Prediction of Concrete Failure Time Based on Statistical Properties of Compressive Strength
Abstract
1. Introduction
2. Distribution Fitting of the Compressive Strength of Concrete
3. Prediction for the Mean Value of Compressive Strength
4. Effect of on the Distribution of Compressive Strength
5. Scale Parameter and Shape Parameter of Gamma Distribution
6. Time-Varying Reliability Evaluation Based on the Tm Method
7. Concrete Guaranteed Rate and Concrete Failure Time
8. Prediction Model of Equivalent Design Compressive Strength
9. Example
9.1. Calculation Ι
9.2. Calculation II
9.3. Calculation III
10. Conclusions
- (1)
- The environmental factors (temperature and humidity) are considered in the prediction model of MVCS.
- (2)
- Compared with other distributions, such as a normal distribution and lognormal distribution, the gamma distribution is applied to describe the distribution of compressive strength with the highest R-square.
- (3)
- The time-varying TM reliability, with higher accuracy in contrast to SM method, is proposed to predict the concrete failure time.
- (4)
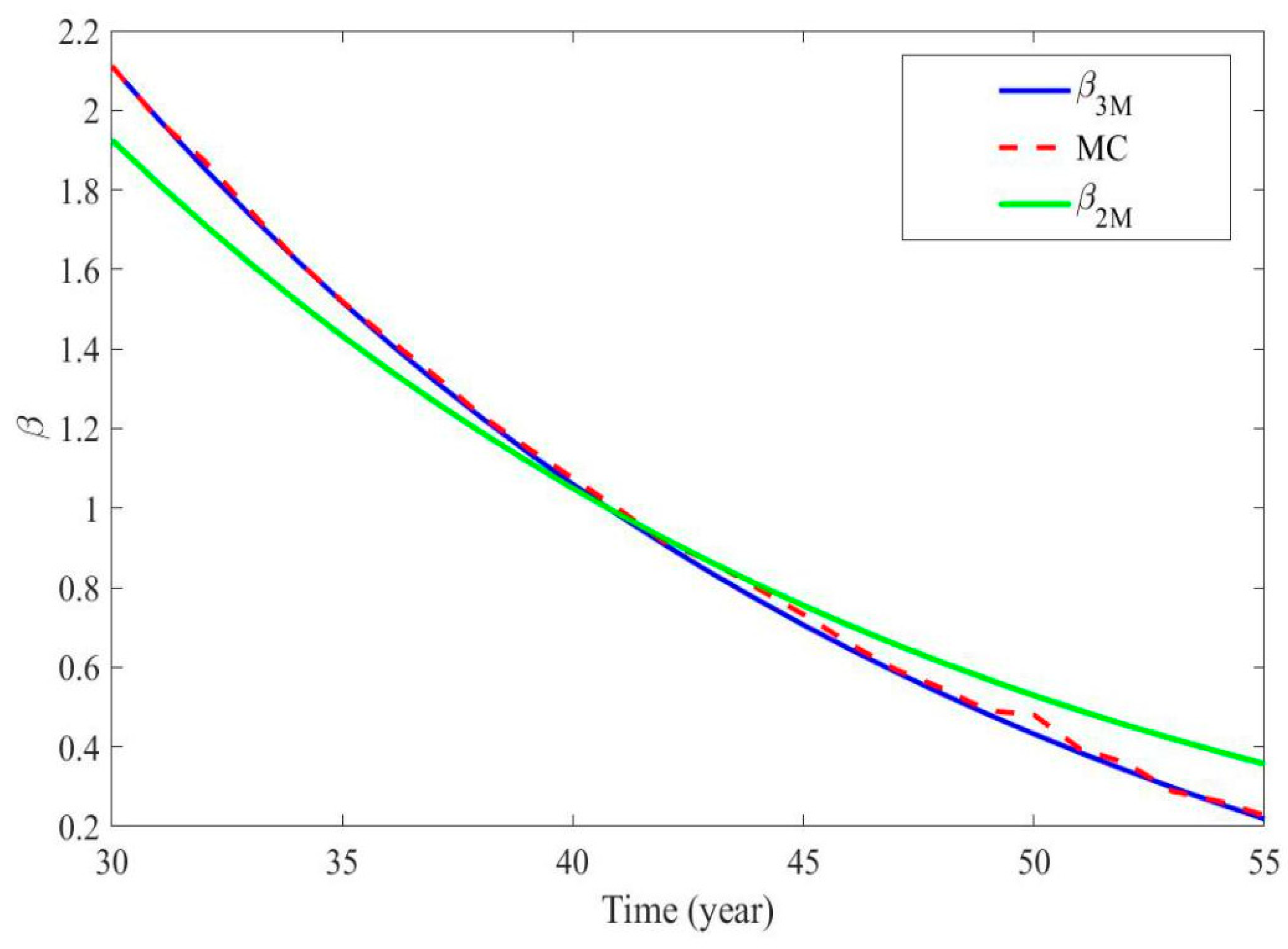
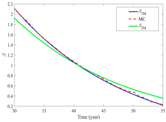
- Compared with the results of MC simulation, the prediction model of time-varying reliability based on the TM method is accurate, and the errors are within 3%.
- (5)
- Tested by the model for calculating an equivalent design compressive strength, the errors of the concrete failure time calculated by time-varying reliability are acceptable.
Author Contributions
Funding
Conflicts of Interest
References
- Wahid, F.; Yu, B.; Tuan, D.N.; Allan, M.; Priyan, N. New advancements, challenges and opportunities of multi-storey modular buildings—A state-of-the-art review. Eng. Struct. 2019, 183, 883–893. [Google Scholar]
- Lantsoght, E.O.; van der Veen, C.; de Boer, A.; Hordijk, D.A. State-of-the-art on load testing of concrete bridges. Eng. Struct. 2017, 150, 231–241. [Google Scholar] [CrossRef]
- Bernardino, C.; Alessandro, P.F.; Paolo, V. Combining fiber-reinforced concrete with traditional reinforcement in tunnel linings. Eng. Struct. 2009, 31, 1600–1606. [Google Scholar]
- Wahid, F.; Yu, B.; Ahmed, D.A.; Sindu, S.; Juri, J. Modular assembly of water-retaining walls using GFRP hollow profiles: Components and connection performance. Compos. Struct. 2018, 194, 1–11. [Google Scholar]
- Wahid, F.; Ahmed, D.A.; Yuan, H.; Yu, B. Short-term flexural behaviour of concrete filled pultruded GFRP cellular and tubular sections with pin-eye connections for modular retaining wall construction. Compos. Struct. 2018, 206, 1–10. [Google Scholar]
- Zhang, H.R.; Ji, T.; Liu, H. Performance evolution of the interfacial transition zone (ITZ) in recycled aggregate concrete under external sulfate attacks and dry-wet cycling. Constr. Build. Mater. 2019, 229, 116938. [Google Scholar] [CrossRef]
- Al-Khafaji, A.F.; Myers, J.J.; Wang, W. Bond evaluation of SRP strengthening system exposed to several harsh environmental conditions. Constr. Build. Mater. 2020, 231, 117093. [Google Scholar] [CrossRef]
- Lee, H.; Cody, R.D.; Cody, A.M.; Spry, P.G. The formation and role of ettringite in Iowa highway concrete deterioration. Cem. Concr. Res. 2005, 35, 332–343. [Google Scholar] [CrossRef]
- José, A.B.; Sofia, R. A review on the carbonation and Chloride Penetration resistance of Structural Lightweight Aggregate Concrete. Materials 2019, 12, 3456. [Google Scholar]
- Chen, Y.; Liu, P.; Yu, Z.W. Effects of environmental factors on concrete carbonation depth and compressive strength. Materials 2018, 11, 2167. [Google Scholar] [CrossRef]
- Parrott, L.J. Some effects of cement and curing upon carbonation and reinforcement corrosion in concrete. Mater. Struct. 1996, 29, 164–173. [Google Scholar] [CrossRef]
- Jones, M.R.; Dhir, R.K.; Newlands, M.D.; Abbas, A.M.O. A study of the CEN test method for measurement of the carbonation depth of hardened concrete. Mater. Struct. 2000, 33, 135–142. [Google Scholar] [CrossRef]
- Alexander, M.G.; Mackechnie, J.R.; Yam, W. Carbonation of concrete bridge structures in three South African localities. Cem. Concr. Compos. 2007, 29, 750–759. [Google Scholar] [CrossRef]
- Kim, J.K.; Kim, C.Y.; Yi, S.T.; Lee, Y. Effect of carbonation on the rebound number and compressive strength of concrete. Cem. Concr. Compos. 2009, 31, 139–144. [Google Scholar] [CrossRef]
- Richardson, M.G. Carbonation of Reinforced Concrete: Its Causes and Management; University College Dublin: Dublin, Ireland, 1988. [Google Scholar]
- Junior, A.N.; Filho, R.D.T.; Fairbairn, E.D.M.R.; Dweck, J. A study of the carbonation profile of cement pastes by thermogravimetry and its effect on the compressive strength. Therm. Anal. Calorim. 2014, 116, 69–76. [Google Scholar] [CrossRef]
- Chen, M.; Li, X.J.; Liu, L.Q. Random calculation model of carbonation depth for long-age high performance concrete. Sichuang Build. Sci. 2018, 44, 80–84. [Google Scholar]
- Zhao, H.; Sun, W.; Wu, W.; Gao, B. The effect of the material factors on the concrete resistance against carbonation. Civ. Eng. 2018, 22, 1265–1274. [Google Scholar] [CrossRef]
- Li, G.; Yuan, Y.S.; Liu, X.; Du, J.M.; Li, F.M. Influences of environment climate conditions on concrete carbonation rate. Adv. Eng. Mater. 2011, 194–196, 904–908. [Google Scholar] [CrossRef]
- Lee, J.J.; Kim, D.; Chang, S.K.; Nocete, C.F.M. An improved application technique of the adaptive probabilistic neural network for predicting concrete strength. Comput. Mater. Sci. 2009, 44, 988–998. [Google Scholar] [CrossRef]
- Kim, D.K.; Lee, J.J.; Lee, J.H.; Chang, S.K. Application of probabilistic neural networks for prediction of concrete strength. Mater. Civ. Eng. 2005, 17, 353–362. [Google Scholar] [CrossRef]
- Bao, H.; Yu, M.; Liu, Y.; Ye, J. Experimental and statistical study on the irregularity of carbonation depth of cement mortar under supercritical condition. Constr. Build. Mater. 2018, 174, 47–59. [Google Scholar] [CrossRef]
- Zhang, X.G.; Wang, J.; Zhao, Y.G.; Tang, L.P.; Xing, F. Time-dependent probability assessment for chloride induced corrosion of RC structures using the third-moment method. Constr. Build. Mater. 2015, 76, 232–244. [Google Scholar] [CrossRef]
- Wang, J.; Lu, Z.H.; Saito, T.; Zhang, X.G.; Zhao, Y.G. A simple third-moment reliability index. Asia Arch. Build. Eng. 2017, 16, 171–178. [Google Scholar] [CrossRef]
- Zhao, Y.G.; Lu, Z.H.; Ono, T. First third moments of some commonly used performance functions. J. Struct. Constr. Eng. 2017, 617, 31–37. [Google Scholar]
- Stewart, M.G.; Wang, X.; Nguyen, M.N. Climate change impact and risks of concrete infrastructure deterioration. Eng. Struct. 2011, 33, 1326–1337. [Google Scholar] [CrossRef]
- Szilágyi, K.; Borosnyói, A.; Zsigovics, I. Rebound surface hardness of concrete: Introduction of an empirical constitutive model. Constr. Build. Mater. 2011, 25, 2480–2487. [Google Scholar] [CrossRef]
- Saichi, M.; Mihasha, H.; Tanaka, R.; Shinohe, H.; Shibata, A. Concrete strength of existing buildings in tohoku district. Arch. Inst. Jpn. 2001, 546, 9–16. [Google Scholar]
- Oliver, Z.; Michael, S.; Konrad, B. Time dependent development of compressive strength of concrete and the influence on the bearing capacity of post-installed anchorages. Beton-und Stahlbetonbau 2015, 110, 402–409. [Google Scholar]
- Gao, X.L.; Li, J.; Ren, X.D. Probabilistic model for long-term time-dependent compressive strength of concrete in existing buildings. Perform. Constr. Facil. 2018, 32, 04018074. [Google Scholar] [CrossRef]
- Zhao, Y.G.; Ono, T. Moment methods for structural reliability. Struct. Saf. 2001, 23, 47–75. [Google Scholar] [CrossRef]
- Zhao, Y.G.; Ono, T.; Idota, H.; Hirano, T. A three-parameter distribution used for structural reliability evaluation. J. Struct. Constr. Eng. 2001, 66, 31–38. [Google Scholar] [CrossRef]
- Abdel-Hameed, M. A Gamma Wear Process. IEEE Trans. Reliab. 1975, 24, 152–153. [Google Scholar] [CrossRef]
- Jia, X.S. The decision models for reliability centered maintenance. Natl. Def. Ind. Press 2007, 116–118. [Google Scholar]
- Van Noortwijk, J.M.; van der Weide, J.A.M.; Kallen, M.J.; Pandey, M.D. Gamma processes and peaks-over-threshold distributions for time-dependent reliability. Reliab. Eng. Syst. Saf. 2007, 92, 1651–1658. [Google Scholar] [CrossRef]
- Mahmoodian, M.; Alani, A. Modeling deterioration in concrete pipes as a stochastic gamma process for time-dependent reliability analysis. J. Pipeline Syst. Eng. Pract. 2014, 5, 04013008. [Google Scholar] [CrossRef]
- Vu, Q.H.; Pham, G.; Chonier, A.; Brouard, E.; Rathnarajan, S.; Pillai, R.; Gettu, R.; Santhanam, M.; Aguayo, F.; Folliard, K.J.; et al. Impact of different climates on the resistance of concrete to natural carbonation. Constr. Build. Mater. 2019, 216, 450–467. [Google Scholar] [CrossRef]
- Ministry of Housing and Urban-Rural Development of the People’s Republic of China. National Standard of the Peoples Republic of China, Code for Design of Concrete Structures: GB 50010-2010[S]; China Architecture & Building Press: Beijing, China, 2015.
- Ministry of housing and urban-rural development of the people’s Republic of China (MOHURD). Code for Design of Concrete Structures; TJ10-74; MOHURD: Beijing, China, 1974. (In Chinese)
- Zha, X.X.; Ning, J.Q.; Saafi, M.; Dong, L.J.; Dassekpo, J.B.M.; Ye, J.Q. Effect of supercritical carbonation on the strength and heavy metal retention of cement-solidified fly ash. Cem. Concr. Res. 2019, 120, 36–45. [Google Scholar] [CrossRef]
- Mcintyre, M. Interpretation and application of core test data in strength evaluation of-existing concrete bridge structures. Can. Civ. Eng. 1990, 17, 471–480. [Google Scholar] [CrossRef]




















| Relevant Parameter | ||
|---|---|---|
| () | 15.425 | 15.425 | 
| T0() | 15.208 | 15.208 | 
| (%) | 62 | 62 | 
| RH0 (%) | 69 | 69 | 
| () | 37.6 | 45 | 
| 0.16 | 0.15 | |
| () | 51 | 59.8 | 
| (a) Mean Value of Compressive Strength with | |||||||||||
| Time (Year) | 35 | 36 | 37 | 38 | 39 | 40 | 41 | 42 | 43 | 44 | 45 | 
| () | 31.95 | 30.70 | 30.19 | 31.29 | 28.04 | 25.27 | 23.78 | 23.71 | 23.54 | 24.51 | 27.43 | 
| (b) Mean Value of Compressive Strength with | |||||||||||
| Time (Year) | 42 | 43 | 44 | 45 | 46 | 47 | 48 | 49 | 50 | 51 | 52 | 
| () | 22.65 | 23.00 | 24.15 | 23.34 | 23.14 | 22.96 | 22.88 | 21.54 | 22.47 | 22.19 | 19.73 | 
| Time (year) | 53 | 54 | |||||||||
| () | 20.77 | 20.03 | |||||||||
| Serving Year | ||||
|---|---|---|---|---|
| 36 | 7.69 | 0.09% | 1.416 | 0.67% | 
| 37 | 9.17 | 0.46% | 1.320 | 0.09% | 
| 38 | 10.75 | 1.03% | 1.229 | 0.42% | 
| 39 | 12.43 | 0.19% | 1.142 | 0.92% | 
| 40 | 14.19 | 0.53% | 1.060 | 1.43% | 
| d | d | ||
|---|---|---|---|
| 1.35 | 91.15 | 1.65 | 95.05 | 
| 1.40 | 91.92 | 1.70 | 95.54 | 
| 1.45 | 92.65 | 1.75 | 95.99 | 
| 1.50 | 93.32 | 1.80 | 96.64 | 
| 1.55 | 93.94 | 1.85 | 96.78 | 
| 1.60 | 94.52 | 1.90 | 97.13 | 
© 2020 by the authors. Licensee MDPI, Basel, Switzerland. This article is an open access article distributed under the terms and conditions of the Creative Commons Attribution (CC BY) license (http://creativecommons.org/licenses/by/4.0/).
Share and Cite
Wang, J.; Zheng, W.; Zhao, Y.; Zhang, X. Prediction of Concrete Failure Time Based on Statistical Properties of Compressive Strength. Appl. Sci. 2020, 10, 815. https://doi.org/10.3390/app10030815
Wang J, Zheng W, Zhao Y, Zhang X. Prediction of Concrete Failure Time Based on Statistical Properties of Compressive Strength. Applied Sciences. 2020; 10(3):815. https://doi.org/10.3390/app10030815
Chicago/Turabian StyleWang, Jiao, Weiji Zheng, Yangang Zhao, and Xiaogang Zhang. 2020. "Prediction of Concrete Failure Time Based on Statistical Properties of Compressive Strength" Applied Sciences 10, no. 3: 815. https://doi.org/10.3390/app10030815
APA StyleWang, J., Zheng, W., Zhao, Y., & Zhang, X. (2020). Prediction of Concrete Failure Time Based on Statistical Properties of Compressive Strength. Applied Sciences, 10(3), 815. https://doi.org/10.3390/app10030815
 
        

 
       