Sensitivity and Calibration of the FT-IR Spectroscopy on Concentration of Heavy Metal Ions in River and Borehole Water Sources
Abstract
1. Introduction
2. Materials and Methods
Ethical Approval
3. Results
3.1. FT-IR Spectra of Water Containing Metal Ions
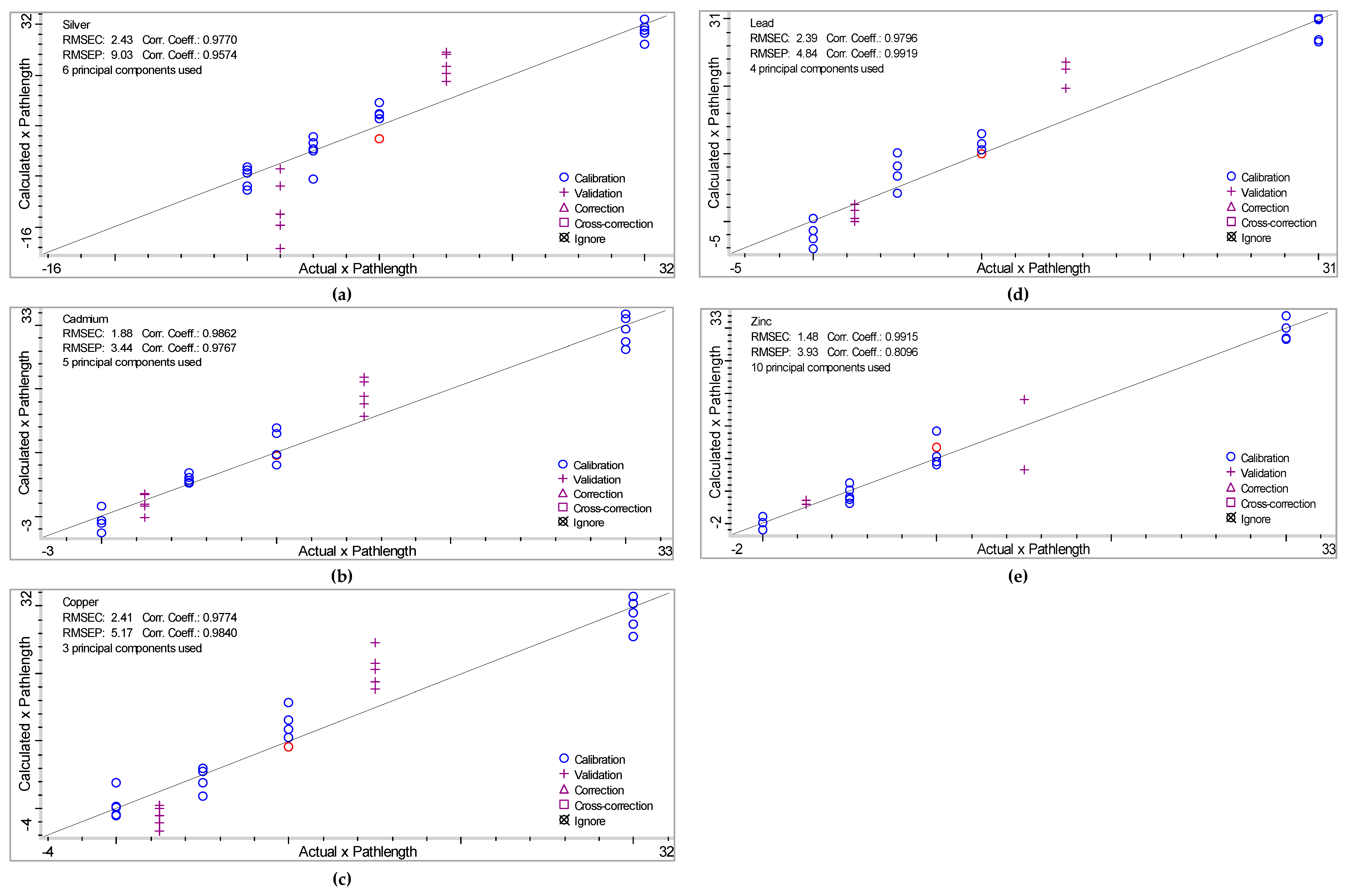
3.2. Calibration Models
3.3. Heavy Metal Detection Using the PLS and PCA Methods
3.4. Heavy Metals Chemical Analysis (AAS)
4. Discussion
Implications
5. Conclusions
Author Contributions
Funding
Acknowledgments
Conflicts of Interest
References
- Mamera, M.; van Tol, J.J. Application of Hydropedological Information to Conceptualize Pollution Migration from Dry Sanitation Systems in the Ntabelanga Catchment Area, South Africa. Air Soil Water Res. 2018, 11, 1–12. [Google Scholar] [CrossRef]
- Njoki, M.A.; Githua, M.; Gathu, N.; Gachanja, A. Fourier transform infrared spectrophotometric analysis of functional groups found in ricinus communis l. and cucurbita maxima lam roots, stems and leaves as heavy metal adsorbents. Int. J. Sci. Environ. Technol. 2016, 5, 861–871. [Google Scholar]
- Karthikeyan, S. Effect of heavy metals mixture nickel and chromium on tissue proteins of an edible fish Cirrhinus Mrigala using FTIR and ICP-AES study. Rom. J. Biophys. 2014, 24, 109–116. [Google Scholar]
- WHO. Guidelines for Drinking-water Quality, 3rd ed.; First Addendum to Third Edition; WHO: Geneva, Switzerland, 2006; Volume 1, ISBN 9241546964. [Google Scholar]
- SANS. South African National Standard: Drinking Water Part 1: Microbial, Physical, Aesthetic and Chemical Determinands; SABS Standards Division: Pretoria, South Africa, 2011. [Google Scholar]
- Rani, M.J.; Hemambika, B.; Hemapriya, J.; Kannan, R.V. Comparative assessment of heavy metal removal by immobilized and dead bacterial cells. J. Environ. Sci. Technol. 2010, 4, 077–083. [Google Scholar]
- Alloway, B.J. Heavy Metals in Soils. In Trace Metals and Metalloids in Soils and Their Bioavailability; Springer: New York, NY, USA, 2010. [Google Scholar]
- Sliwinska, A.; Smolinski, A.; Kucharski, P. Simultaneous Analysis of Heavy Metal Concentration in Soil Samples. Appl. Sci. 2019, 9, 4705. [Google Scholar] [CrossRef]
- Quintelas, C.; Ferreira, E.C.; Lopes, J.A.; Sousa, C. An Overview of the Evolution of Infrared Spectroscopy Applied to Bacterial Typing. Rev. Biotechnol. J. 2018, 13, 1700449. [Google Scholar] [CrossRef] [PubMed]
- Naumann, D. Infrared Spectroscopy in Microbiology. In Encyclopedia of Analytical Chemistry; Meyers, R.A., Ed.; Copyright Ó John Wiley & Sons Ltd.: Hoboken, NJ, USA, 2000. [Google Scholar]
- Mozgawa, W.; Krol, M.; Bajda, T. Application of IR spectra in the studies of heavy metal cations immobilization on natural sorbents. J. Mol. Struct. 2009, 924, 427–433. [Google Scholar] [CrossRef]
- Yoon, T.H.; Johnson, S.B.; Musgrave, C.B., Jr.; Brown, G.E. Adsorption of organic matter at mineral/water interfaces: I. ATR-FTIR spectroscopic and quantum chemical study of oxalate adsorbed at boehmite/water and corundum/water interfaces. Geochim. Cosmochim. Acta 2004, 68, 4505–4518. [Google Scholar] [CrossRef]
- Sahira, J.; Bhadra, P.P. Preparation and Characterization of Activated Carbon from Lapsi (Choerospondias axillaris) Seed Stone by Chemical Activation with Potassium Hydroxide. J. Inst. Eng. 2012, 9, 79–88. [Google Scholar]
- Csernatoni, F.; Socaciu, C.; Pop, M.R.; Bunghez, F. Application of FT-IR Spectroscopy for Fingerprinting Bioactive Molecules in a Nutraceutical PROMEN, comparatively with Plant ingredients. J. Food Sci. Technol. 2013, 70, 68–69. [Google Scholar]
- Yang, J.; Hou, B.; Wang, J.; Tian, B.; Bi, J.; Wang, N.; Huang, X. Nanomaterials for the Removal of Heavy Metals from Wastewater. Nanomaterials (Basel) 2019, 9, 424. [Google Scholar] [CrossRef] [PubMed]
- Lieberman, C.M.; Barry, M.C.; Wei, Z.; Yu, A.; Rogachev, A.; Wang, X.; Liu, J.L.; Clerac, R.; Cheng, Y.; Filatov, A.S.; et al. Position Assignment and Oxidation State Recognition of Fe and Co Centers in Heterometallic Mixed-Valent Molecular Precursors for the Low-Temperature Preparation of Target Spinel Oxide Materials. Inorg. Chem. 2017, 56, 9574–9584. [Google Scholar] [CrossRef] [PubMed]
- Mourdikoudis, S.; Pallares, R.M.; Thanh, N.T.K. Characterization techniques for nanoparticles: Comparison and complementarity upon studying nanoparticle properties. Rev. Nanoscale 2018, 10, 12871–12934. [Google Scholar] [CrossRef]
- Thomas, E.V.; Haaland, D.M. Comparison of multivariate calibration methods for quantitative spectral analysis. Anal. Chem. 1990, 62, 1091–1099. [Google Scholar] [CrossRef]
- Matwijczuk, A.; Oniszczuk, T.; Matwijczuk, A.; Chrusciel, E.; Kocira, A.; Niemczynowicz, A.; Wojtowicz, A.; Combrzynski, M.; Wiacek, D. Use of FTIR Spectroscopy and Chemometrics with Respect to Storage Conditions of Moldavian Dragonhead Oil. Sustainability 2019, 11, 6414. [Google Scholar] [CrossRef]
- Xu, D.; Zhao, R.; Li, S.; Chen, S.; Jiang, Q.; Zhou, L.; Shi, Z. Multi-sensor fusion for the determination of several soil properties in the Yangtze River Delta, China. Eur. J. Soil Sci. 2019, 70, 162–173. [Google Scholar] [CrossRef]
- Gautam, R.; Vanga, S.; Ariese, F.; Umapathy, S. Review of multidimensional data processing approaches for Raman and infrared spectroscopy. EPJ Techn. Instrum. 2015, 2, 8. [Google Scholar] [CrossRef]
- Biancolillo, A.; Marini, F. Chemometric Methods for Spectroscopy-Based Pharmaceutical Analysis. Front Chem. 2018, 6, 576. [Google Scholar] [CrossRef]
- Han, X.; Lu, E.; Lu, H.; Zeng, F.; Qiu, G.; Yu, Q.; Zhang, M. Detection of Spray-Dried Porcine Plasma (SDPP) based on Electronic Nose and Near-Infrared Spectroscopy Data. Appl. Sci. 2020, 10, 2967. [Google Scholar] [CrossRef]
- Wold, S. Cross-validatory estimation of the number of components in factor and principal components models. Technometrics 1978, 20, 397–406. [Google Scholar] [CrossRef]
- Moosavi, S.M.; Ghassabian, S. Linearity of Calibration Curves for Analytical Methods: A Review of Criteria for Assessment of Method Reliability. IntechOpen. 2018. [Google Scholar] [CrossRef]
- Tajuddin, N.A.; Rosli, N.H.; Abdullah, N.; Yusoff, M.F.; Salimon, J. Estolide ester from ricinus communis L. seed oil for bio lubricant purpose. Malays. J. Anal. Sci. 2014, 18, 85–93. [Google Scholar]
- Harris, D.C.; Bertolucci, M.D. Symmetry and Spectroscopy. In An introduction to Vibrational and Electronic Spectroscopy; Dover Publications, Inc.: New York, NY, USA, 1989. [Google Scholar]
- Bishop, D.M. Group Theory and Chemistry; Dover Publications, Inc.: New York, NY, USA, 1973; p. 166. [Google Scholar]
- Poole, C.P.; Farach, H.A.; Creswick, R.J.; Prozorov. Spectroscopic properties. In Superconductivity, 2nd ed.; Academic Press: Los Angeles, CA, USA, 2007; pp. 531–582. ISBN 978-0-12-088761-3. [Google Scholar]
- Merlin, J.C.; Cornard, J.P. A Pictorial Representation of Normal Modes of Vibration Using Vibrational Symmetry Coordinates. J. Chem. Educ. 2006, 83, 1383. [Google Scholar] [CrossRef]
- Atkins, P.; dePaula, J. Physical Chemistry; W.H. Freeman and Company: New York, NY, USA, 2002; pp. 520–523. [Google Scholar]
- Martens, H.; Jensen, S.A.; Geladi, P. Multivariate Linearity Transformations for Near Infrared Reflectance Spectroscopy; Christie, O.H.J., Ed.; Applied Statistics; Stokkland Forlag: Stavanger, Norway, 1983. [Google Scholar]
- Yongliang, L.; Hee-Jin, K. Fourier Transform Infrared Spectroscopy (FT-IR) and Simple Algorithm Analysis for Rapid and Non-Destructive Assessment of Developmental Cotton Fibers. Sensors 2017, 17, 1469. [Google Scholar] [CrossRef]
- Wang, K.; Yuan, Y.; Han, S.; Yang, H. Application of attenuated total reflectance Fourier transform infrared (ATR-FTIR) and principal component analysis (PCA) for quick identifying of the bitumen produced by different manufacturers. J. Road Mater. Pavement Des. 2018, 19, 8. [Google Scholar] [CrossRef]
- Kenawy, I.M.M.; Hafez, M.A.; Lashein, R.R. Determination by AAS of some trace heavy metal ions in some natural and biological samples after their pre-concentration using newly chemical modified chloromethylated polystyrene- PAN ion exchanger. Anal. Sci. 2000, 16, 493. [Google Scholar] [CrossRef]
- Gonzalez-Albarran, R.; de Gyves, J.; de San Miguel, E.R. Determination of Cadmium (II) in Aqueous Solutions by In Situ MID-FTIR-PLS Analysis Using a Polymer Inclusion Membrane-Based Sensor: First Considerations. Molecules 2020, 25, 3436. [Google Scholar] [CrossRef]
- Nakamoto, K. Infrared Spectra of Inorganic and Coordination Compounds; John Wiley and Sons: London, UK, 1970; p. 256. [Google Scholar]
- Price, W.J. Spectrochemical Analysis by Atomic Absorption; Heyden and son Ltd.: London, UK, 1979; pp. 143, 191, 295–356. [Google Scholar]
- Khoo, S.B.; Soh, M.K.; Cai, Q.T.; Khanand, M.R.; Guo, X. Differential pulse cathodic stripping voltammetric determination of manganese(II) and manganese(VII) at the 1-(2-pyridylazo)-2-naphthol-modified carbon paste electrode. Electroanalysis. 1997, 9, 45. [Google Scholar] [CrossRef]
- Gupta, S.S.; Bhattacharyya, K.G. Immobilization of Pb (II), Cd (II) and Ni (II) ions on kaolinite and montmorillonite surfaces from aqueous medium. J. Environ. Manage. 2008, 87, 46–58. [Google Scholar] [CrossRef]
- Gobran, A.; Siddig, K.T.; Hago, A. Determination of Heavy metals in Soil samples from Tuti Island, Khartoum, Sudan. Red Sea Univ. J. Basic Appl. Sci. 2017, 2, 1858–7658. [Google Scholar]
- Simonescu, C.M. Application of FTIR Spectroscopy in Environmental Studies. InTech 2012, 1, 50–61. [Google Scholar] [CrossRef]
- Shepherd, K.D.; Walsh, M.G. Infrared spectroscopy—Enabling an evidence-based diagnostic surveillance approach to agricultural and environmental management in developing countries. J. Near Infrared Spectrosc. 2007, 15, 1–19. [Google Scholar] [CrossRef]
- Mamera, M.; van Tol, J.J.; Aghoghovwia, M.P.; Mapetere, G.T. Community Faecal Management Strategies and Perceptions on Sludge Use in Agriculture. Int. J. Environ. Res. Public Health. 2020, 17, 4128. [Google Scholar] [CrossRef] [PubMed]
- DWAF. Guidelines for the Utilization and Disposal of Wastewater Sludge; DWAF: Cape Town, South Africa, 2008; Volume 4, Available online: http://www.dwaf.gov.za/Dir_WQM/docs/wastewatersludgeMar08vol4part1.pdf (accessed on 5 August 2020).
- WRC; WIN-SA. Sanitation Matters. Faecal Sludge Management in Africa Developments, Research and Innovations; WRC: Pretoria, South Africa; WIN-SA: Namur, Belgium, 2013; Volume 4, pp. 6–28. [Google Scholar]
- Ng, W.; Malone, B.; Minasny, B. Rapid assessment of petroleum-contaminated soils with infrared spectroscopy. Geoderma 2017, 289, 150–160. [Google Scholar] [CrossRef]
- Chodak, M.; Niklinska, M.; Beese, F. Near-infrared spectroscopy for analysis of chemical and microbiological properties of forest soil organic horizons in a heavy-metal-polluted area. Biol. Fertil. Soils 2007, 44, 171–180. [Google Scholar] [CrossRef]
- Nocita, M.; Stevens, A.; Wesemael, B.; Aitkenhead, M.; Bachmann, M. Soil Spectroscopy: An Alternative to Wet Chemistry for Soil Monitoring. Adv. Agron. 2015, 132, 139–159. [Google Scholar]
- Gholizadeh, A.; Boruvka, L.; Saberioon, M. A spectroscopic approach to assess potentially toxic elements of reclaimed dumpsites in the Czech Republic. Int. J. Environ. Sci. Dev. 2015, 6, 571–575. [Google Scholar] [CrossRef][Green Version]
- Chen, T.; Chang, Q.; Clevers, J.G.P.W.; Kooistra, L. Rapid identification of soil cadmium pollution risk at regional scale based on visible and near-infrared spectroscopy. Environ. Pollut. 2015, 206, 217–226. [Google Scholar] [CrossRef]



| Peak Position without Heavy Metals (cm−1) | Peak Position with Heavy Metals (cm−1) | ||||||
|---|---|---|---|---|---|---|---|
| Assignment | Blank | Ag | Cd | Cu | Pb | Zn | |
| 1 | O-H Stretching; Symmetric stretches | 3351–3252 | 3357–3246 | 3353–3255 | 3349–3248 | 3330–3264 | 3341–3264 |
| 2 | O-H Stretching | 2921 | 2917 | 2917 | 2914 | 2915 | 2916 |
| 3 | Symmetrical bending; O-H Stretching | 2353 | 2359 | 2361 | 2365 | 2363 | 2361 |
| 4 | Symmetrical bending | 1637 | 1637 | 1635 | 1637 | 1635 | 1637 |
| Number of Model Variables | |||||
|---|---|---|---|---|---|
| Metal | Ag | Cd | Cu | Pb | Zn |
| PLS | 6 | 5 | 3 | 4 | 10 |
| PCA | 3 | 5 | 3 | 7 | 9 |
| October–December 2019 | January–February 2020 | |||||||||||
|---|---|---|---|---|---|---|---|---|---|---|---|---|
| PLS | PCA | PLS | PCA | |||||||||
| Source | Site | Element | Mean | SD | Mean | SD | t-Test | Mean | SD | Mean | SD | t-Test |
| River | QM-2 | Ag | 29.27 | 1.29 | 26.76 | 0.13 | 0.11 | 2.20 | 3.81 | 0 | 0 | 0.37 |
| Cd | 0 | 0 | 27.42 | 1.92 | 0.002 * | 0 | 0 | 3.31 | 3.33 | 0.16 | ||
| Cu | 17.75 | 0.30 | 17.79 | 0.31 | 0.91 | 1.33 | 2.30 | 1.36 | 2.36 | 0.99 | ||
| Pb | 3.22 | 3.54 | 4.59 | 2.79 | 0.71 | 0 | 0 | 0.13 | 0.23 | 0.37 | ||
| Zn | 69.54 | 10.15 | 74.00 | 13.29 | 0.74 | 9.34 | 8.20 | 14.19 | 14.25 | 0.64 | ||
| QM-4 | Ag | 17.83 | 0.42 | 15.48 | 0.98 | 0.09 | 20.59 | 3.00 | 21.50 | 2.64 | 0.71 | |
| Cd | 0 | 0 | 19.50 | 1.45 | 0.003 * | 0 | 0 | 2.64 | 24.17 | 0.00 ** | ||
| Cu | 10.31 | 0.21 | 10.31 | 0.21 | 0.98 | 14.26 | 2.29 | 14.32 | 2.29 | 0.97 | ||
| Pb | 0.05 | 0.07 | 0 | 0 | 0.42 | 0 | 0 | 1.77 | 3.07 | 0.37 | ||
| Zn | 50.97 | 4.89 | 59.63 | 2.47 | 0.16 | 8.50 | 8.27 | 11.73 | 10.91 | 0.70 | ||
| QM-5 | Ag | 2.36 | 1.11 | 0 | 0 | 0.10 | 32.20 | 2.24 | 31.10 | 7.20 | 0.81 | |
| Cd | 0 | 0 | 5.64 | 0.76 | 0.01 * | 0 | 0 | 35.16 | 2.60 | 0.00 ** | ||
| Cu | 0 | 0 | 0 | 0 | 1.00 | 21.70 | 1.60 | 21.76 | 1.64 | 0.96 | ||
| Pb | 0 | 0 | 0 | 0 | 1.00 | 0 | 0 | 6.51 | 1.18 | 0.001 ** | ||
| Zn | 54.76 | 9.33 | 63.18 | 8.13 | 0.44 | 31.31 | 13.09 | 31.86 | 10.28 | 0.96 | ||
| QM-6 | Ag | 44.49 | 0.35 | 48.93 | 2.26 | 0.11 | 4.03 | 2.75 | 5.81 | 1.98 | 0.41 | |
| Cd | 0 | 0 | 37.16 | 1.89 | 0.001 ** | 0 | 0 | 4.93 | 3.57 | 0.08 | ||
| Cu | 28.24 | 1.30 | 28.34 | 1.31 | 0.95 | 0.52 | 0.89 | 0.51 | 0.88 | 0.99 | ||
| Pb | 5.64 | 2.12 | 22.20 | 1.39 | 0.01 * | 0 | 0 | 0 | 0 | 1.00 | ||
| Zn | 66.25 | 13.72 | 66.94 | 11.24 | 0.96 | 17.54 | 19.00 | 22.54 | 21.27 | 0.78 | ||
| Borehole | QM-3 | Ag | 17.59 | 4.65 | 8.29 | 2.82 | 0.14 | 8.89 | 5.99 | 0 | 0 | 0.06 |
| Cd | 0 | 0 | 15.32 | 3.08 | 0.02 * | 0 | 0 | 10.34 | 3.47 | 0.01 * | ||
| Cu | 10.42 | 4.37 | 10.45 | 4.41 | 1.00 | 2.27 | 2.50 | 2.48 | 2.27 | 0.92 | ||
| Pb | 0.48 | 0.68 | 5.69 | 8.05 | 0.46 | 0 | 0 | 0 | 0 | 1.00 | ||
| Zn | 57.89 | 7.42 | 59.58 | 1.08 | 0.78 | 19.80 | 12.28 | 25.72 | 4.41 | 0.48 | ||
| QM-7 | Ag | 1.24 | 1.75 | 0 | 0 | 0.42 | 16.06 | 5.79 | 8.85 | 5.78 | 0.20 | |
| Cd | 0 | 0 | 2.29 | 0.43 | 0.02 * | 0 | 0 | 17.33 | 4.22 | 0.002v * | ||
| Cu | 0 | 0 | 0 | 0 | 1.00 | 9.83 | 3.79 | 9.86 | 3.82 | 0.99 | ||
| Pb | 0 | 0 | 0 | 0 | 1.00 | 0 | 0 | 4.89 | 4.16 | 0.11 | ||
| Zn | 45.67 | 10.32 | 51.08 | 5.06 | 0.57 | 15.66 | 27.12 | 19.79 | 26.86 | 0.86 | ||
| QM-8 | Ag | 0 | 0 | 0 | 0 | 1.00 | 25.56 | 3.08 | 20.47 | 3.82 | 0.15 | |
| Cd | 0 | 0 | 0 | 0 | 1.00 | 0 | 0 | 27.98 | 1.37 | 0.00 ** | ||
| Cu | 0 | 0 | 0 | 0 | 1.00 | 13.39 | 0.41 | 13.45 | 0.38 | 0.87 | ||
| Pb | 0 | 0 | 0 | 0 | 1.00 | - | - | 0.87 | 1.51 | 0.37 | ||
| Zn | 50.05 | 4.05 | 55.22 | 1.56 | 0.23 | 20.94 | 19.01 | 21.16 | 26.88 | 0.99 | ||
| Source | Site | Element | October–December 2019 | January–February 2020 |
|---|---|---|---|---|
| Value (mg L−1) | Value (mg L−1) | |||
| River | QM-2 | Ag | <0.020 | <0.020 ** |
| Cd | <0.003 * | <0.003 * | ||
| Cu | 0.018 | 0.008 | ||
| Pb | <0.015 | <0.015 * | ||
| Zn | <0.020 | <0.020 | ||
| QM-4 | Ag | <0.020 | <0.020 | |
| Cd | <0.003 * | <0.020 * | ||
| Cu | 0.017 | <0.003 | ||
| Pb | <0.015 *** | 0.008* | ||
| Zn | <0.020 | <0.015 | ||
| QM-5 | Ag | <0.020 ** | <0.020 | |
| Cd | <0.003 * | <0.003 * | ||
| Cu | 0.015 *** | 0.013 | ||
| Pb | <0.015 *** | <0.015 * | ||
| Zn | <0.020 | <0.020 | ||
| QM-6 | Ag | <0.020 | <0.020 | |
| Cd | <0.003 * | <0.003 * | ||
| Cu | 0.020 | 0.011 | ||
| Pb | <0.015 | <0.015 *** | ||
| Zn | 0.023 | <0.020 | ||
| Borehole | QM-3 | Ag | <0.020 | <0.020 ** |
| Cd | <0.003 * | <0.003 * | ||
| Cu | 0.014 | 0.005 | ||
| Pb | <0.015 * | <0.015 *** | ||
| Zn | <0.020 | <0.020 | ||
| QM-7 | Ag | <0.020 ** | <0.020 | |
| Cd | <0.003 * | <0.003 * | ||
| Cu | 0.012 *** | <0.005 | ||
| Pb | <0.015 *** | <0.015 * | ||
| Zn | 0.129 | 0.217 | ||
| QM-8 | Ag | <0.020 *** | <0.020 | |
| Cd | <0.003 *** | <0.003 * | ||
| Cu | 0.015 *** | <0.005 | ||
| Pb | <0.015 *** | <0.015 | ||
| Zn | 0.060 | <0.020 |
© 2020 by the authors. Licensee MDPI, Basel, Switzerland. This article is an open access article distributed under the terms and conditions of the Creative Commons Attribution (CC BY) license (http://creativecommons.org/licenses/by/4.0/).
Share and Cite
Mamera, M.; van Tol, J.J.; Aghoghovwia, M.P.; Kotze, E. Sensitivity and Calibration of the FT-IR Spectroscopy on Concentration of Heavy Metal Ions in River and Borehole Water Sources. Appl. Sci. 2020, 10, 7785. https://doi.org/10.3390/app10217785
Mamera M, van Tol JJ, Aghoghovwia MP, Kotze E. Sensitivity and Calibration of the FT-IR Spectroscopy on Concentration of Heavy Metal Ions in River and Borehole Water Sources. Applied Sciences. 2020; 10(21):7785. https://doi.org/10.3390/app10217785
Chicago/Turabian StyleMamera, Matthew, Johan J. van Tol, Makhosazana P. Aghoghovwia, and Elmarie Kotze. 2020. "Sensitivity and Calibration of the FT-IR Spectroscopy on Concentration of Heavy Metal Ions in River and Borehole Water Sources" Applied Sciences 10, no. 21: 7785. https://doi.org/10.3390/app10217785
APA StyleMamera, M., van Tol, J. J., Aghoghovwia, M. P., & Kotze, E. (2020). Sensitivity and Calibration of the FT-IR Spectroscopy on Concentration of Heavy Metal Ions in River and Borehole Water Sources. Applied Sciences, 10(21), 7785. https://doi.org/10.3390/app10217785

