Opto-Electronic Refractometric Sensor Based on Surface Plasmon Resonances and the Bolometric Effect
Abstract
Featured Application
Abstract
1. Introduction
2. Design and Optimization
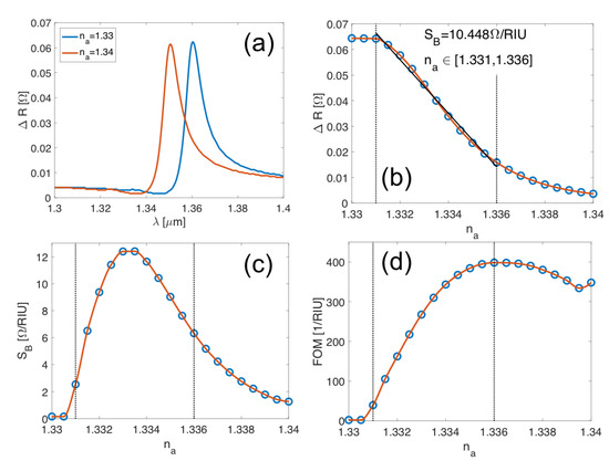
3. Results and Discussion
4. Conclusions
Author Contributions
Funding
Acknowledgments
Conflicts of Interest
References
- Sukharev, M.; Seideman, T. Coherent control of light propagation via nanoparticle arrays. J. Phys. B At. Mol. Opt. Phys. 2007, 40, S283–S298. [Google Scholar] [CrossRef]
- Volpe, G.; Molina-Terriza, G.; Quidant, R. Deterministic Subwavelength Control of Light Confinement in Nanostructures. Phys. Rev. Lett. 2010, 105, 216802. [Google Scholar] [CrossRef] [PubMed]
- Elshorbagy, M.H.; Cuadrado, A.; Alda, J. High-sensitivity integrated devices based on surface plasmon resonance for sensing applications. Photonics Res. 2017, 5, 654–661. [Google Scholar] [CrossRef]
- Elshorbagy, M.H.; Cuadrado, A.; González, G.; González, F.J.; Alda, J. Performance Improvement of Refractometric Sensors Through Hybrid Plasmonic–Fano Resonances. J. Light. Technol. 2019, 37, 2905–2913. [Google Scholar] [CrossRef]
- Liu, N.; Mesch, M.; Weiss, T.; Hentschel, M.; Giessen, H. Infrared Perfect Absorber and Its Application As Plasmonic Sensor. Nano Lett. 2010, 10, 2342–2348. [Google Scholar] [CrossRef] [PubMed]
- Wang, H.; Kaur, S.; Elzouka, M.; Prasher, R. A nano-photonic filter for near infrared radiative heater. Appl. Therm. Eng. 2019, 153, 221–224. [Google Scholar] [CrossRef]
- Yilmaz, Y.A.; Alpkilic, A.M.; Tutgun, M.; Yilmaz, D.; Atalay, İ.A.; Yeltik, A.; Kurt, H. Inverse Design of Integrated Photonic Structures. In Proceedings of the 2019 21st International Conference on Transparent Optical Networks (ICTON), Angers, France, 9–13 July 2019; pp. 1–4. [Google Scholar] [CrossRef]
- Ghobadi, A.; Hajian, H.; Gokbayrak, M.; Butun, B.; Ozbay, E. Bismuth-based metamaterials: from narrowband reflective color filter to extremely broadband near perfect absorber. Nanophotonics 2019, 8, 823–832. [Google Scholar] [CrossRef]
- Zhang, L.; Wang, Y.; Zhou, L.; Chen, F. Tunable perfect absorber based on gold grating including phase-changing material in visible range. Appl. Phys. A 2019, 125, 368. [Google Scholar] [CrossRef]
- Makarov, S.; Furasova, A.; Tiguntseva, E.; Hemmetter, A.; Berestennikov, A.; Pushkarev, A.; Zakhidov, A.; Kivshar, Y. Halide-Perovskite Resonant Nanophotonics. Adv. Opt. Mater. 2019, 7, 1800784. [Google Scholar] [CrossRef]
- Das, A.; Heo, J.; Jankowski, M.; Guo, W.; Zhang, L.; Deng, H.; Bhattacharya, P. Room temperature ultralow threshold GaN nanowire polariton laser. Phys. Rev. Lett. 2011, 107, 066405. [Google Scholar] [CrossRef]
- Elshorbagy, M.H.; Cuadrado, A.; Alda, J. Plasmonic Sensor Based on Dielectric Nanoprisms. Nanoscale Res. Lett. 2017, 12, 580. [Google Scholar] [CrossRef] [PubMed]
- Herminjard, S.; Sirigu, L.; Herzig, H.P.; Studemann, E.; Crottini, A.; Pellaux, J.P.; Gresch, T.; Fischer, M.; Faist, J. Surface Plasmon Resonance sensor showing enhanced sensitivity for CO2 detection in the mid-infrared range. Opt. Express 2009, 17, 293–303. [Google Scholar] [CrossRef] [PubMed]
- Li, L.; Liang, Y.; Guang, J.; Cui, W.; Zhang, X.; Masson, J.F.; Peng, W. Dual Kretschmann and Otto configuration fiber surface plasmon resonance biosensor. Opt. Express 2017, 25, 26950–26957. [Google Scholar] [CrossRef] [PubMed]
- Guo, B.; Cheng, W.; Xu, Y.; Zhou, X.; Li, X.; Ding, X.; Ding, S. A simple surface plasmon resonance biosensor for detection of PML/RAR-α based on heterogeneous fusion gene-triggered nonlinear hybridization chain reaction. Sci. Rep. 2017, 7, 14037. [Google Scholar] [CrossRef]
- Fontana, E.; Kim, J.M.; Llamas-Garro, I.; Cavalcanti, G.O. Microfabricated Otto chip device for surface plasmon resonance-based optical sensing. Appl. Opt. 2015, 54, 9200–9204. [Google Scholar] [CrossRef]
- Kretschmann, E.; Raether, H. Notizen: Radiative Decay of Non Radiative Surface Plasmons Excited by Light. Z. Naturforschung A 2019, 23, 2135. [Google Scholar] [CrossRef]
- Otto, A. Theory of Plasmon Excitation in Thin Films by Electrons of Non-Normal Incidence. Phys. Status Solidi B 1967, 22, 401–406. [Google Scholar] [CrossRef]
- Jorgenson, R.; Yee, S. A fiber-optic chemical sensor based on surface plasmon resonance. Sens. Actuators B Chem. 1993, 12, 213–220. [Google Scholar] [CrossRef]
- Bingham, J.M.; Anker, J.N.; Kreno, L.E.; Van Duyne, R.P. Gas Sensing with High-Resolution Localized Surface Plasmon Resonance Spectroscopy. J. Am. Chem. Soc. 2010, 132, 17358–17359. [Google Scholar] [CrossRef]
- Kabashin, A.V.; Evans, P.; Pastkovsky, S.; Hendren, W.; Wurtz, G.A.; Atkinson, R.; Pollard, R.; Podolskiy, V.A.; Zayats, A.V. Plasmonic nanorod metamaterials for biosensing. Nat. Mater. 2009, 8, 867. [Google Scholar] [CrossRef]
- Cuadrado, A.; Alda, J.; Gonzalez, F.J. Distributed bolometric effect in optical antennas and resonant structures. J. Nanophotonics 2012, 6, 063512. [Google Scholar] [CrossRef]
- Cuadrado, A.; Alda, J.; González, F.J. Multiphysics simulation for the optimization of optical nanoantennas working as distributed bolometers in the infrared. J. Nanophotonics 2013, 7, 073093. [Google Scholar] [CrossRef]
- Tsukagoshi, T.; Kuroda, Y.; Noda, K.; Binh-Khiem, N.; Kan, T.; Shimoyama, I. Compact Surface Plasmon Resonance System with Au/Si Schottky Barrier. Sensors 2018, 18, 339. [Google Scholar] [CrossRef] [PubMed]
- Codreanu, I.; Gonzalez, F.J.; Boreman, G.D. Detection mecahnisms in microstrip dipole antenna-coupled infrared detectors. Infrared Phys. Technol. 2003, 44, 155–163. [Google Scholar] [CrossRef]
- Alda, J.; Boreman, G.D. Infrared Antennas and Resonant Structures; SPIE: Bellingham, WA, USA, 2017. [Google Scholar]
- Abutoama, M.; Abdulhalim, I. Self-referenced biosensor based on thin dielectric grating combined with thin metal film. Opt. Express 2015, 23, 28667–28682. [Google Scholar] [CrossRef]
- Bharadwaj, P.; Bouhelier, A.; Novotny, L. Electrical excitation of surface plasmons. Phys. Rev. Lett. 2011, 106, 226802. [Google Scholar] [CrossRef]
- Krenz, P.; Alda, J.; Boreman, G. Orthogonal infrared dipole antenna. Infrared Phys. Technol. 2008, 51, 340–343. [Google Scholar] [CrossRef]
- Lide, D.R. Handbook of Chemistry and Physics, 75th ed.; CRC Press: Boca Raton, FL, USA, 1997. [Google Scholar]
- Zheng, G.; Cong, J.; Xu, L.; Wang, J. High-resolution surface plasmon resonance sensor with Fano resonance in waveguide-coupled multilayer structures. Appl. Phys. Express 2017, 10, 042202. [Google Scholar] [CrossRef]
- Nesterenko, D.V.; Sekkat, Z. Resolution Estimation of the Au, Ag, Cu, and Al Single- and Double-Layer Surface Plasmon Sensors in the Ultraviolet, Visible, and Infrared Regions. Plasmonics 2013, 8, 1585–1595. [Google Scholar] [CrossRef]
- Wiki, M.; Kunz, R. Wavelength-interrogated optical sensor for biochemical applications. Opt. Lett. 2000, 25, 463–465. [Google Scholar] [CrossRef]
- Cottier, K.; Wiki, M.; Voirin, G.; Gao, H.; Kunz, R. Label-free highly sensitive detection of (small) molecules by wavelength interrogation of integrated optical chips. Sens. Actuators B Chem. 2003, 91, 241–251. [Google Scholar] [CrossRef]
- Guo, J.; Keathley, P.D.; Hastings, J. Dual-mode surface-plasmon-resonance sensors using angular interrogation. Opt. Lett. 2008, 33, 512–514. [Google Scholar] [CrossRef] [PubMed]
- Yih, J.N.; Chien, F.C.; Lin, C.Y.; Yau, H.F.; Chen, S.J. Angular-interrogation attenuated total reflection metrology system for plasmonic sensors. Appl. Opt. 2005, 44, 6155–6162. [Google Scholar] [CrossRef] [PubMed]
- Huang, D.W.; Ma, Y.F.; Sung, M.J.; Huang, C.P. Approach the angular sensitivity limit in surface plasmon resonance sensors with low index prism and large resonant angle. Opt. Eng. 2010, 49, 1–6. [Google Scholar] [CrossRef]
- Wen, L.; Liang, L.; Yang, X.; Liu, Z.; Li, B.; Chen, Q. Multiband and Ultrahigh Figure-of-Merit Nanoplasmonic Sensing with Direct Electrical Readout in Au-Silicon Nanojunction. ACS Nano 2019, 13, 6963–6972. [Google Scholar] [CrossRef]
- Craig, J.P.; Simmons, P.A.; Patel, S.; Tomlison, A. Refractive Index and Osmolality of Human Tears. Optom. Vis. Sci. 1995, 72, 718–724. [Google Scholar] [CrossRef]
- Dos Santos, V.A.; Schmetterer, L.; Gröschl, M.; Garhofer, G.; Schmidl, D.; Kucera, M.; Unterhuber, A.; Hermand, J.P.; Werkmeister, R.M. In vivo tear film thickness measurement and tear film dynamics visualization using spectral domain optical coherence tomography. Opt. Express 2015, 23, 21043–21063. [Google Scholar] [CrossRef]
- Austin, R.; Halikas, G. The Index of Refraction of Seawater; Technical report; University of California San Diego: La Jolla, CA, USA, 1976. [Google Scholar]
- Quan, X.; Fry, E.S. Empirical equation for the index of refraction of seawater. Appl. Opt. 1995, 34, 3477–3480. [Google Scholar] [CrossRef]




| Material | Dimensions [nm] | n | k [W/mK] |
|---|---|---|---|
| SiO (substrate) | |||
| GaP | 110 | ||
| MgF | 27 | ||
| Au | 310 | ||
| SiO | |||
| Aqueous medium (analyte) |
© 2020 by the authors. Licensee MDPI, Basel, Switzerland. This article is an open access article distributed under the terms and conditions of the Creative Commons Attribution (CC BY) license (http://creativecommons.org/licenses/by/4.0/).
Share and Cite
Elshorbagy, M.H.; Cuadrado, A.; Gómez-Pedrero, J.A.; Alda, J. Opto-Electronic Refractometric Sensor Based on Surface Plasmon Resonances and the Bolometric Effect. Appl. Sci. 2020, 10, 1211. https://doi.org/10.3390/app10041211
Elshorbagy MH, Cuadrado A, Gómez-Pedrero JA, Alda J. Opto-Electronic Refractometric Sensor Based on Surface Plasmon Resonances and the Bolometric Effect. Applied Sciences. 2020; 10(4):1211. https://doi.org/10.3390/app10041211
Chicago/Turabian StyleElshorbagy, Mahmoud H., Alexander Cuadrado, José Antonio Gómez-Pedrero, and Javier Alda. 2020. "Opto-Electronic Refractometric Sensor Based on Surface Plasmon Resonances and the Bolometric Effect" Applied Sciences 10, no. 4: 1211. https://doi.org/10.3390/app10041211
APA StyleElshorbagy, M. H., Cuadrado, A., Gómez-Pedrero, J. A., & Alda, J. (2020). Opto-Electronic Refractometric Sensor Based on Surface Plasmon Resonances and the Bolometric Effect. Applied Sciences, 10(4), 1211. https://doi.org/10.3390/app10041211

