A Hierarchical Coordinative Control Strategy for Solid State Transformer Based DC Microgrids
Abstract
Featured Application
Abstract
1. Introduction
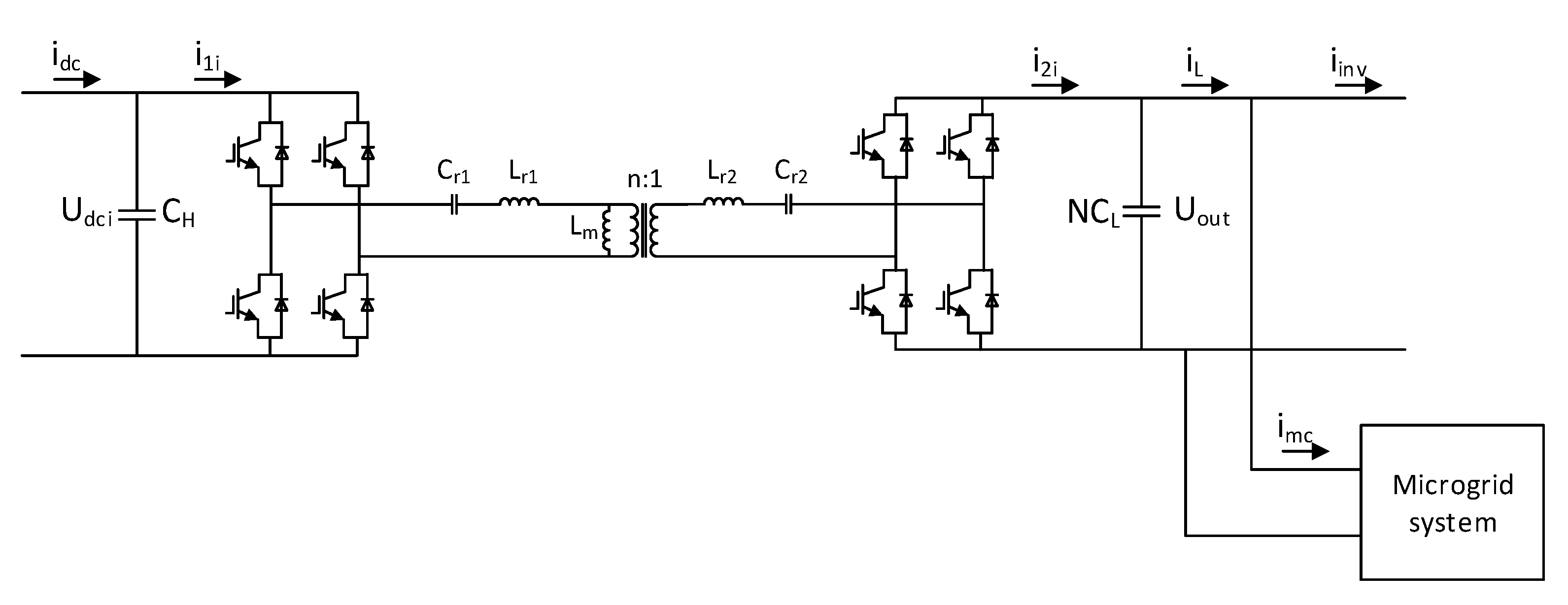
2. Overview of the SST-Based DC Microgrid System
2.1. Mathematical Model of the SST
2.2. Problems Existing in the Independent Control Strategy
3. Hierarchical Coordinative Control Strategy Design
3.1. The Hierarchical Coordinative Control for the SST-Based DC Microgrid System
3.2. Comparative Analysis of Microgrid Power Fluctuation Response of the DC Link
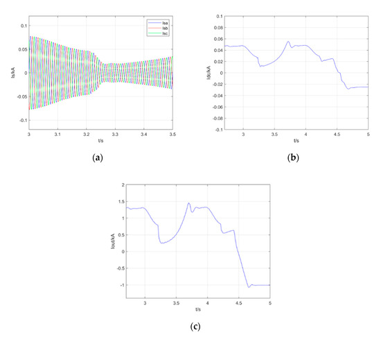
4. Simulation Results
5. Conclusions
- (1)
- At present, the main factors affecting the practical application of SSTs are high cost and low energy transmission efficiency. The adopted input-stage MMC instead of cascaded H-bridge can significantly reduce the required number of power electronic switches and high-frequency transformers in the SST, thus reducing the system cost. As for the isolation stage that accounts primarily for SST power losses, the efficiency of the CLLC resonant converter adopted in this paper can reach above 98% at rated power, which is greatly improved, compared with the DAB converter, whose efficiency is only about 90%.
- (2)
- Under the independent control, the power response speed of the SST is slow, and the output fluctuation of the microgrid cannot be compensated quickly and timely, bringing serious dynamic voltage stability problems for the DC link voltages. The hierarchical coordinative control strategy proposed in this paper can not only improve the external power characteristics of the DC microgrid, but also realize a coordinated action between the input stage and isolation stage of the SST, which can greatly suppress the voltage fluctuation of the HVDC and LVDC bus.
- (3)
- The coordinative control strategy is not only applicable to the microgrid output fluctuation situation, but also effective to other transient conditions, such as the removal of the microgrid under fault, and the island switching process.
Author Contributions
Funding
Conflicts of Interest
Abbreviations
| CHB | Cascaded H-bridge |
| DAB | Dual active bridge |
| DABCI | Dual active bridge cascaded with inverter |
| DG | Distributed generation |
| ESS | Energy storage system |
| FEC | Front-end converter |
| HFT | High frequency transformer |
| HVDC | High-voltage direct current |
| ISOP | Input-series output-parallel |
| LVDC | Low-voltage direct current |
| MMC | Modular multilevel converter |
| MPPT | Maximum power point tracking |
| PV | Photovoltaic |
| PWM | Pulse width modulation |
| SST | Solid state transformer |
References
- Tu, C.; Xiao, F.; Lan, Z.; Shuai, Z. Research of the high supply voltage quality control for solid-state transformer. IET Power Electron. 2018, 11, 1788–1795. [Google Scholar] [CrossRef]
- Yun, C.-G.; Cho, Y. Active Hybrid Solid State Transformer Based on Multi-Level Converter Using SiC MOSFET. Energies 2019, 12, 66. [Google Scholar] [CrossRef]
- Miao, J.; Zhang, N.; Kang, C.; Wang, J.; Wang, Y.; Xia, Q. Steady-State Power Flow Model of Energy Router Embedded AC Network and Its Application in Optimizing Power System Operation. IEEE Trans. Smart Grid 2018, 9, 4828–4837. [Google Scholar] [CrossRef]
- Anand, S.; Fernandes, B.G.; Guerrero, J. Distributed Control to Ensure Proportional Load Sharing and Improve Voltage Regulation in Low-Voltage DC Microgrids. IEEE Trans. Power Electron. 2013, 28, 1900–1913. [Google Scholar] [CrossRef]
- Xiao, W.; Ge, B.; Zang, T.; Liu, Y.; Zhang, Z.; Yang, F. Management system research of large-scale new energy development based on energy internet. In Proceedings of the 2017 IEEE Conference on Energy Internet and Energy System Integration (EI2), Beijing, China, 26–28 November 2017; pp. 1–6. [Google Scholar]
- Wang, R.; Sun, Q.; Cheng, Q.; Ma, D. The Stability Analysis of a Multi-Port Single-Phase Solid-State Transformer in the Electromagnetic Timescale. Energies 2018, 11, 2250. [Google Scholar] [CrossRef]
- Li, Z.; Gao, F.; Zhao, C.; Wang, Z.; Zhang, H.; Wang, P.; Li, Y. Research Review of Power Electronic Transformer Technologies. Proc. CSEE 2018, 38, 1274–1289. [Google Scholar]
- Wang, D.; Tian, J.; Mao, C.; Lu, J.; Duan, Y.; Qiu, J.; Cai, H. A 10-kV/400-V 500-kVA Electronic Power Transformer. IEEE Trans. Ind. Electron. 2016, 63, 6653–6663. [Google Scholar] [CrossRef]
- Gao, F.; Li, Z.; Wang, P.; Xu, F.; Chu, Z.; Sun, Z.; Li, Y. Prototype of smart energy router for distribution DC grid. In Proceedings of the 17th European Conference on Power Electronics and Applications (EPE’15 ECCE-Europe), Geneva, Switzerland, 8–10 September 2015; pp. 1–9. [Google Scholar]
- Chen, W.; Rong, P.; Lu, Z. Snubberless Bidirectional DC–DC Converter With New CLLC Resonant Tank Featuring Minimized Switching Loss. IEEE Trans. Ind. Electron. 2010, 57, 3075–3086. [Google Scholar] [CrossRef]
- Jung, J.; Kim, H.; Kim, J.; Ryu, M.; Baek, J. High efficiency bidirectional LLC resonant converter for 380V DC power distribution system using digital control scheme. In Proceedings of the 2012 Twenty-Seventh Annual IEEE Applied Power Electronics Conference and Exposition (APEC), Orlando, FL, USA, 5–9 February 2012; pp. 532–538. [Google Scholar]
- Li, D.; Zhu, Z.Q. A Novel Integrated Power Quality Controller for Microgrid. IEEE Trans. Ind. Electron. 2015, 62, 2848–2858. [Google Scholar] [CrossRef]
- Pradhan, M.; Mishra, M.K. Dual P-Q Theory Based Energy-Optimized Dynamic Voltage Restorer for Power Quality Improvement in a Distribution System. IEEE Trans. Ind. Electron. 2019, 66, 2946–2955. [Google Scholar] [CrossRef]
- Rauf, A.M.; Khadkikar, V. An Enhanced Voltage Sag Compensation Scheme for Dynamic Voltage Restorer. IEEE Trans. Ind. Electron. 2015, 62, 2683–2692. [Google Scholar] [CrossRef]
- Madhusoodhanan, S.; Tripathi, A.; Patel, D.; Mainali, K.; Kadavelugu, A.; Hazra, S.; Bhattacharya, S.; Hatua, K. Solid-State Transformer and MV Grid Tie Applications Enabled by 15 kV SiC IGBTs and 10 kV SiC MOSFETs Based Multilevel Converters. IEEE Trans. Ind. Appl. 2015, 51, 3343–3360. [Google Scholar] [CrossRef]
- Vasiladiotis, M.; Rufer, A. A Modular Multiport Power Electronic Transformer With Integrated Split Battery Energy Storage for Versatile Ultrafast EV Charging Stations. IEEE Trans. Ind. Electron. 2015, 62, 3213–3222. [Google Scholar] [CrossRef]
- Rahman, M.A.; Islam, M.R.; Muttaqi, K.M.; Sutanto, D.A. Modeling and Control of SiC-Based High-Frequency Magnetic Linked Converter for Next Generation Solid State Transformers. IEEE Trans. Energy Convers. 2019, 35, 549–559. [Google Scholar] [CrossRef]
- Zhao, T.; Wang, G.; Zeng, J.; Dutta, S.; Bhattacharya, S.; Huang, A.Q. Voltage and power balance control for a cascaded multilevel solid state transformer. In Proceedings of the 2010 Twenty-Fifth Annual IEEE Applied Power Electronics Conference and Exposition (APEC), Palm Springs, CA, USA, 21–25 February 2010; pp. 761–767. [Google Scholar]
- Tian, Y.; Chen, Z.; Deng, F.; Sun, X.; Hu, Y. Active Power and DC Voltage Coordinative Control for Cascaded DC–AC Converter With Bidirectional Power Application. IEEE Trans. Power Electron. 2015, 30, 5911–5925. [Google Scholar] [CrossRef]
- Ge, J.; Zhao, Z.; Yuan, L.; Lu, T. Energy Feed-Forward and Direct Feed-Forward Control for Solid-State Transformer. IEEE Trans. Power Electron. 2015, 30, 4042–4047. [Google Scholar] [CrossRef]
- Rahman, M.A.; Islam, M.R.; Muttaqi, K.M.; Sutanto, D. Data driven coordinated control of converters in a smart solid state transformer for reliable and automated distribution grids. IEEE Trans. Ind. Appl. 2020, 56, 4532–4542. [Google Scholar] [CrossRef]
- Briz, F.; Lopez, M.; Rodriguez, A.; Arias, M. Modular power electronic transformers: Modular multilevel converter versus cascaded H-bridge solutions. IEEE Trans. Ind. Electron. 2016, 10, 4587–4597. [Google Scholar] [CrossRef]
- Wu, L.; Zhao, Z.; Liu, J. A Single-Stage Three-Phase Grid-Connected Photovoltaic System With Modified MPPT Method and Reactive Power Compensation. IEEE Trans. Energy Convers. 2007, 22, 881–886. [Google Scholar]
- Moon, S.; Yoon, S.; Park, J. A New Low-Cost Centralized MPPT Controller System for Multiply Distributed Photovoltaic Power Conditioning Modules. IEEE Trans. Smart Grid 2015, 6, 2649–2658. [Google Scholar] [CrossRef]
- Dougal, R.A.; Liu, S.; White, R.E. Power and life extension of battery-super capacitor hybrids. IEEE Trans. Compon. Packag. Technol. 2002, 25, 120–131. [Google Scholar] [CrossRef]
- Ostadi, A.; Kazerani, M. A Comparative Analysis of Optimal Sizing of Battery-Only, Super capacitor-Only, and Battery–Super capacitor Hybrid Energy Storage Systems for a City Bus. IEEE Trans. Veh. Technol. 2015, 64, 4449–4460. [Google Scholar] [CrossRef]
- Zheng, J.P.; Jow, T.R.; Ding, M.S. Hybrid power sources for pulsed current applications. IEEE Trans. Aerosp. Electron. Syst. 2001, 37, 288–292. [Google Scholar] [CrossRef]
- Gao, L.; Dougal, R.A.; Liu, S. Power enhancement of an actively controlled battery/super capacitor hybrid. IEEE Trans. Power Electron. 2005, 20, 236–243. [Google Scholar] [CrossRef]
- Camara, M.B.; Gualous, H.; Gustin, F.; Berthon, A. Design and New Control of DC/DC Converters to Share Energy Between Supercapacitors and Batteries in Hybrid Vehicles. IEEE Trans. Veh. Technol. 2008, 57, 2721–2735. [Google Scholar] [CrossRef]
- Wang, J.; Gu, B.; Duan, Q.; Ma, C.; Ji, B.; You, J. Control strategy of solid state power electronic transformer under voltage disturbance conditions. In Proceedings of the IECON 2015-41st Annual Conference of the IEEE Industrial Electronics Society, Yokohama, Japan, 9–12 November 2015; pp. 003081–003085. [Google Scholar]
- Rashidi, M.; Bani-Ahmed, A.; Nasiri, A. Application of a multi-port solid state transformer for volt-var control in distribution systems. In Proceedings of the IEEE Power & Energy Society General Meeting, Chicago, IL, USA, 16–20 July 2017; pp. 1–4. [Google Scholar]
















| Variables | Value | Variables | Value |
|---|---|---|---|
| 0.04 | 40 | ||
| 4 | 100 | ||
| 0.5 | 50 |
| Variable Description | Value |
|---|---|
| Distribution network voltage level | 10 kV |
| Distribution grid side filter inductor () | 10 mH |
| Three-phase arm inductance of MMC () | 20 mH |
| Number of submodules of MMC and CLLC (N) | 6 |
| Reference value of HVDC voltage () | 20 kV |
| Primary-side voltage of CLLC submodule () | 3.33 kV |
| Secondary-side voltage of CLLC submodule () | 700 V |
| Turns ratio of HFT (n) | 4.76:1 |
| HVDC-link series capacitance () | 3000 uF |
| LVDC-link shunt capacitance () | 3000 uF |
| Primary-side resonant inductance () | 15 uH |
| Primary-side resonant capacitance () | 19 uF |
| Secondary-side resonant inductance () | 0.216 uH |
| Primary-side resonant capacitance () | 1319.42 uF |
| CLLC excitation inductance () | 2300 uH |
| Coordinative control coefficient | 0.9 |
| Control coefficient | 0.9 |
© 2020 by the authors. Licensee MDPI, Basel, Switzerland. This article is an open access article distributed under the terms and conditions of the Creative Commons Attribution (CC BY) license (http://creativecommons.org/licenses/by/4.0/).
Share and Cite
Li, Z.; Zheng, T.; Wang, Y.; Yang, C. A Hierarchical Coordinative Control Strategy for Solid State Transformer Based DC Microgrids. Appl. Sci. 2020, 10, 6853. https://doi.org/10.3390/app10196853
Li Z, Zheng T, Wang Y, Yang C. A Hierarchical Coordinative Control Strategy for Solid State Transformer Based DC Microgrids. Applied Sciences. 2020; 10(19):6853. https://doi.org/10.3390/app10196853
Chicago/Turabian StyleLi, Zheng, Tao Zheng, Yani Wang, and Chang Yang. 2020. "A Hierarchical Coordinative Control Strategy for Solid State Transformer Based DC Microgrids" Applied Sciences 10, no. 19: 6853. https://doi.org/10.3390/app10196853
APA StyleLi, Z., Zheng, T., Wang, Y., & Yang, C. (2020). A Hierarchical Coordinative Control Strategy for Solid State Transformer Based DC Microgrids. Applied Sciences, 10(19), 6853. https://doi.org/10.3390/app10196853

