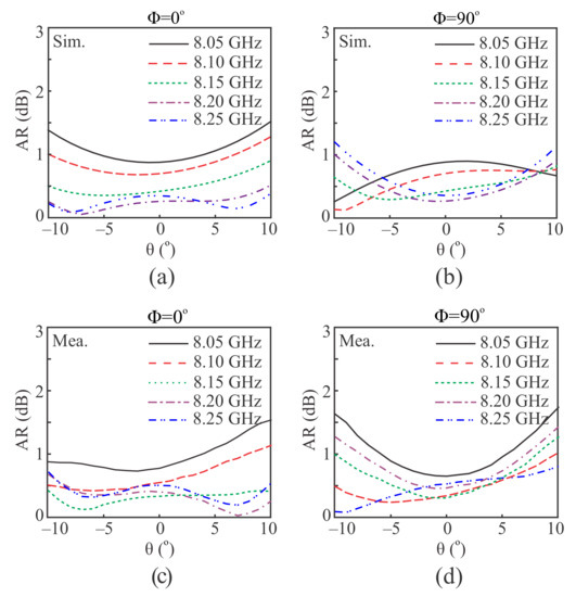
3.3. 4 × 4 Antenna Array and Measurements
4. Conclusions
Author Contributions
Funding
Institutional Review Board Statement
Informed Consent Statement
Data Availability Statement
Conflicts of Interest
References
- Gao, S.S.; Luo, Q.; Zhu, F. Circularly Polarized Antennas; John Wiley & Sons: Hoboken, NJ, USA, 2013. [Google Scholar]
- Ta, S.X.; Park, I. Planar wideband circularly polarized metasurface-based antenna array. J. Electromagn. Waves Appl. 2016, 30, 1620–1630. [Google Scholar] [CrossRef]
- Nosrati, M.; Yang, C.; Liu, X.; Tavassolian, N. Wideband circularly polarized, slot antenna array loaded with metasurface. Microw. Opt. Technol. Lett. 2020, 62, 2976–2988. [Google Scholar] [CrossRef]
- Le, T.T.; Tran, H.H.; Althuwayb, A.A. Wideband Circularly Polarized Antenna Based on a Non-Uniform Metasurface. Appl. Sci. 2020, 10, 8652. [Google Scholar] [CrossRef]
- Nkimbeng, C.H.S.; Wang, H.; Park, I. Coplanar Waveguide-Fed Bidirectional Same-Sense Circularly Polarized Metasurface-Based Antenna. J. Electromagn. Eng. Sci. 2021, 21, 210–217. [Google Scholar] [CrossRef]
- Wang, R.; Jiao, Y.; Lu, L.; Zhang, H. A novel wideband circularly polarized patch array with meta-surface. Appl. Sci. 2016, 62, 1–8. [Google Scholar] [CrossRef]
- Zheng, Q.; Guo, C.; Vandenbosch, G.A.; Ding, J. Low-profile circularly polarized array with gain enhancement and RCS reduction using polarization conversion EBG structures. IEEE Trans. Antennas Propag. 2019, 68, 2440–2445. [Google Scholar] [CrossRef]
- Rajanna, P.K.T.; Rudramuni, K.; Kandasamy, K. A wideband circularly polarized slot antenna backed by a frequency selective surface. J. Electromagn. Waves Appl. 2019, 19, 166–171. [Google Scholar] [CrossRef]
- Li, H.; Du, X.; Wei, Z.; Zhou, Z.; Yin, Y.Z. Broadband low-profile circularly polarized antenna with stepped sequential feeding structure. Prog. Electromagn. Res. 2018, 78, 1–7. [Google Scholar] [CrossRef]
- Wang, L.; En, Y.F. A Wideband Circularly Polarized Microstrip Antenna With Multiple Modes. IEEE Open J. Antennas Propag. 2020, 1, 413–418. [Google Scholar] [CrossRef]
- Tran, H.H.; Ta, S.X.; Park, I. Single-feed, wideband, circularly polarized, crossed bowtie dipole antenna for global navigation satellite systems. J. Electromagn. Eng. Sci. 2014, 14, 299–305. [Google Scholar] [CrossRef]
- Ta, S.X.; Han, J.J.; Park, I.; Ziolkowski, R.W. Wide-beam circularly polarized crossed scythe-shaped dipoles for global navigation satellite systems. J. Electromagn. Eng. Sci. 2013, 13, 224–232. [Google Scholar] [CrossRef]
- Ta, S.X.; Han, J.J.; Park, I. Compact circularly polarized composite cavity-backed crossed dipole for GPS applications. J. Electromagn. Eng. Sci. 2013, 13, 44–50. [Google Scholar] [CrossRef]
- Hall, P.S.; Hall, C.M. Coplanar corporate feed effects in microstrip patch array design. IEE Proc. H (Microw. Antennas Propag.) 1988, 135, 180–186. [Google Scholar] [CrossRef]
- Hall, P.S.; Dahele, J.S.; James, J.R. Design principles of sequentially fed, wide bandwidth, circularly polarised microstrip antennas. IEE Proc. H (Microw. Antennas Propag.) 1989, 136, 381–389. [Google Scholar] [CrossRef]
- Evans, H.; Gale, P.; Aljibouri, B.; Lim, E.G.; Korolkeiwicz, E.; Sambell, A. Application of simulated annealing to design of serial feed sequentially rotated 2 × 2 antenna array. Electron. Lett. 2000, 36, 1987–1988. [Google Scholar] [CrossRef]
- Maddio, S. A Compact Wideband Circularly Polarized Antenna Array for C-band Applications. IEEE Antennas Wirel. Propag. Lett. 2015, 14, 1081–1084. [Google Scholar] [CrossRef]
- Zhao, H.; Shui, M.; Deng, W.; Fang, Z.; Jiang, Z. Broadband Circularly polarized Sequential-Rotation Array Antenna with Compact Sequential-Phase Feed. Cross Strait-Quad-Reg. Radio Sci. Wirel. Technol. (CSQRWC) 2018, 14, 1–3. [Google Scholar]
- Chen, A.; Zhang, Y.; Chen, Z.; Cao, S. A ka-band highgain circularly polarized microstrip antenna array. IEEE Antennas Wirel. Propag. Lett. 2010, 9, 1115–1118. [Google Scholar] [CrossRef]
- Xu, P.; Yan, Z.-H.; Zhang, T.-L.; Yang, X.-Q. Broadband circularly polarized slot antenna array using a compact sequential-phase feeding network. Prog. Electromagn. Res. 2014, 47, 173–179. [Google Scholar] [CrossRef][Green Version]
- Piroutiniya, A.; Rasekhmanesh, M.H.; Mohammadi, P. Wide-band circularly polarised antenna array using sequential phase feed structure and reinforced square radiating patch element. IET Microwaves Antennas Propag. 2018, 12, 1395–1399. [Google Scholar] [CrossRef]
- Evans, H.; Sambell, A. Wideband 2 × 2 sequentially rotated patch antenna array with a series feed. Microw. Opt. Technol. Lett. 2004, 40, 292–294. [Google Scholar] [CrossRef]
- Zou, Y.; Li, H.; Xue, Y.; Sun, B. A high-gain compact circularly polarized microstrip array antenna with simplified feed network. Int. J. RF Microw. Comput.-Aided Eng. 2019, 29, e21964. [Google Scholar] [CrossRef]
- Daniele, I.; Hu, W.; Wen, G. Design of a microstrip series power divider for sequentially rotated nonuniform antenna array. Int. J. Antennas Propag. 2017, 2017, 9482979. [Google Scholar]
- Maddio, S. A compact two-level sequentially rotated circularly polarized antenna array for C-band applications. Int. J. Antennas Propag. 2015, 2015, 830920. [Google Scholar] [CrossRef]
- Evans, H.; Gale, P.; Sambell, A. Performance of 4 × 4 sequentially rotated patch antenna array using series feed. Electron. Lett. 2003, 39, 493–494. [Google Scholar] [CrossRef]
- Jazi, M.N.; Azarmanesh, M.N. Design and implementation of circularly polarised microstrip antenna array using a new serial feed sequentially rotated technique. IEE Proc.-Microw. Antennas Propag. 2006, 153, 133–140. [Google Scholar] [CrossRef]












| Type | IBW/ARBW (GHz) | Polarization | Gain (dBic) | Angular Width | AR (dB) |
|---|---|---|---|---|---|
| 4 × 4 Array | 8.05–8.25 | LHCP | >12 | ±10 in two planes | <1.5 |
| Ref. | Type | ARBW(%) | CP Gain(dBic) | C-to-C ( | Distance |
|---|---|---|---|---|---|
| [17] | Single Layer | 15.5 | 8.25 | 0.5 | |
| [18] | Single Layer | 7.6 | 10.04 | 0.99 | |
| [19] | Single Layer | 1.3 | 13.5 | 0.87 | |
| [20] | Single Layer | 58 | 8.9 | 0.72 | |
| [21] | Single Layer | 50 | 7.8 | 0.46 | |
| [22] | Multi-Layer with air gap | 17.5 | 14.25 | 0.74 | |
| [23] | Single Layer | 11.2 | 9.8 | 0.4 | |
| [Prop.] | Single Layer | 6.935 | 11.5 | 0.535 |
| Ref. | Type | Feeding Mechanism | IBW (%) | 3 dB AR (%) | CP Gain (dBic) | C-C/E-E ( | Distance |
|---|---|---|---|---|---|---|---|
| [24] | Single Layer | SR feed | 2.7 | 2.7 | 12.5 | 0.48 (C-C) | |
| [25] | Single Layer | SR feed | 53 | 16.5 and 10.37 | 12.5 | 0.45 (C-C) | |
| [26] | Single Layer | SR feed | 14.7 | 12.4 | 18 | 0.74 (E-E) | |
| [27] | Single Layer | SR feed | 6.08 | 4.4 | NG | 0.74 (E-E) | |
| This work | Single Layer | SR feed | >19.5 | 8.8 | 15.5 | 0.535 (C-C) |
Publisher’s Note: MDPI stays neutral with regard to jurisdictional claims in published maps and institutional affiliations. |
© 2021 by the authors. Licensee MDPI, Basel, Switzerland. This article is an open access article distributed under the terms and conditions of the Creative Commons Attribution (CC BY) license (https://creativecommons.org/licenses/by/4.0/).
Share and Cite
Elahi, M.; Trinh-Van, S.; Yang, Y.; Lee, K.-Y.; Hwang, K.-C. Compact and High Gain 4 × 4 Circularly Polarized Microstrip Patch Antenna Array for Next Generation Small Satellite. Appl. Sci. 2021, 11, 8869. https://doi.org/10.3390/app11198869
Elahi M, Trinh-Van S, Yang Y, Lee K-Y, Hwang K-C. Compact and High Gain 4 × 4 Circularly Polarized Microstrip Patch Antenna Array for Next Generation Small Satellite. Applied Sciences. 2021; 11(19):8869. https://doi.org/10.3390/app11198869
Chicago/Turabian StyleElahi, Manzoor, Son Trinh-Van, Youngoo Yang, Kang-Yoon Lee, and Keum-Cheol Hwang. 2021. "Compact and High Gain 4 × 4 Circularly Polarized Microstrip Patch Antenna Array for Next Generation Small Satellite" Applied Sciences 11, no. 19: 8869. https://doi.org/10.3390/app11198869
APA StyleElahi, M., Trinh-Van, S., Yang, Y., Lee, K.-Y., & Hwang, K.-C. (2021). Compact and High Gain 4 × 4 Circularly Polarized Microstrip Patch Antenna Array for Next Generation Small Satellite. Applied Sciences, 11(19), 8869. https://doi.org/10.3390/app11198869

