Methods of Pre-Identification of TITO Systems
Abstract
:1. Introduction
2. Materials and Methods
2.1. Decentralized Control
2.2. Recursive Identification Using Approximation Polynomials
2.3. Least Squares Method with Exponential Forgetting
2.4. Self-Tuning Controller
2.5. Suboptimal Linear Quadratic Tracking Controller
2.6. Calculation of Derivatives Using Approximation Functions
2.7. Recursive Instrumental Variable Method
3. Assumptions
3.1. Decentralized Controllability
3.2. System Model and Shape of Reference Signal
4. Pre-Identification
- The controller is not connected in the closed circuit. The values of the vector of difference of output quantities and reference signals E(t) are sent to the input of the system S(t). The values of the reference signals are the same and at the same time as those that will be used during regulation.
 - If switching control is considered, each time interval of the control of the system S(s) at which all reference signals have a constant value is identified separately, in so-called Identification Elements (IE).
 - Each identification element is identified several times, each time by a different identification algorithm, and the obtained model can be verified by comparison with the measured data. The obtained model, which is most consistent with the measured data, is then used for control. Let us call this method of Identification More Than One Method (IMTOM).
 
5. Results
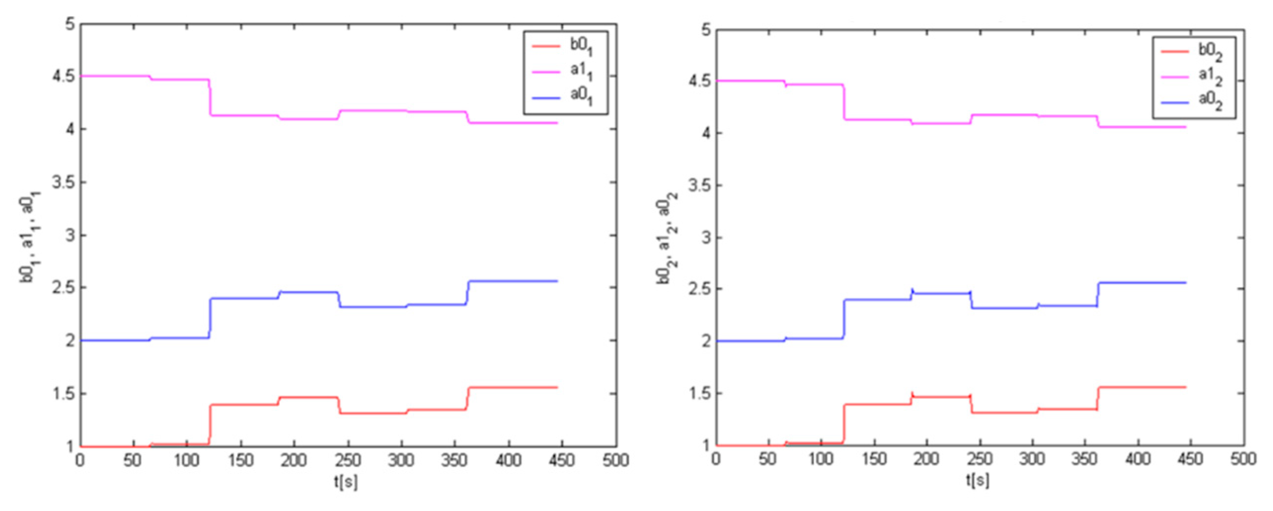
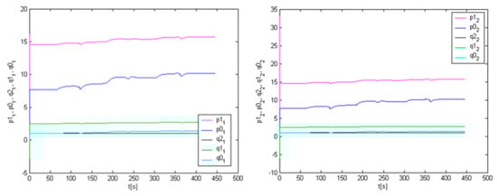
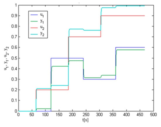
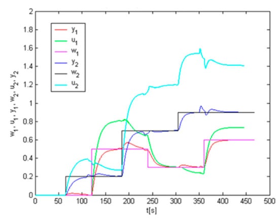
5.1. Simulation Results
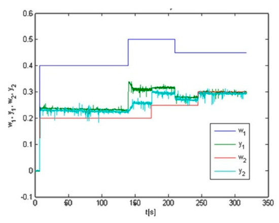
5.2. Results in Real-Time at Laboratory Model
6. Conclusions
Author Contributions
Funding
Institutional Review Board Statement
Informed Consent Statement
Data Availability Statement
Acknowledgments
Conflicts of Interest
References
- Pournas, E.; Jung, S.; Yadhunathan, S.; Zhang, H.; Fang, X. Socio-technical smart grid optimization via decentralized charge control of electric vehicles. Appl. Soft Comput. J. 2019, 82, 10573. [Google Scholar]
 - Yuan, Q.; Zhan, J.; Li, X. Outdoor flocking of quadcopter drones with decentralized model predictive control. ISA Trans. 2017, 71, 84–92. [Google Scholar] [CrossRef] [PubMed]
 - Blanchini, F.; Casagrande, D.; Fabiani, F.; Giordano, G.; Pesenti, R. Network-decentralized optimization and control: An explicit saturated solution. Automatica 2019, 103, 379–389. [Google Scholar] [CrossRef]
 - Wang, Y.; Hu, J.; Zheng, Y. Improved decentralized prescribed performance control for non-affine large-scale systems with uncertain actuator nonlinearity. J. Frankl. Inst. 2019, 356, 7091–7111. [Google Scholar] [CrossRef]
 - Qu, Q.; Zhang, H.; Feng, T.; Jiang, H. Decentralized adaptive tracking control scheme for nonlinear large-scale interconnected systems via adaptive dynamic programming. Neurocomputing 2017, 225, 1–10. [Google Scholar] [CrossRef]
 - Bahramipanah, M.; Cherkaoui, R.; Paolone, M. Decentralized voltage control of clustered active distribution network by means of energy storage systems. Electr. Power Syst. Res. 2016, 136, 370–382. [Google Scholar] [CrossRef]
 - Liu, D.; Yang, G.H. Decentralized event-triggered output feedback control for a class of interconnected large-scale systems. ISA Trans. 2019, 93, 156–164. [Google Scholar] [CrossRef] [PubMed]
 - Shi, W.; Yan, F.; Li, B. Adaptive fuzzy decentralized control for a class of nonlinear systems with different performance constraints. Fuzzy Sets Syst. 2019, 374, 1–22. [Google Scholar] [CrossRef]
 - Choi, Y.H.; Yoo, S.J. Decentralized adaptive output-feedback control of interconnected nonlinear time-delay systems using minimal neural networks. J. Frankl. Inst. 2018, 355, 81–105. [Google Scholar] [CrossRef]
 - Wang, C.; Wen, C.; Guo, L. Decentralized output-feedback adaptive control for a class of interconnected nonlinear systems with unknown actuator failures. Automatica 2016, 71, 187–196. [Google Scholar] [CrossRef]
 - Wang, C.; Wen, C.; Lin, Y.; Wang, W. Decentralized adaptive tracking control for a class of interconnected nonlinear systems with input quantization. Automatica 2017, 81, 359–368. [Google Scholar] [CrossRef]
 - Wang, Z.; Zhang, B.; Yuan, J. Decentralized adaptive fault tolerant control for a class of interconnected systems with nonlinear multisource disturbances. J. Frankl. Inst. 2018, 355, 4493–4514. [Google Scholar] [CrossRef]
 - Si, W.; Dong, X.; Yang, F. Decentralized adaptive neural control for interconnected stochastic nonlinear delay-time systems with asymmetric saturation actuators and output constraints. J. Frankl. Inst. 2018, 355, 54–80. [Google Scholar] [CrossRef]
 - Li, X.; Liu, X. Backstepping-based decentralized adaptive neural H∞ tracking control for a class of large-scale nonlinear interconnected systems. J. Frankl. Inst. 2018, 355, 4533–4552. [Google Scholar] [CrossRef]
 - Tellez, F.O.; Loukianov, A.G.; Sanchez, E.N.; Corrochano, J.B. Decentralized neural identification and control or uncertain nonlinear systems: Application to planar robot. J. Frankl. Inst. 2010, 347, 1015–1034. [Google Scholar] [CrossRef]
 - Halim, D.; Luo, X.; Trivailo, P.M. Decentralized vibration control of a multi-link flexible robotic manipulator using smart piezoelectric transducers. Acta Astronaut. 2014, 104, 186–196. [Google Scholar] [CrossRef]
 - Cheng, T.M.; Savkin, A.V. Decentralized Control of Multi-robot Systems for Rectangular Aggregation. IFAC Proc. Vol. 2011, 44, 11574–11579. [Google Scholar] [CrossRef] [Green Version]
 - Necsulescu, D.; Pruner, E.; Kim, B.; Sasiadek, J. Decentralized Control of Autonomous Mobile Robots Formations using Velocity Potentials. IFAC Proc. Vol. 2012, 45, 31–36. [Google Scholar] [CrossRef]
 - Cheng, T.M.; Savkin, A.; Javed, F. Decentralized Control of a group of mobile robots for deployment in sweep coverage. Robot. Auton. Syst. 2011, 59, 497–507. [Google Scholar] [CrossRef]
 - Perutka, K. Adaptive LQ control with pre-identification of two tanks laboratory model. In Annals of DAAAM and Proceedings of the International DAAAM Symposium; Danube Adria Association for Automation and Manufacturing: Wienna, Austria, 2009; pp. 439–440. [Google Scholar]
 - Bobal, V.; Böhm, J.; Fessl, J.; Machacek, J. Digital Self-Tuning Controllers; Springer: London, UK, 2009. [Google Scholar]
 - Dostal, P.; Bobal, V. The suboptimal tracking problem in linear systems. In Proceedings of the 7th Conference on Control and Automation, Haifa, Israel, 28–30 June 1999; pp. 667–673. [Google Scholar]
 - Perutka, K. Decentralized Adaptive Control. Ph.D. Thesis, Tomas Bata University iz Zlin, Zlín, Czech Republic, 2007. [Google Scholar]
 - Velíšek, K.; Holubek, R.; Sobrino, D.R.; Ružarovský, R.; Vetríková, N. Design of a robotized workstation making use of the integration of CAD models and Robotic Simulation software as way of pairing and comparing real and virtual environments. In MATEC, 4th International Conference on Computing and Solutions in Manufacturing Engineering 2016—CoSME´16; EDP Sciences: Youlis, France, 2017. [Google Scholar]
 - Holubek, R.; Ružarovský, R.; Delgado Sobrino, D.R.; Košťál, P.; Švorc, A.; Velíšek, K. Novel trends in the assembly process as the results of human—The industrial robot collaboration. In MATEC Web of Conferences; EDP Sciences: Youlis, France, 2017; Volume 137. [Google Scholar]
 - TQ Tecquioment Academia-CE108 Coupled Drives Apparatus. November 2018. Available online: https://www.tecquipment.com/assets/documents/datasheets/CE108-Coupled-Drives-Datasheet.pdf (accessed on 28 July 2021).
 













Publisher’s Note: MDPI stays neutral with regard to jurisdictional claims in published maps and institutional affiliations.  | 
© 2021 by the authors. Licensee MDPI, Basel, Switzerland. This article is an open access article distributed under the terms and conditions of the Creative Commons Attribution (CC BY) license (https://creativecommons.org/licenses/by/4.0/).
Share and Cite
Saga, M.; Perutka, K.; Kuric, I.; Zajačko, I.; Bulej, V.; Tlach, V.; Bezák, M. Methods of Pre-Identification of TITO Systems. Appl. Sci. 2021, 11, 6954. https://doi.org/10.3390/app11156954
Saga M, Perutka K, Kuric I, Zajačko I, Bulej V, Tlach V, Bezák M. Methods of Pre-Identification of TITO Systems. Applied Sciences. 2021; 11(15):6954. https://doi.org/10.3390/app11156954
Chicago/Turabian StyleSaga, Milan, Karel Perutka, Ivan Kuric, Ivan Zajačko, Vladimír Bulej, Vladimír Tlach, and Martin Bezák. 2021. "Methods of Pre-Identification of TITO Systems" Applied Sciences 11, no. 15: 6954. https://doi.org/10.3390/app11156954
APA StyleSaga, M., Perutka, K., Kuric, I., Zajačko, I., Bulej, V., Tlach, V., & Bezák, M. (2021). Methods of Pre-Identification of TITO Systems. Applied Sciences, 11(15), 6954. https://doi.org/10.3390/app11156954
        
                                                
