Adversarial Data Augmentation on Breast MRI Segmentation
Abstract
1. Introduction
- Generator architecture: what generator architecture can enable the synthesis of more realistic images?
- Synthetic data effect: what amount and level of generative quality is enough for an effective learning by a segmentation network?
2. Methods
2.1. Segmenter U-Net
2.2. Adversarial Generator
2.2.1. Residual Block Pix2Pix Variation (ResGAN)
- Ck: Convolution—Batch/Instance Normalization—ReLU with k filters;
- TCk: Transposed Convolution—Batch/Instance Normalization—ReLU, with k filters;
- Rk: Residual block consisting in Convolution—Batch/Instance Normalization—ReLU—Convolution, with k filters for the input and output of all convolutions.
- Y×Bk: Block Bk repeated Y times, in series.
2.2.2. CycleGAN
2.2.3. Pix2PixHD
2.2.4. Other Experiments with Losses
2.3. Evaluation Metrics
2.3.1. FID and SSIM
2.3.2. Metrics Analysis
- T1—horizontal flip;
- T2—horizontal translation (20 pixels);
- T3—zoom (140%) and crop;
- T4—rotation (10°);
- T5—gamma correction (), resulting in a lower intensity distribution;
- T6—gamma correction (), resulting in a higher intensity distribution;
- T7—median blur (size );
- T8—downsampling ( factor) with aliasing, and resize, resulting in a blurry image;
- T9—Gaussian blur (, kernel );
- T10—salt and pepper noise.
2.3.3. Pipeline DICE
3. Experiments and Results
3.1. Experimental Setup
3.2. Dataset
3.3. Experiments
3.3.1. MRI Generation
3.3.2. Semantic Segmentation
4. Discussion
4.1. Generation Results
4.2. Segmentation Results
4.3. Model and Augmentation Stability
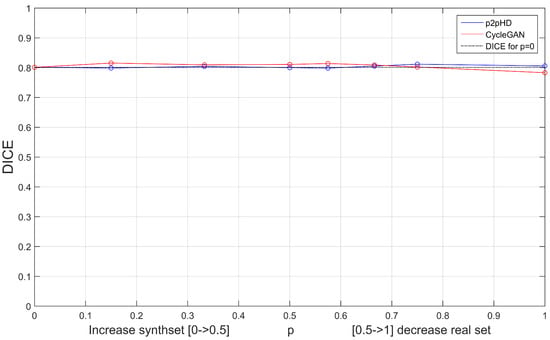
4.4. Effects of Synthetic Data
4.5. Region Error Profiles
5. Conclusions
Author Contributions
Funding
Institutional Review Board Statement
Informed Consent Statement
Conflicts of Interest
Abbreviations
| CT | Computed Tomography |
| GAN | Generative Adversarial Network |
| FID | Fréchet Inception Distance |
| MRI | Magnetic Resonance Imaging |
| SSIM | Structure Similarity Index Measure |
Appendix A




References
- Goodfellow, I.; Pouget-Abadie, J.; Mirza, M.; Xu, B.; Warde-Farley, D.; Ozair, S.; Courville, A.; Bengio, Y. Generative Adversarial Nets. In Advances in Neural Information Processing Systems 27 (NIPS2014); MIT Press: Cambridge, MA, USA, 2014; pp. 2672–2680. [Google Scholar]
- Radford, A.; Metz, L.; Chintala, S. Unsupervised Representation Learning with Deep Convolutional Generative Adversarial Networks. In Proceedings of the 4th International Conference on Learning Representations, San Juan, Puerto Rico, 2–4 May 2016. [Google Scholar]
- Ledig, C.; Theis, L.; Huszár, F.; Caballero, J.; Cunningham, A.; Acosta, A.; Aitken, A.; Tejani, A.; Totz, J.; Wang, Z.; et al. Photo-Realistic Single Image Super-Resolution Using a Generative Adversarial Network. In Proceedings of the 2017 IEEE Conference on Computer Vision and Pattern Recognition (CVPR), Honolulu, HI, USA, 21–26 July 2017; pp. 105–114. [Google Scholar] [CrossRef]
- Nie, D.; Trullo, R.; Lian, J.; Wang, L.; Petitjean, C.; Ruan, S.; Wang, Q.; Shen, D. Medical Image Synthesis with Deep Convolutional Adversarial Networks. IEEE Trans. Biomed. Eng. 2018, 65, 2720–2730. [Google Scholar] [CrossRef] [PubMed]
- Kaiser, B.; Albarqouni, S. MRI to CT Translation with GANs. arXiv 2019, arXiv:1901.05259. [Google Scholar]
- Wolterink, J.; Dinkla, A.; Savenije, M.; Seevinck, P.; van den Berg, C.; Išgum, I. Deep MR to CT Synthesis Using Unpaired Data. In Simulation and Synthesis in Medical Imaging; Tsaftaris, S.A., Gooya, A., Frangi, A.F., Prince, J.L., Eds.; Springer: Québec City, QC, Canada, 2017; pp. 14–23. [Google Scholar]
- Dar, S.U.; Yurt, M.; Karacan, L.; Erdem, A.; Erdem, E.; Çukur, T. Image Synthesis in Multi-Contrast MRI with Conditional Generative Adversarial Networks. IEEE Trans. Med. Imaging 2019, 38, 2375–2388. [Google Scholar] [CrossRef] [PubMed]
- Olut, S.; Sahin, Y.; Demir, U.; Unal, G. Generative Adversarial Training for MRA Image Synthesis Using Multi-contrast MRI. In Predictive Intelligence in MEdicine (PRIME2018); Rekik, I., Unal, G., Adeli, E., Park, S.H., Eds.; Springer: Cham, Switzerland, 2018; pp. 147–154. [Google Scholar]
- Frid-Adar, M.; Diamant, I.; Klang, E.; Amitai, M.; Goldberger, J.; Greenspan, H. GAN-based synthetic medical image augmentation for increased CNN performance in liver lesion classification. Neurocomputing 2018, 321, 321–331. [Google Scholar] [CrossRef]
- Han, C.; Hayashi, H.; Rundo, L.; Araki, R.; Shimoda, W.; Muramatsu, S.; Furukawa, Y.; Mauri, G.; Nakayama, H. GAN-based synthetic brain MR image generation. In Proceedings of the 2018 IEEE 15th International Symposium on Biomedical Imaging (ISBI 2018), Washington, DC, USA, 4–7 April 2018; pp. 734–738. [Google Scholar] [CrossRef]
- Sanchez, I.; Vilaplana, V. Brain MRI super-resolution using 3D generative adversarial networks. arXiv 2018, arXiv:1812.11440. [Google Scholar]
- Armanious, K.; Jiang, C.; Fischer, M.; Küstner, T.; Hepp, T.; Nikolaou, K.; Gatidis, S.; Yang, B. MedGAN: Medical image translation using GANs. Comput. Med. Imaging Graph. 2020, 79, 101684. [Google Scholar] [CrossRef] [PubMed]
- Isola, P.; Zhu, J.; Zhou, T.; Efros, A.A. Image-to-Image Translation with Conditional Adversarial Networks. In Proceedings of the 2017 IEEE Conference on Computer Vision and Pattern Recognition (CVPR), Honolulu, HI, USA, 21–26 July 2017; pp. 5967–5976. [Google Scholar] [CrossRef]
- Shin, H.C.; Tenenholtz, N.A.; Rogers, J.K.; Schwarz, C.G.; Senjem, M.L.; Gunter, J.L.; Andriole, K.P.; Michalski, M. Medical Image Synthesis for Data Augmentation and Anonymization Using Generative Adversarial Networks. In Simulation and Synthesis in Medical Imaging; Springer: Cham, Switzerland, 2018; pp. 1–11. [Google Scholar]
- Costa, P.; Galdran, A.; Meyer, M.I.; Niemeijer, M.; Abràmoff, M.; Mendonça, A.M.; Campilho, A. End-to-End Adversarial Retinal Image Synthesis. IEEE Trans. Med. Imaging 2018, 37, 781–791. [Google Scholar] [CrossRef] [PubMed]
- Park, T.; Efros, A.A.; Zhang, R.; Zhu, J.Y. Contrastive Learning for Unpaired Image-to-Image Translation. In Computer Vision—ECCV 2020; Vedaldi, A., Bischof, H., Brox, T., Frahm, J.M., Eds.; Springer: Cham, Switzerland, 2020; pp. 319–345. [Google Scholar]
- Wang, T.C.; Liu, M.Y.; Zhu, J.Y.; Tao, A.; Kautz, J.; Catanzaro, B. High-resolution image synthesis and semantic manipulation with conditional gans. In Proceedings of the IEEE Conference on Computer Vision and Pattern Recognition, Salt Lake City, UT, USA, 23 June 2018; pp. 8798–8807. [Google Scholar]
- Heusel, M.; Ramsauer, H.; Unterthiner, T.; Nessler, B.; Hochreiter, S. GANs Trained by a Two Time-Scale Update Rule Converge to a Local Nash Equilibrium. In Proceedings of the 31st International Conference on Neural Information Processing Systems, Long Beach, CA, USA, 4–9 December 2017; Curran Associates Inc.: Red Hook, NY, USA, 2017; pp. 6629–6640. [Google Scholar]
- Wang, Z.; Simoncelli, E.P.; Bovik, A.C. Multiscale structural similarity for image quality assessment. In Proceedings of the Thirty-Seventh Asilomar Conference on Signals, Systems and Computers, Pacific Grove, CA, USA, 9–12 November 2003; Volume 2, pp. 1398–1402. [Google Scholar] [CrossRef]
- Ronneberger, O.; Fischer, P.; Brox, T. U-Net: Convolutional Networks for Biomedical Image Segmentation. In Medical Image Computing and Computer-Assisted Intervention—MICCAI 2015; Navab, N., Hornegger, J., Wells, W., Frangi, A., Eds.; Springer: Cham, Switzerland, 2015; pp. 234–241. [Google Scholar] [CrossRef]
- He, K.; Zhang, X.; Ren, S.; Sun, J. Deep Residual Learning for Image Recognition. In Proceedings of the 2016 IEEE Conference on Computer Vision and Pattern Recognition (CVPR), Las Vegas, NV, USA, 27–30 June 2016; pp. 770–778. [Google Scholar] [CrossRef]
- Zhu, J.; Park, T.; Isola, P.; Efros, A. Unpaired Image-to-Image Translation Using Cycle-Consistent Adversarial Networks. In Proceedings of the 2017 IEEE International Conference on Computer Vision (ICCV), Venice, Italy, 22–29 October 2017; pp. 2242–2251. [Google Scholar] [CrossRef]
- Simonyan, K.; Zisserman, A. Very Deep Convolutional Networks for Large-Scale Image Recognition. In Proceedings of the 3rd International Conference on Learning Representations, San Diego, CA, USA, 7–9 May 2015. [Google Scholar]
- Mardani, M.; Gong, E.; Cheng, J.Y.; Vasanawala, S.; Zaharchuk, G.; Xing, L.; Pauly, J. Deep Generative Adversarial Neural Networks for Compressive Sensing MRI. IEEE Trans. Med. Imaging 2019, 38, 167–179. [Google Scholar] [CrossRef] [PubMed]
- Chartsias, A.; Joyce, T.; Giuffrida, M.; Tsaftaris, S. Multimodal MR Synthesis via Modality-Invariant Latent Representation. IEEE Trans. Med. Imaging 2018, 37, 803–814. [Google Scholar] [CrossRef] [PubMed]
- Karras, T.; Aila, T.; Laine, S.; Lehtinen, J. Progressive growing of GANs for improved quality, stability and variation. In Proceedings of the 6th International Conference on Learning Representations (ICLR2018), Vancouver, BC, Canada, 30 April 2018; pp. 1–26. [Google Scholar]
- Salimans, T.; Goodfellow, I.; Zaremba, W.; Cheung, V.; Radford, A.; Chen, X. Improved Techniques for Training GANs. In Proceedings of the 30th International Conference on Neural Information Processing Systems, Barcelona, Spain, 4–9 December 2016; Curran Associates Inc.: Red Hook, NY, USA, 2016; pp. 2234–2242. [Google Scholar]
- Borji, A. Pros and cons of GAN evaluation measures. Comput. Vis. Image Underst. 2019, 179, 41–65. [Google Scholar] [CrossRef]
- Salehi, S.; Erdogmus, D.; Gholipour, A. Tversky Loss Function for Image Segmentation Using 3D Fully Convolutional Deep Networks. In Machine Learning in Medical Imaging; Wang, Q., Shi, Y., Suk, H.I., Suzuki, K., Eds.; Springer: Cham, Switzerland, 2017; pp. 379–387. [Google Scholar]
- Sudre, C.; Li, W.; Vercauteren, T.; Ourselin, S.; Cardoso, M. Generalised Dice Overlap as a Deep Learning Loss Function for Highly Unbalanced Segmentations. In Deep Learning in Medical Image Analysis and Multimodal Learning for Clinical Decision Support; Cardoso, M., Arbel, T., Carneiro, G., Syeda-Mahmood, T., Tavares, J., Moradi, M., Bradley, A., Greenspan, H., Papa, J., Madabhushi, A., et al., Eds.; Springer: Cham, Switzerland, 2017; pp. 240–248. [Google Scholar] [CrossRef]
- Bertels, J.; Robben, D.; Vandermeulen, D.; Suetens, P. Optimization with Soft Dice Can Lead to a Volumetric Bias. In Brainlesion: Glioma, Multiple Sclerosis, Stroke and Traumatic Brain Injuries; Crimi, A., Bakas, S., Eds.; Springer: Cham, Switzerland, 2020; pp. 89–97. [Google Scholar]
- Teixeira, J.F. Anatomical Label Maps to Breast MRI-Repository. Available online: https://gitlab.inesctec.pt/ippr-pub/labels2breastmri (accessed on 15 May 2021).
- Alexandre, M. UNet: Semantic Segmentation with PyTorch-Repository. Available online: https://github.com/milesial/Pytorch-U-Net (accessed on 3 November 2020).










| T1 | T2 | T3 | T4 | T5 | T6 | T7 | T8 | T9 | T10 | |
|---|---|---|---|---|---|---|---|---|---|---|
| FID↓ | 49.84 | 69.89 | 92.63 | 129.4 | 107.2 | 133.3 | 229.0 | 273.1 | 293.8 | 367.1 |
| SSIM↑ | 0.615 | 0.528 | 0.547 | 0.582 | 0.744 | 0.766 | 0.814 | 0.845 | 0.838 | 0.117 |
| SSIM↑ | FID↓ | ||||
|---|---|---|---|---|---|
| ⊥ | ⊤ | ||||
| Pix2PixHD BS8 | 0.778 | 0.849 | 0.041 | 0.951 | 167.0 |
| ResGAN BS8 | 0.799 | 0.874 | 0.036 | 0.961 | 206.3 |
| ResGAN BS8 + ExpReplay | 0.798 | 0.873 | 0.036 | 0.960 | 213.8 |
| CycleGAN BS1 + ExpReplay | 0.764 | 0.844 | 0.041 | 0.953 | 157.4 |
| Synthset Generator | Best * p | DICE ↑ | |||
|---|---|---|---|---|---|
| ⊥ | ⊤ | ||||
| No Aug | 0 | 0.495 | 0.806 | 0.079 | 0.949 |
| Pix2PixHD | 0.333 | 0.459 | 0.803 | 0.082 | 0.954 |
| ResGAN | 0.333 | 0.504 | 0.813 | 0.077 | 0.956 |
| CycleGAN | 0.15 | 0.483 | 0.813 | 0.081 | 0.957 |
| Synthset Generator | Best * p | DICE | ||||||
|---|---|---|---|---|---|---|---|---|
| Bgd | Breast | Pleura | Pect.M. | Sternum | Clav. | |||
| No Aug | 0 | 0.976 | 0.946 | 0.637 | 0.669 | 0.777 | 0.497 | |
| 0.011 | 0.042 | 0.218 | 0.173 | 0.228 | 0.282 | |||
| Pix2PixHD | 0.333 | 0.976 | 0.945 | 0.652 | 0.625 | 0.808 | 0.440 | |
| 0.009 | 0.049 | 0.215 | 0.238 | 0.154 | 0.293 | |||
| ResGAN | 0.333 | 0.976 | 0.941 | 0.657 | 0.672 | 0.799 | 0.540 | |
| 0.010 | 0.061 | 0.199 | 0.198 | 0.187 | 0.330 | |||
| CycleGAN | 0.15 | 0.976 | 0.950 | 0.659 | 0.667 | 0.791 | 0.502 | |
| 0.011 | 0.040 | 0.204 | 0.198 | 0.230 | 0.284 | |||
Publisher’s Note: MDPI stays neutral with regard to jurisdictional claims in published maps and institutional affiliations. |
© 2021 by the authors. Licensee MDPI, Basel, Switzerland. This article is an open access article distributed under the terms and conditions of the Creative Commons Attribution (CC BY) license (https://creativecommons.org/licenses/by/4.0/).
Share and Cite
Teixeira, J.F.; Dias, M.; Batista, E.; Costa, J.; Teixeira, L.F.; Oliveira, H.P. Adversarial Data Augmentation on Breast MRI Segmentation. Appl. Sci. 2021, 11, 4554. https://doi.org/10.3390/app11104554
Teixeira JF, Dias M, Batista E, Costa J, Teixeira LF, Oliveira HP. Adversarial Data Augmentation on Breast MRI Segmentation. Applied Sciences. 2021; 11(10):4554. https://doi.org/10.3390/app11104554
Chicago/Turabian StyleTeixeira, João F., Mariana Dias, Eva Batista, Joana Costa, Luís F. Teixeira, and Hélder P. Oliveira. 2021. "Adversarial Data Augmentation on Breast MRI Segmentation" Applied Sciences 11, no. 10: 4554. https://doi.org/10.3390/app11104554
APA StyleTeixeira, J. F., Dias, M., Batista, E., Costa, J., Teixeira, L. F., & Oliveira, H. P. (2021). Adversarial Data Augmentation on Breast MRI Segmentation. Applied Sciences, 11(10), 4554. https://doi.org/10.3390/app11104554

