Modulation Linearization Technique for FM/CW SAR Image Processing Using Range Migration
Abstract
Featured Application
Abstract
1. Introduction
2. Linearization Method
2.1. Linearization Using Resampling
2.2. Range Migration Algorithm in SAR Imagery
2.3. Linearization in RMA SAR Processing
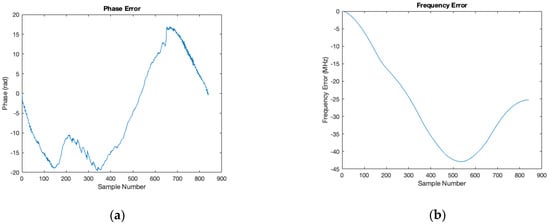
3. Experimental Results
4. Conclusions
Author Contributions
Funding
Institutional Review Board Statement
Informed Consent Statement
Conflicts of Interest
References
- Stove, G. Linear FMCW radar techniques. IEE Proceed. F 1992, 139, 342–350. [Google Scholar] [CrossRef]
- Piper, S.O. Homodyne FMCW Radar Range Resolution Effects with Sinusoidal Nonlinearities in the Frequency Sweep. In Proceedings of the 1995 IEEE International Radar Conference, Alexandria, VA, USA, 8–11 May 1995; pp. 563–567. [Google Scholar]
- Chen, W.; Xu, S.; Wang, D.; Liu, F. Range Performance Analysis in Linear FMCW Radar. In Proceedings of the 2nd International Conference on Microwave and Millimeter Wave Technology Proceedings, Chengdu, China, 14–16 September 2000; pp. 654–657. [Google Scholar]
- Brennan, P.V.; Huang, Y.; Ash, M.; Chetty, K. Determination of Sweep Linearity Requirements in FMCW Radar Systems Based on Simple Voltage-Controlled Oscillator Sources. IEEE Trans. Aerosp. Electr. Syst. 2011, 47, 1594–1603. [Google Scholar] [CrossRef]
- Fuchs, J.; Ward, K.D.; Tulin, M.P.; York, R.A. Simple techniques to correct for VCO nonlinearities in short range FMCW radars. In Proceedings of the 1996 IEEE MTT-S International Microwave Symposium Digest, San Franscisco, CA, USA, 17–21 June 1996; Volume 2, pp. 1175–1178. [Google Scholar] [CrossRef]
- Kang, B.K.; Kwon, H.J.; Mheen, B.K.; Yoo, H.J.; Kim, Y.H. Nonlinearity compensation circuit for voltage-controlled oscillator operating in linear frequency sweep mode. IEEE Microw. Guided Wave Lett. 2000, 10, 537–539. [Google Scholar] [CrossRef]
- Pichler, M.; Stelzer, A.; Gulden, P.; Seisenberger, C.; Vossiek, M. Phase-Error Measurement and Compensation in PLL Frequency Synthesizers for FMCW Sensors—I: Context and Application. IEEE Trans. Circuits Syst. I Regul. Pap. 2007, 54, 1006–1017. [Google Scholar] [CrossRef]
- Park, J.D.; Kim, W.J.; Lee, C.W. A novel method for beat frequency error correction for low cost FMCW radar using VCO sweep characteristics. In Proceedings of the 2005 European Microwave Conference, Paris, France, 4–6 October 2005; pp. 4–2098. [Google Scholar] [CrossRef]
- Burke, P.J. Ultra-linear chirp generation via VCO tuning predistortion. In Proceedings of the 1994 IEEE MTT-S International Microwave Symposium Digest (Cat. No.94CH3389-4), San Diego, CA, USA, 23–27 May 1994; Volume 2, pp. 957–960. [Google Scholar] [CrossRef]
- Christmann, M.; Vossiek, M.; Smith, M.; Rodet, G. SAW based Delay Locked Loop concept for VCO linearization in FMCW Radar sensors. In Proceedings of the 2003 33rd European Microwave Conference, Munich, Germany, 7 October 2003; pp. 1135–1138. [Google Scholar] [CrossRef]
- Vossiek, M.; Heide, P.; Nalezinski, M.; Magori, V. Novel FMCW radar system concept with adaptive compensation of phase errors. In Proceedings of the 1996 26th European Microwave Conference, Prague, Czech Republic, 9–12 September 1996; pp. 135–139. [Google Scholar] [CrossRef]
- Cantrell, B.; Faust, H.; Caul, A.; O’Brien, A. New Ranging Algorithm for FMCW Radars. In Proceedings of the 2001 IEEE Radar Conference, (Cat. No.01CH37200), Atlanta, GA, USA, 3 May 2001; pp. 421–425. [Google Scholar] [CrossRef][Green Version]
- Kulpa, K.S. Focusing range image in VCO based FMCW radar. In Proceedings of the 2003 Proceedings of the International Conference on Radar (IEEE Cat. No.03EX695); Adelaide, SA, Australia, 3–5 September 2003, pp. 235–238. [CrossRef]
- Li, L.; Yu, J.; Krolik, J. Software-defined calibration for FMCW phased-array radar. In Proceedings of the 2010 IEEE Radar Conference, Washington, DC, USA, 10–14 May 2010; pp. 877–881. [Google Scholar] [CrossRef]
- Anghel, A.; Vasile, G.; Cacoveanu, R.; Ioana, C.; Ciochină, S. FMCW Transceiver Wideband Sweep Nonlinearity Software Correction. In Proceedings of the 2013 IEEE Radar Conference (RadarCon13), Ottawa, ON, Canada, 29 April–3 May 2013; pp. 1–5. [Google Scholar] [CrossRef]
- Ghosh, A.; Chakravarty, D. Non-Linearity Compensation Algorithm for FMCW SAR. In Proceedings of the 2020 International Symposium on Antennas & Propagation (APSYM), Cochin, India, 14–16 December 2020; pp. 75–78. [Google Scholar] [CrossRef]
- Toker, O.; Brinkmann, M. A Novel Nonlinearity Correction Algorithm for FMCW Radar Systems for Optimal Range Accuracy and Improved Multitarget Detection Capability. Electronics 2019, 8, 1290. [Google Scholar] [CrossRef]
- Middleton, R.; Macfarlane, D.; Robertson, D. Range autofocus for linearly frequency-modulated continuous wave radar. IET Radar Sonar Navig. 2011, 5, 288–295. [Google Scholar] [CrossRef]
- Carrara, Goodman, and Majewski, Spotlight Synthetic Aperture Radar Signal Processing Algorithms; Artech House: Boston, MA, USA, 1995; pp. 401–438. ISBN 978-0890067284.
- Meta, A.; Hoogeboom, P. Development of signal processing algorithms for high resolution airborne millimeter wave FMCW SAR. In Proceedings of the 2005 IEEE International Radar Conference, Arlington, VA, USA, 9–12 May 2005; pp. 326–331. [Google Scholar] [CrossRef]
- Ibrahim, A.; Sacchi, M.D. Fast simultaneous seismic source separation using Stolt migration and demigration operators. Geophysics 2015, 80, WD27–WD36. [Google Scholar] [CrossRef]
- Cristofani, E.; Vandewal, M.; Matheis, C.; Jonuscheit, J. In-depth high-resolution SAR imaging using Omega-k applied to FMCW systems. In Proceedings of the 2012 IEEE Radar Conference, Atlanta, GA, USA, 7–11 May 2012; pp. 725–730. [Google Scholar] [CrossRef]
- Charvat, G.L. The MIT IAP radar course: Build a small radar system capable of sensing range, Doppler, and synthetic aperture (SAR) imaging. In Proceedings of the IEEE Radar Conference (RADAR), Atlanta, GA, USA, 7–11 May 2012. [Google Scholar]









Publisher’s Note: MDPI stays neutral with regard to jurisdictional claims in published maps and institutional affiliations. |
© 2021 by the authors. Licensee MDPI, Basel, Switzerland. This article is an open access article distributed under the terms and conditions of the Creative Commons Attribution (CC BY) license (https://creativecommons.org/licenses/by/4.0/).
Share and Cite
Grosch, T.; Okhio, C. Modulation Linearization Technique for FM/CW SAR Image Processing Using Range Migration. Appl. Sci. 2021, 11, 7410. https://doi.org/10.3390/app11167410
Grosch T, Okhio C. Modulation Linearization Technique for FM/CW SAR Image Processing Using Range Migration. Applied Sciences. 2021; 11(16):7410. https://doi.org/10.3390/app11167410
Chicago/Turabian StyleGrosch, Theodore, and Cyril Okhio. 2021. "Modulation Linearization Technique for FM/CW SAR Image Processing Using Range Migration" Applied Sciences 11, no. 16: 7410. https://doi.org/10.3390/app11167410
APA StyleGrosch, T., & Okhio, C. (2021). Modulation Linearization Technique for FM/CW SAR Image Processing Using Range Migration. Applied Sciences, 11(16), 7410. https://doi.org/10.3390/app11167410

