Development of Attached Cavitation at Very Low Reynolds Numbers from Partial to Super-Cavitation
Abstract
1. Introduction
2. Experimental Study Overview
2.1. Experimental Test-Bench and Protocol
2.2. Control Parameters, Flow Visualization and Measured Quantities
- The images are converted to matrices of floats, the background is subtracted and the result is normalized by the background reference image, giving the ith normalized image of the time series (see Figure 2a). The gaseous features that are darker than the background have then gray-level values in the range .
- Image is then binarized with a threshold of : which gives the position of the interfaces between liquid and cavities with a dimensionless accuracy of (see Figure 3b for a gray-level profile on a normalized image).
- The holes that could remain inside the cavities are then filled with an algorithm based on invading the complementary of from the outer boundary of the image with binary dilations. Holes are not connected to the boundary and are therefore not invaded. The result is the complementary subset of the invaded region. A filled binary image is obtained.
- The features are then labeled, and their properties are measured with the scikit-image functions measure.label() and measure.regionprops(). A filter on the bounding box of the labeled regions is then used to keep the region that is the closest to the Venturi throat, resulting in a binary image containing a closed and filled representation of the cavity that is attached to the throat . This process is illustrated in Figure 2b where is displayed.
- The mean and standard deviation of the time series of the filtered images are then computed. The mean image for the series at , and is displayed in Figure 2c.
2.3. Numerical Highlights and Comparison with Experimental Data
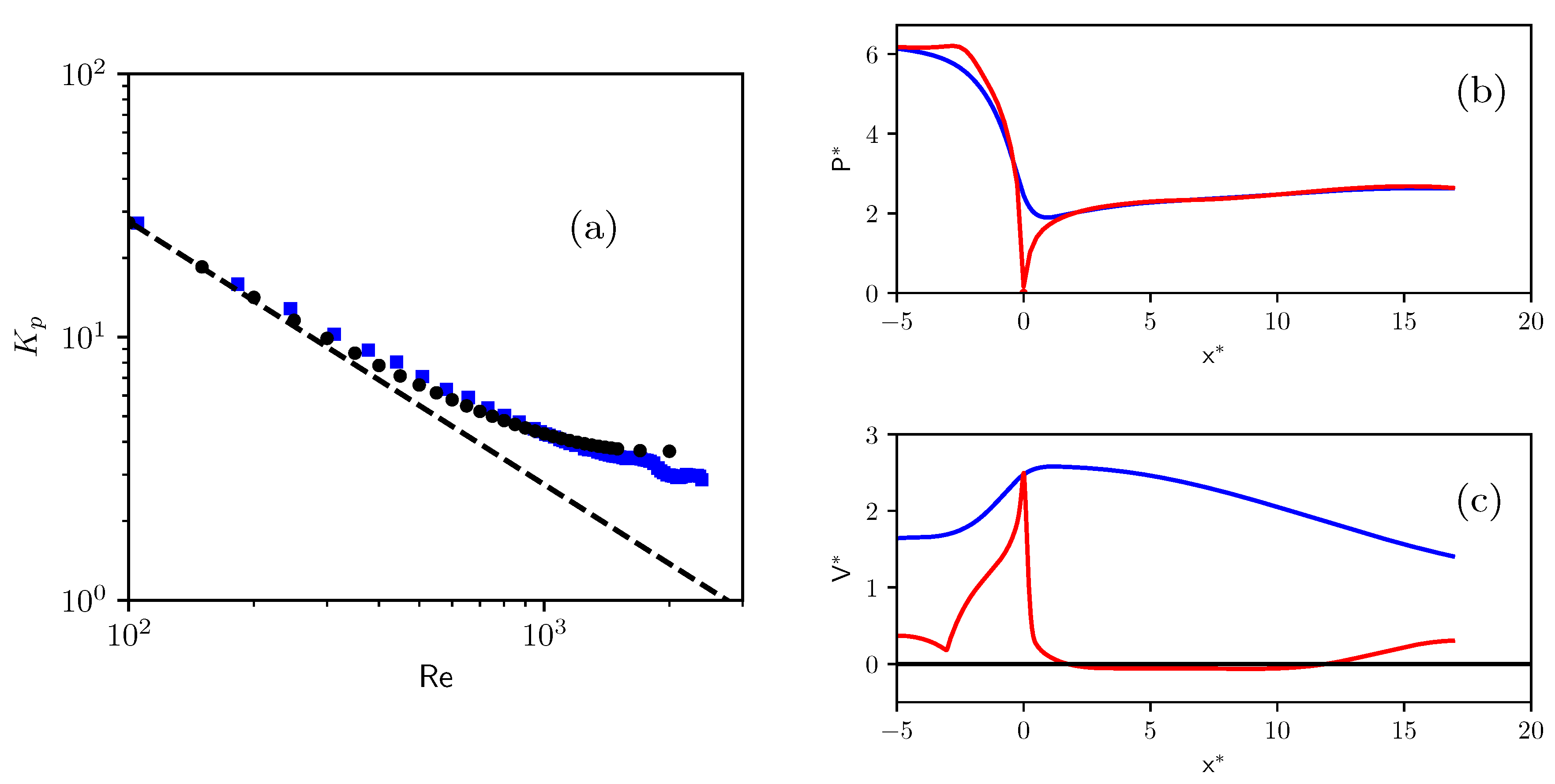
- The flow remains laminar for . A primary flow separation is present in the wake of the throat, on the divergent wall ( and ), first along each lateral wall () for , and on all along the width for . This corresponds to the negative values of the velocity profile in Figure 4c.
- A secondary laminar boundary layer separation emerges at a Reynolds number at the top wall of the test section ( and ).
- Finally, the critical cavitation numbers that lead to a minimal absolute pressure equal to the vapor pressure can be estimated numerically with the simulations. For instance, here, for , and , one can notice that the minimal pressure is close to zero and that this occurs at the throat, on the bottom wall (see Figure 4b). According to the simulation, cavitation of the oil is thus possible.
3. Results
3.1. Comparison between Degassed and Air-Saturated Oil
3.2. Developed Cavitation Regimes Identification in Degassed Oil
3.3. Quantitative Characterization of the Different Regimes and Effects of the Reynolds Number
4. Conclusions
Author Contributions
Funding
Acknowledgments
Conflicts of Interest
References
- Brennen, C.E. Fundamentals of Multiphase Flows; Cambridge University Press: Cambridge, England, 2005. [Google Scholar]
- Franc, J.P.; Michel, J.M. Fundamentals of Cavitation; Kluwer Academic Publishers: Dordrecht, The Netherlands, 2006. [Google Scholar]
- Parkin, B.R.; Kermeen, R.W. Incipient Cavitation and Boundary Layer Interaction on a Streamlined Body; Rep. E-35.2; California Institute of Technology: Pasadena, CA, USA, 1953. [Google Scholar]
- Arakeri, V.H. Viscous effects on the position of cavitation separation from smooth bodies. J. Fluid Mech. 1975, 68, 779–799. [Google Scholar] [CrossRef]
- Kuiper, G. Cavitation Inception on Ship Propeller Models. Ph.D. Thesis, Delft University of Technology, Delft, The Netherlands, 1981. [Google Scholar]
- Franc, J.P.; Michel, J.M. Attached cavitation and the boundary layer: Experimental investigation and numerical treatment. J. Fluid Mech. 1985, 154, 63–90. [Google Scholar] [CrossRef]
- Guennoun, M.F. Étude Physique de Lapparition et du D’veloppement de la Cavitation sur une aube Isolée. Ph.D. Thesis, EPFL Lausanne, Lausanne, Switzerland, 2006. [Google Scholar]
- van Rijsbergen, M. A review of sheet cavitation inception mechanisms. In Proceedings of the 16th International Symposium on Transport Phenomena and Dynamics of Rotating Machinery, Honolulu, HI, USA, 10–15 April 2016; Available online: https://hal.archives-ouvertes.fr/hal-01890067/ (accessed on 10 October 2020).
- Brandner, P.; Walker, G.J.; Niekamp, P.N.; Anderson, B. An experimental investigation of cloud cavitation about a sphere. J. Fluid Mech. 2010, 656, 147–176. [Google Scholar] [CrossRef]
- Danlos, A.; Ravelet, F.; Coutier-Delgosha, O.; Bakir, F. Cavitation regime detection through Proper Orthogonal Decomposition: Dynamics analysis of the sheet cavity on a grooved convergent divergent nozzle. Int. J. Heat Fluid Flow 2014, 47, 9–20. [Google Scholar] [CrossRef]
- Pelz, P.F.; Keil, T.; Groß, T.F. The transition from sheet to cloud cavitation. J. Fluid Mech. 2017, 817, 439–454. [Google Scholar] [CrossRef]
- Šarc, A.; Kosel, J.; Stopar, D.; Oder, M.; Dular, M. Removal of bacteria Legionella pneumophila, Escherichia coli, and Bacillus subtilis by (super)cavitation. Ultrason. Sonochem. 2018, 42, 228–236. [Google Scholar] [CrossRef]
- Kosel, J.; Šuštaršič, M.; Petkovšek, M.; Zupanc, M.; Sežun, M.; Dular, M. Application of (super)cavitation for the recycling of process waters in paper producing industry. Ultrason. Sonochem. 2020, 64, 10500. [Google Scholar] [CrossRef]
- Tsujimoto, Y.; Kenjiro, K.K.; Brennen, C.E. Unified treatment of flow instabilities of turbomachines. J. Propuls. Power 2001, 17, 636–643. [Google Scholar] [CrossRef]
- Campos-Amezcua, R.; Bakir, F.; Campos-Amezcua, A.; Khelladi, S.; Palacios-Gallegos, M.; Rey, R. Numerical analysis of unsteady cavitating flow in an axial inducer. Appl. Therm. Eng. 2015, 75, 1302–1310. [Google Scholar] [CrossRef][Green Version]
- Callenaere, M.; Franc, J.P.; Michel, J.M.; Riondet, M. The cavitation instability induced by the development of a re-entrant jet. J. Fluid Mech. 2001, 444, 223–256. [Google Scholar] [CrossRef]
- Ganesh, H.; Mäkiharju, S.A.; Ceccio, S.L. Bubbly shock propagation as a mechanism for sheet-to-cloud transition of partial cavities. Phys. Fluids 2016, 802, 37–78. [Google Scholar] [CrossRef]
- Croci, K.; Tomov, P.; Ravelet, F.; Danlos, A.; Khelladi, S.; Robinet, J.C. Investigation of two mechanisms governing cloud cavitation shedding: Experimental study and numerical highlight. In Proceedings of the ASME International Mechanical Engineering Congress and Exposition, Phoenix, AZ, USA, 11–17 November 2016; Volume 7. [Google Scholar]
- Wu, J.; Ganesh, H.; Ceccio, S. Multimodal partial cavity shedding on a two-dimensional hydrofoil and its relation to the presence of bubbly shocks. Exp. Fluids 2019, 60, 66. [Google Scholar] [CrossRef]
- Brunhart, M.; Soteriou, C.; Gavaises, M.; Karathanassis, I.; Koukouvinis, P.; Jahangir, S.; Poelma, C. Investigation of cavitation and vapor shedding mechanisms in a Venturi nozzle. Phys. Fluids 2020, 32, 083306. [Google Scholar] [CrossRef]
- Petkovšek, M.; Hocevar, M.; Dular, M. Visualization and measurements of shock waves in cavitating flow. Exp. Therm. Fluid Sci. 2020, 119, 110215. [Google Scholar] [CrossRef]
- Trummler, T.; Schmidt, S.; Adams, N. Investigation of condensation shocks and re-entrant jet dynamics in a cavitating nozzle flow by Large-Eddy Simulation. Int. J. Multiph. Flow 2020, 125, 103215. [Google Scholar] [CrossRef]
- Ishihara, T.; Ouchi, M.; Kobayashi, T.; Tamura, N. An experimental study on cavitation in unsteady oil flow. Bull. JSME 1979, 22, 1099–1106. [Google Scholar] [CrossRef]
- Washio, S.; Kikui, S.; Takahashi, S. Nucleation and subsequent cavitation in a hydraulic oil poppet valve. Proc. Inst. Mech. Eng. Part C J. Mech. Eng. Sci. 2009, 224, 947–958. [Google Scholar] [CrossRef]
- Peters, F.; Honza, R. A benchmark experiment on gas cavitation. Exp. Fluids 2014, 55, 1786. [Google Scholar] [CrossRef]
- Groß, T.F.; Pelz, P.F. Diffusion-driven nucleation from surface nuclei in hydrodynamic cavitation. J. Fluid Mech. 2017, 830, 138–164. [Google Scholar] [CrossRef]
- Croci, K.; Ravelet, F.; Robinet, J.C.; Danlos, A. Experimental Study of Cavitation in Laminar Flow. In Proceedings of the 10th International Symposium on Cavitation (CAV2018), Baltimore, MD, USA, 14–16 May 2018. [Google Scholar] [CrossRef]
- Croci, K.; Ravelet, F.; Danlos, A.; Robinet, J.C.; Barast, L. Attached cavitation in laminar separations within a transition to unsteadiness. Phys. Fluids 2019, 31, 063605. [Google Scholar] [CrossRef]
- Ding, C.; Fan, Y. Measurement of diffusion coefficients of air in silicone oil and in hydraulic oil. Chin. J. Chem. Eng. 2011, 19, 205–211. [Google Scholar] [CrossRef]
- Li, B.; Gu, Y.; Chen, M. An experimental study on the cavitation of water with dissolved gases. Exp. Fluids 2017, 58, 164. [Google Scholar] [CrossRef]
- Amini, A.; Reclari, M.; Sano, T.; Farhat, M. Effect of gas content on tip vortex cavitation. In Proceedings of the Symposium on Cavitation, Baltimore, MD, USA, 14–16 May 2018. [Google Scholar]
- Croci, K. Experimental Study of Multiphase Flows within a Separated Laminar Boundary Layer. Ph.D. Thesis, Ecole Nationale Supérieure D’arts et métiers—ENSAM, Paris, France, 2018. [Google Scholar]
- van der Walt, S.; Schönberger, J.L.; Nunez-Iglesias, J.; Boulogne, F.; Warner, J.D.; Yager, N.; Gouillart, E.; Yu, T.; the scikit-image contributors. scikit-image: Image processing in Python. PeerJ 2014, 2, e453. [Google Scholar] [CrossRef] [PubMed]
- Soille, P. Morphological Image Analysis; Springer: Berlin, Germany, 2004. [Google Scholar]
- Tassin Leger, A.; Bernal, L.P.; Ceccio, S.L. Examination of the flow near the leading edge of attached cavitation. Part 2. Incipient breakdown of two-dimensional and axisymmetric cavities. J. Fluid Mech. 1998, 376, 91–113. [Google Scholar] [CrossRef]












| Symbol | Parameters | Definition | Range | Unit | Uncertainty |
|---|---|---|---|---|---|
| Inlet pressure | mbar | ||||
| Outlet pressure | mbar | ||||
| T | Operating temperature | C | |||
| Inlet velocity | m·s | ||||
| Oil density | kg·m | ||||
| Oil kinematic viscosity | mm·s | ||||
| Capillary number | ⩽3% | ||||
| Pressure loss coefficient | ⩽4% | ||||
| Inlet Reynolds number | ⩽3% | ||||
| Inlet cavitation number | ⩽2% | ||||
| Outlet cavitation number | ⩽2% |
Publisher’s Note: MDPI stays neutral with regard to jurisdictional claims in published maps and institutional affiliations. |
© 2020 by the authors. Licensee MDPI, Basel, Switzerland. This article is an open access article distributed under the terms and conditions of the Creative Commons Attribution (CC BY) license (http://creativecommons.org/licenses/by/4.0/).
Share and Cite
Ravelet, F.; Danlos, A.; Bakir, F.; Croci, K.; Khelladi, S.; Sarraf, C. Development of Attached Cavitation at Very Low Reynolds Numbers from Partial to Super-Cavitation. Appl. Sci. 2020, 10, 7350. https://doi.org/10.3390/app10207350
Ravelet F, Danlos A, Bakir F, Croci K, Khelladi S, Sarraf C. Development of Attached Cavitation at Very Low Reynolds Numbers from Partial to Super-Cavitation. Applied Sciences. 2020; 10(20):7350. https://doi.org/10.3390/app10207350
Chicago/Turabian StyleRavelet, Florent, Amélie Danlos, Farid Bakir, Kilian Croci, Sofiane Khelladi, and Christophe Sarraf. 2020. "Development of Attached Cavitation at Very Low Reynolds Numbers from Partial to Super-Cavitation" Applied Sciences 10, no. 20: 7350. https://doi.org/10.3390/app10207350
APA StyleRavelet, F., Danlos, A., Bakir, F., Croci, K., Khelladi, S., & Sarraf, C. (2020). Development of Attached Cavitation at Very Low Reynolds Numbers from Partial to Super-Cavitation. Applied Sciences, 10(20), 7350. https://doi.org/10.3390/app10207350

