Detecting Green Mold Pathogens on Lemons Using Hyperspectral Images
Abstract
1. Introduction
2. Materials and Methods
2.1. Pathogen Infected Lemon Samples Preparation and Changes in Skin Color
2.2. Experimental Set-Up for Taking Spectral Images and Their Intensity Distributions
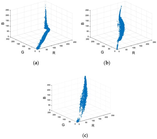
3. Results and Discussion
4. Conclusions
Author Contributions
Funding
Conflicts of Interest
References
- Lakshmi, S.; Pandey, A.K.; Ravi, N.; Chauhan, O.P.; Gopalan, N.; Sharma, R.K. Non-destructive Quality Monitoring of Fresh Fruits and Vegetables. Def. Life Sci. J. 2017, 2, 103–110. [Google Scholar] [CrossRef]
- Green Mold on Wood, Bread, Wall. This is How to Get Rid of This. Available online: https://healthida.com/green-mold (accessed on 14 August 2019).
- Bongomin, F.; Gago, S.; Oladele, R.; Denning, D. Global and Multi-National Prevalence of Fungal Diseases-Estimate Precision. J. Fungi. 2017, 3, 57. [Google Scholar] [CrossRef]
- Chrdle, A.; Mallátová, N.; Vašáková, M.; Haber, J.; Denning, D.W. Burden of serious fungal infections in the Czech Republic. Mycoses 2015, 58, 6–14. [Google Scholar] [CrossRef] [PubMed]
- Huh, K.; Ha, Y.E.; Denning, D.W.; Peck, K.R. Serious fungal infections in Korea. Eur. J. Clin. Microbiol. Infect. Dis. 2017, 36, 957–963. [Google Scholar] [CrossRef]
- Ghosh, P.N.; Fisher, M.C.; Bates, K.A. Diagnosing emerging fungal threats: A one health perspective. Front. Genet. 2018, 9, 376. [Google Scholar] [CrossRef]
- Garcia, M.D.; Chua, S.; Low, Y.; Lee, Y.; Francis, K.A.; Wang, J.; Nouwens, A.; Lonhienne, T.; Williams, C.M.; Fraser, J.A.; et al. Commercial AHAS-inhibiting herbicides are promising drug leads for the treatment of human fungal pathogenic infections. PNAS 2018, 115, E9649–E9658. [Google Scholar] [CrossRef]
- Lluís, P. Penicillium digitatum, Penicillium italicum(Green Mold, Blue Mold). In Postharvest Decay. Control Strategies; Academic Press: Cambridge, MA, USA, 2014; chapter 2; pp. 45–102. [Google Scholar] [CrossRef]
- Yahia, E.M. Postharvest Biology and Technology of Tropical and Subtropical Fruits; Woodhead Publishing: Cambridge, UK, 2011; pp. 437–516. [Google Scholar]
- Su, W.; Sun, D. Multispectral Imaging for Plant Food Quality Analysis and Visualization. Compr. Rev. Food Sci. Food Saf. 2018, 17, 220–239. [Google Scholar] [CrossRef]
- Adão, T.; Hruška, J.; Pádua, L.; Bessa, J.; Peres, E.; Morais, R.; Sousa, J.J. Hyperspectral Imaging: A Review on UAV-Based Sensors, Data Processing and Applications for Agriculture and Forestry. Remote Sens. 2017, 9, 1110. [Google Scholar] [CrossRef]
- Report: Hyperspectral Imaging Market to Reach $11.34 Billion in Five Years. Zion Market Research. 2017. Available online: https://www.zionmarketresearch.com/marketanalysis/hyper-spectral-imaging-system-market (accessed on 14 August 2019).
- Gaurav, S.G. Hyperspectral Imaging: Technologies and Global Markets. BCC Research. 2016. Available online: https://www.bccresearch.com/marketresearch/instrumentationand-sensors/hyperspectral-imaging-tech-markets-report-IAS106A.html (accessed on 14 August 2019).
- Ahmed, M.R.; Yasmin, J.; Mo, C.; Lee, H.; Kim, M.S.; Hong, S.J.; Cho, B.K. Outdoor Applications of Hyperspectral Imaging Technology for Monitoring Agricultural Crops: A Review. J. Biosyst. Eng. 2016, 41, 396–407. [Google Scholar] [CrossRef]
- VetriDeepika, K.; Johnson, A.; LafrulHudha, M.; Ramya, M. Enhancement of Precision Agriculture Using Hyperspectral Imaging. IJTRD 2016, Special issue ETEIAC-16. 19–21. [Google Scholar]
- Dale, L.M.; Thewis, A.; Boudry, C.; Rotar, I.; Dardenne, P.; Baeten, V.; Pierna, J.A.F. Hyperspectral Imaging Applications in Agriculture and Agro-Food Product Quality and Safety Control: A Review. J. Appl. Spectrosc. Rev. 2013, 48, 142–159. [Google Scholar] [CrossRef]
- Mohammadi, P.; Tozlu, E.; Kotan, R.; Kotan Şenol, M. Potential of some bacteria for biological control of postharvest citrus green mold caused by Penicillium digitatum. Plant Protect. Sci. 2017, 53, 134–144. [Google Scholar] [CrossRef]
- El-Gali, Z.I. Control of Penicillium Digitatum on Orange Fruits with Calcium Chloride Dipping. J. Microbiol. Res. Rev. 2014, 2, 54–61. [Google Scholar]
- Wang, W.; Liu, S.; Deng, L.; Ming, J.; Yao, S.; Zeng, K. Control of citrus post-harvest green molds, blue molds, and sour rot by the cecropin a-Melittin hybrid peptide BP21. Front. Microbiol. 2018, 9, 2455. [Google Scholar] [CrossRef]
- Wang, W.; Deng, L.; Yao, S.; Zeng, K. Control of green and blue mold and sour rot in citrus fruits by the cationic antimicrobial peptide PAF56. Postharvest Biol. Technol. 2018, 136, 132–138. [Google Scholar] [CrossRef]
- Papoutsis, K.; Mathioudakis, M.M.; Hasperué, J.H.; Ziogas, V. Non-chemical treatments for preventing the postharvest fungal rotting of citrus caused by Penicillium digitatum (green mold) and Penicillium italicum (blue mold). Trends Food Sci. Technol. 2019, 86, 479–491. [Google Scholar] [CrossRef]
- Zhang, X.; Liu, F.; He, Y.; Li, X. Application of hyperspectral imaging and chemo metric calibrations for variety discrimination of maize seeds. Sensors 2012, 12, 17234–17246. [Google Scholar] [CrossRef]
- Pu, Y.Y.; Feng, Y.Z.; Sun, D.-W. Recent progress of hyperspectral imaging on quality and safety inspection of fruits and vegetables: A review. Compr. Rev. Food Sci. Food Saf. 2015, 14, 176–188. [Google Scholar] [CrossRef]
- El Masry, G.M.; Nakauchi, S. Image analysis operations applied to hyperspectral images for non-invasive sensing of food quality. A comprehensive review. J. Biosyst. Eng. 2016, 142, 53–82. [Google Scholar] [CrossRef]
- Feng, C.; Makino, Y.; Oshita, S.; Francisco, J.; Martín, G. Hyperspectral imaging and multispectral imaging as the novel techniques for detecting defects in raw and processed meat products: Current state-of-the-art research advances. Food Control 2018, 84, 165–176. [Google Scholar] [CrossRef]
- BBC Good Food. Available online: https://www.bbcgoodfood.com/glossary/lemon (accessed on 14 August 2019).
- Digital Camera Nikon D810, User’s Manual. Nikon Corporation USA. Available online: https://www.nikon-usa.com/en/nikon-products/product/dslr-cameras/d810.html (accessed on 14 August 2019).
- Asahi Spectra Inc. Available online: https://www.asahi-spectra.com (accessed on 14 August 2019).
- MacDonald, L.; Giacometti, A.; Campagnolo, A.; Robson, S.; Weyrich, T.; Terras, M.; Gibson, A. Multispectral Imaging of Degraded Parchment. In International Workshop on Computational Color Imaging; Springer: Berlin/Heidelberg, Germany, 2013; pp. 143–157. [Google Scholar]
- Son, J.Y.; Vashpanov, Y.; Jung, D.H.; Lee, D.S.; Kwack, K.D.; Kim, S.H. Polarized light for measuring a human skin feature indicating aging. Jpn. J. Appl. Phys. 2009, 48, 09LD06. [Google Scholar] [CrossRef]
- Picowatt Digital Optical Power Meter Model 1830-C Newport. Available online: https://www.newport.com (accessed on 14 August 2019).
- Valberg, A. Light Vision Color; John Wiley & Sons Ltd.: Chichester, West Sussex, UK, 2005. [Google Scholar]















© 2020 by the authors. Licensee MDPI, Basel, Switzerland. This article is an open access article distributed under the terms and conditions of the Creative Commons Attribution (CC BY) license (http://creativecommons.org/licenses/by/4.0/).
Share and Cite
Vashpanov, Y.; Heo, G.; Kim, Y.; Venkel, T.; Son, J.-Y. Detecting Green Mold Pathogens on Lemons Using Hyperspectral Images. Appl. Sci. 2020, 10, 1209. https://doi.org/10.3390/app10041209
Vashpanov Y, Heo G, Kim Y, Venkel T, Son J-Y. Detecting Green Mold Pathogens on Lemons Using Hyperspectral Images. Applied Sciences. 2020; 10(4):1209. https://doi.org/10.3390/app10041209
Chicago/Turabian StyleVashpanov, Yuriy, Gwanghee Heo, Yongsuk Kim, Tetiana Venkel, and Jung-Young Son. 2020. "Detecting Green Mold Pathogens on Lemons Using Hyperspectral Images" Applied Sciences 10, no. 4: 1209. https://doi.org/10.3390/app10041209
APA StyleVashpanov, Y., Heo, G., Kim, Y., Venkel, T., & Son, J.-Y. (2020). Detecting Green Mold Pathogens on Lemons Using Hyperspectral Images. Applied Sciences, 10(4), 1209. https://doi.org/10.3390/app10041209

