Type Synthesis of Variable Compression Ratio Engine Mechanisms
Abstract
1. Introduction
2. Kinematic Chains, Graphs, and Graph Enumeration
2.1. Kinematic Chains, Mechanisms, and Graphs
2.2. Number Synthesis of Kinematic Chains
2.3. Number Synthesis of Planar Two-DOF VCR Engine Kinematic Chains with One-DOF Joints
2.4. Graph Enumeration
3. Search Specification for the Kinematic Structures of VCR Engine Mechanisms
4. Type Synthesis of VCR Engine Mechanisms with One-DOF Joints
4.1. VCR Engine Mechanisms with Seven Links and Eight Joints
4.2. Seven-Link and Eight-Joint VCR Engine Mechanisms Not Satisfying the Search Specification
4.3. Enumeration by Joint Substitution
4.4. VCR Engine Mechanisms with Nine Links and Eleven Joints
5. Selection of Suitable VCR Engine Mechanisms
6. Discussion
7. Conclusions
Author Contributions
Funding
Conflicts of Interest
Nomenclature
| l | number of links | 
| j | number of joints | 
| F | DOF of a mechanism | 
| λ | DOF of the space within which a mechanism operates | 
| fi | degrees of relative motion permitted by joint i | 
| Lind | number of independent loops | 
| ji | number of joints that permit i-DOF | 
| li | number of vertices of degree i | 
| m | maximum degree of a vertex | 
| lc | number of vertices in the contracted graph | 
| jc | number of edges in the contracted graph | 
| bi | number of binary strings of length i | 
| q | longest binary string in a conventional graph | 
Abbreviations
| DOF | degree of freedom | 
| VCR | variable compression ratio | 
| IC | internal combustion | 
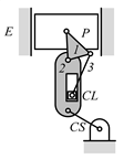
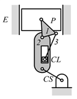
| E | engine block | 
| CS | crankshaft | 
| CL | control link | 
| P | piston | 
References
- Schwaderlapp, M.; Habermann, K.; Yapici, K.I. Variable Compression Ratio—A Design solution for Fuel Economy Concepts. SAE Tech. Pap. 2002. [Google Scholar] [CrossRef]
- Hiyoshi, R.; Aoyama, S.; Takemura, S.; Ushijima, K.; Sugiyama, T. A Study of a Multiple-link Variable Compression Ratio System for Improving Engine Performance. SAE Tech. Pap. 2006. [Google Scholar] [CrossRef]
- Kleeberg, H.; Tomazic, D.; Dohmen, J.; Wittek, K.; Balazs, A. Increasing Efficiency in Gasoline Powertrains with a Two-Stage Variable Compression Ratio (VCR) System. SAE Tech. Pap. 2013. [Google Scholar] [CrossRef]
- Nilsson, Y.; Eriksson, L.; Gunnarsson, M. A Model for Fuel Optimal Control of a Spark-Ignited Variable Compression Engine. SAE Tech. Pap. 2006. [Google Scholar] [CrossRef]
- Pesic, R.; Milojevic, S. Efficiency and ecological characteristics of a VCR diesel engine. Int. J. Automot. Technol. 2013, 14, 675–681. [Google Scholar] [CrossRef]
- Freudenstein, F.; Maki, E.R. Development of an Optimum Variable-Stroke Internal-Combustion Engine Mechanism from the Viewpoint of Kinematic Structure. J. Mech. Transm. Autom. Des. 1983, 105, 259–266. [Google Scholar] [CrossRef]
- Pouliot, H.N.; Delameter, W.R.; Robinson, C.W. A Variable-Displacement Spark-Ignition Engine. SAE Tech. Pap. 1977. [Google Scholar] [CrossRef]
- Moteki, K.; Aoyama, S.; Ushijima, K.; Hiyoshi, R.; Takemura, S.; Fujimoto, H.; Arai, T. A Study of a Variable Compression Ratio System with a Multi-Link Mechanism. SAE Tech. Pap. 2003. [Google Scholar] [CrossRef]
- Tanik, E.; Söylemez, E. Analysis and design of a compliant variable stroke mechanism. Mech. Mach. Theory 2010, 45, 1385–1394. [Google Scholar] [CrossRef]
- Mendler, C.; Gravel, R. Variable Compression Ratio Engine. SAE Tech. Pap. 2002. [Google Scholar] [CrossRef]
- Rabhi, D.; Rabhi, V.; Ranson, P. Gear Design and Dimensioning Study for a Variable Compression Ratio Engine. SAE Tech. Pap. 2005. [Google Scholar] [CrossRef]
- Rosso, P.A.; Beard, J.; Blough, J.R. A Variable Displacement Engine with Independently Controllable Stroke Length and Compression Ratio. SAE Tech. Pap. 2006. [Google Scholar] [CrossRef]
- Cassiani, M.; Bittencourt, M.; Galli, L.; Villalva, S. VARIABLE COMPRESSION RATIO ENGINES. SAE Tech. Pap. 2009. [Google Scholar] [CrossRef]
- Kwak, S.W.; Shim, J.K.; Mo, Y.K. Kinematic Conceptual Design of In-Line Four-Cylinder Variable Compression Ratio Engine Mechanisms Considering Vertical Second Harmonic Acceleration. Appl. Sci. 2020, 10, 3765. [Google Scholar] [CrossRef]
- Roberts, M. Benefits and Challenges of Variable Compression Ratio (VCR). SAE Tech. Pap. 2003. [Google Scholar] [CrossRef]
- Shaik, A.; Moorthi, N.S.V.; Rudramoorthy, R. Variable compression ratio engine: A future power plant for automobiles-an overview. Proc. Inst. Mech. Eng. Part D J. Autom. Eng. 2007, 221, 1159–1168. [Google Scholar] [CrossRef]
- Mo, Y.K.; Shim, J.K.; Lim, D.J. Kinematic Structure Analysis of Variable Compression Ratio Engine Mechanisms. KSAE 2018, 26, 159–166. [Google Scholar]
- Hoeltgebaum, T.; Simoni, R.; Martins, D. Reconfigurability of engines: A kinematic approach to variable compression ratio engines. Mech. Mach. Theory 2016, 96, 308–322. [Google Scholar] [CrossRef]
- Tsai, L.W. Mechanism Design: Enumeration of Kinematic Structure According to Function; CRC Press: Boca Raton, FL, USA, 2000; pp. 77–111, 260–279. [Google Scholar]
- Philips, P.; Steiner, B.; Greiser, K.; Kramer, U. System and Method for Controlling Crankshaft Position During Engine Shutdown Using Cylinder Pressure. U.S. Patent 7,191,756 B2, 20 March 2007. [Google Scholar]
- Bollig, C.; Hermanns, H.J.; Schellhase, T.; Widmann, F. Combustion Engine Having a Variable Compression Ratio. U.S. Patent 5,595,146, 21 January 1997. [Google Scholar]
- Dachtchenko, O.; Gelse, W.; Kutenev, V.; Magg, K.; Nikitin, A.; Rau, E.; Romanchev, Y.; Schnüpke, H.; Mkretiehian, G.T.; Zienko, M. Reciprocating Piston Internal Combustion Engine. U.S. Patent 6,772,717 B2, 10 August 2004. [Google Scholar]
- Aoyama, S.; Moteki, K.; Ushijima, K.; Takimura, S.; Mizuno, H. Internal Combustion Engine. U.S. Patent 7,669,559 B2, 2 March 2010. [Google Scholar]
- Eto, K.; Maezuru, A.; Ikoma, K.; Iso, K.; Okada, Y.; Kinoshita, M. Engine Vibration Elimination System and Variable Stroke Characteristic Engine. U.S. Patent 7,905,210 B2, 15 March 2011. [Google Scholar]
- Pattakos, M.; Pattakou, V.S.; Pattakos, E. Variable Compression Ratio Engine. U.S. Patent 8,267,055 B2, 18 September 2012. [Google Scholar]
- Ehrlich, J. Internal Combustion Engines. U.S. Patent 6,009,845, 4 January 2000. [Google Scholar]
- Nilsson, P.I.; Bergsten, L. Internal Combustion Engine with Variable Compression, Provided with Reinforcements of the Crankcase Section in the Region of the Main Bearings. European Patent 0,560,825 B1, 1 March 1995. [Google Scholar]
- Lawrence, K.E.; Moser, W.E.; Roozenboom, S.D.; Knox, K.J. Eccentric Crank Variable Compression Ratio Mechanism. U.S. Patent 7,370,613 B2, 13 May 2008. [Google Scholar]
- Lee, E.H.; Kong, J.K.; Woo, S.H. Variable Compression Ratio Apparatus. U.S. Patent 2010/0326404 A1, 30 December 2010. [Google Scholar]
- Kalenborn, M. Druckimpulsansteuerung für Eine Verstelleinrichtung Eines Variablen Verdichtungsverhältnisses. D.E. Patent 10,2012,014,917 A1, 7 February 2013. [Google Scholar]
- Noltemeyer, F. Kolbenbrennkraftmaschine mit Veränderlichem Verdichtungsverhältnis. D.E. Patent 31,48,193 A1, 4 December 1981. [Google Scholar]
- Lee, E.H.; Kong, J.K.; Kim, Y.N. Variable Compression Ratio Apparatus. U.S. Patent 2010/0000497A1, 7 January 2010. [Google Scholar]
- Lee, E.H.; Yang, J.C.; Kwak, Y.H.; Kwon, K.; Kong, J.K.; Woo, S.H.; Won, Y.J. Variable Compression Ratio Apparatus. U.S. Patent 7,966,980 B2, 28 June 2011. [Google Scholar]
- Freudenstein, F.; Maki, E.R. Variable Displacement Piston Engine. U.S. Patent 4,270,495, 2 June 1981. [Google Scholar]
- Hiyoshi, R. Variable Compression Ratio Engine. U.S. Patent 2013/0327302 A1, 12 December 2013. [Google Scholar]
- Schechter, M.M.; Simko, A.O.; Levin, M.B. Variable Displacement and Compression Ratio Piston Engine. U.S. Patent 5,136,987, 11 August 1992. [Google Scholar]





| Lind | l | j | l2 | l3 | l4 | lc | jc | b0 | b1 | b2 | b3 | 
|---|---|---|---|---|---|---|---|---|---|---|---|
| 1 | 5 | 5 | 5 | 0 | 0 | - | - | - | - | - | - | 
| 2 | 7 | 8 | 5 | 2 | 0 | 2 | 3 | 0 | 1 | 2 | 0 | 
| 0 | 2 | 0 | 1 | ||||||||
| 1 | 0 | 1 | 1 | ||||||||
| 3 | 9 | 11 | 5 | 4 | 0 | 4 | 6 | 1 | 5 | 0 | 0 | 
| 2 | 3 | 1 | 0 | ||||||||
| 3 | 1 | 2 | 0 | ||||||||
| 3 | 2 | 0 | 1 | ||||||||
| 4 | 0 | 1 | 1 | ||||||||
| 6 | 2 | 1 | 3 | 5 | 0 | 4 | 1 | 0 | |||
| 1 | 2 | 2 | 0 | ||||||||
| 1 | 3 | 0 | 1 | ||||||||
| 2 | 0 | 3 | 0 | ||||||||
| 2 | 1 | 1 | 1 | ||||||||
| 3 | 0 | 0 | 2 | ||||||||
| 7 | 0 | 2 | 2 | 4 | 0 | 1 | 3 | 0 | |||
| 0 | 2 | 1 | 1 | ||||||||
| 1 | 0 | 2 | 1 | ||||||||
| 1 | 1 | 0 | 2 | 
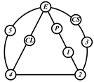
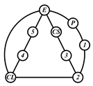
| Lind | Contracted Graph | Conventional Graphs | 
|---|---|---|
| 2 |  A |  | 
| 3 |  B |  | 
|  C |  | |
|  D |  | |
|  E |  | 
| Search Specification | |
|---|---|
| 1 | The search is limited to two-DOF planar mechanisms having two to three independent loops that can be represented by the conventional graphs shown in Table 2. | 
| 2 | The engine (cylinder) block is the ground link that is considered fixed. | 
| 3 | The engine block is a ternary or higher link [6,18]: the piston is connected to the engine block by a prismatic joint; the crankshaft and control link are connected to the engine block by a respective revolute joint, hence a control via a floating-link connection is excluded. | 
| 4 | Mechanisms with revolute joints and only one prismatic joint are enumerated: any revolute joint can be replaced by a prismatic joint after the enumeration, except for the joints connecting 1) the engine block and crankshaft, and 2) the piston and connecting rod (For examples, see Table 6b,c; Table 6d,e). This joint substitution simplifies the enumeration. | 
| 5 | The crankshaft and piston are binary links [6,18]. | 
| 6 | The crankshaft, control link, and piston are not connected directly to each other. | 
| Case | Labeled Graph and Mechanism | Comment | 
|---|---|---|
| I |  | Partially locked mechanism: The DOF associated with any loop in a mechanism must be at least equal to one [19]. A four-link loop consisting of the engine block, crankshaft, control link, and a floating link shown left becomes a structure when the control link is fixed in a position. | 
| II |  Four-link slider-crank mechanism  Six-link slider-crank mechanism | No stroke variation: The stroke cannot be varied when the engine block, crankshaft, connecting rod, and piston are assigned to a one-DOF loop or a one-DOF multi-loop. If these links are in a one-DOF loop, they form a four-link slider-crank mechanism which is the kinematic structure of the fixed-stroke engine and the stroke does not change. If these links are assigned to a one-DOF multi-loop, they form a one-DOF six-link slider-crank mechanism and the stroke does not change. | 
| III |  | Links cannot be assigned according to the search specification: No matter where the engine block is assigned, either the piston or the crankshaft would be assigned to a ternary link. This violates search specification 5 in Table 3. | 
| Labeled Graph | Schematic Diagram | Labeled Graph | Schematic Diagram | 
|---|---|---|---|
|  02Aa01 |  Ford—US7191756 [20] FEV—US5595146 [21] |  02Aa02 |  Daimler—US6772717B2 [22] Nissan—US7669559B2 [23] Honda—US7905210B2 [24] Pattakon—US8267055B2 [25] Mayflower—US6009845 [26] | 
|  02Aa03 |  |  02Ab00 | Case I (See Table 6) | 
|  02Ac00 | Cases I and II | 
| Labeled Graph | Schematic Diagram | Labeled Graph | Schematic Diagram | 
|---|---|---|---|
|  |  SAAB—EP0560825B1 [27] |  |  Caterpillar—US7370613B2 [28] | 
| (a) | (b) | ||
|  |  Hyundai—US20100326404A1 [29] |  |  FEV—DE102012014917A1 [30] | 
| (c) | (d) | ||
|  |  Daimler—DE3148193 A1 [31] | ||
| (e) | |||
| Labeled Graph | Schematic Diagram | Labeled Graph | Schematic Diagram | 
|---|---|---|---|
|  03Ba01 |  Hyundai US 20100000497A1 [32] |  03Ba02 |  | 
|  03Bb01 |  |  03Bb02 |  | 
|  03Bc00 | Case III |  03Bd00 | Case II | 
|  03Be00 | Cases I and II |  03Bf00 | Case I | 
|  03Bg00 | Cases I and II | 
| Labeled Graph | Schematic Diagram | Labeled Graph | Schematic Diagram | 
|---|---|---|---|
|  03Ca01 |  |  03Ca02 |  | 
|  03Ca03 |  |  03Ca04 |  | 
|  03Ca05 |  |  03Cb01 |  | 
|  03Cc01 |  |  03Cc02 |  | 
|  03Cc03 |  |  03Cc04 |  | 
|  03Cd01 |  |  03Cd02 |  | 
|  03Ce01 |  |  03Ce02 |  | 
|  03Cf01 |  |  03Cf02 |  | 
|  03Cf03 |  |  03Cg01 |  | 
|  03Cg02 |  |  03Cg03 |  | 
|  03Cg04 |  |  03Ch01 |  Hyundai US 7966980B2 [33] | 
|  03Ch02 |  |  03Ch03 |  | 
|  03Ch04 |  |  03Ch05 |  | 
|  03Ch06 |  |  03Ci00 | Case I | 
|  03Cj00 | Case I |  03Ck00 | Case III | 
|  03Cl00 | Case I | 
| Labeled Graph | Schematic Diagram | Labeled Graph | Schematic Diagram | 
|---|---|---|---|
|  03Da01 |  |  03Da02 |  | 
|  03Da03 |  |  03Da04 |  | 
|  03Db01 |  |  03Db02 |  | 
|  03Db03 |  |  03Db04 |  | 
|  03Db05 |  |  03Db06 |  | 
|  03Db07 |  |  03Db08 |  | 
|  03Db09 |  |  03Db10 |  | 
|  03Db11 |  |  03Db12 |  | 
|  03Dc01 |  |  03Dc02 |  | 
|  03Dc03 |  |  03Dc04 |  | 
|  03Dc05 |  |  03Dc06 |  | 
|  03Dc07 |  |  03Dc08 |  | 
|  03Dc09 |  |  03Dc10 |  | 
|  03Dc11 |  |  03Dc12 |  | 
|  03Dc13 |  |  03Dc14 |  | 
|  03Dd01 |  |  03Dd02 |  | 
|  03Dd03 |  General Motors US 4270495 [34] |  03Dd04 |  | 
|  03Dd05 |  Nissan US 20130327302A1 [35] |  03Dd06 |  | 
|  03Dd07 |  |  03Dd08 |  | 
|  03Dd09 |  |  03Dd10 |  | 
|  03Dd11 |  |  03Dd12 |  | 
|  03Dd13 |  |  03Dd14 |  | 
|  03De01 |  |  03De02 |  Ford US 5136987 [36] | 
|  03De03 |  |  03De04 |  | 
|  03De05 |  |  03Df00 | Cases I and II | 
|  03Dg00 | Cases I and II |  03Dh00 | Cases I and II | 
|  03Di00 | Cases I and II |  03Dj00 | Case I | 
|  03Dk00 | Cases I and II |  03Dl00 | Cases I and II | 
|  03Dm00 | Case I | 
| Labeled Graph | Schematic Diagram | Labeled Graph | Schematic Diagram | 
|---|---|---|---|
|  03Ea01 |  |  03Ea02 |  | 
|  03Ea03 |  |  03Ea04 |  | 
|  03Eb00 | Case I and II |  03Ec00 | Case I and II | 
| Criterion | Excluded Mechanisms in Table 5, Table 6, Table 7, Table 8, Table 9 and Table 10 | 
|---|---|
| Presence of an unnecessary loop | 03Bb01, 03Bb02, 03Ca01, 03Ca02, 03Ca03, 03Cc01, 03Cc02, 03Ce01, 03Ce02, 03Dc01, 03Dc02, 03Dc05, 03Dc06, 03Dc09, 03Dc10, 03Dc13, 03Dc14, 03Dd07, 03Dd08, 03Dd09, 03Dd10, 03Dd11, 03Dd12, 03Dd13, 03Dd14, 03De04, 03De05, 03Ea02, 03Ea03, 03Ea04 | 
| Three or more links are used to connect the piston and crankshaft | 02Aa03, 03Ca04, 03Ca05, 03Cb01, 03Cc03, 03Cc04, 03Cd01, 03Cd02, 03Cf01, 03Cf02, 03Cf03, 03Cg01, 03Cg02, 03Cg04, 03Ch03, 03Ch04, 03Ch05, 03Ch06, 03Da01, 03Da02, 03Da03, 03Da04, 03Db01, 03Db02, 03Db05, 03Db06, 03Db09, 03Db10, 03Db11, 03Db12, 03Dc07, 03Dc08, 03Dc11, 03Dc12, 03Dd01, 03Dd02, 03Dd03, 03Dd04, 03De01, 03De02, 03De03, 03Ea01 | 
| Piston is not connected with binary link | 02Aa01, 03Ba02, 03Cg03, 03Ch01, 03Ch02, 03Db03, 03Db08, 03Dc04, 03Dd06 | 
| Engine block is not a quaternary link | 02Aa02, 03Ba01, 03Db07 | 
| Schematic diagram |  |  |  | 
| Labeled graph |  03Db04 |  03Dc03 |  03Dd05 | 
| 03Db04 and 03Dd05 | 03Dc03 | Slider-Crank | |||
|---|---|---|---|---|---|
| High C.R. | Low C.R. | High C.R. | Low C.R. | - | |
| Compression ratio (C.R) | 14.000 | 8.028 | 14.016 | 9.233 | 10.000 | 
| TDC (mm) | 184.422 | 178.791 | 185.008 | 181.370 | 183.000 | 
| BDC (mm) | 98.419 | 92.726 | 98.908 | 96.964 | 97.000 | 
| Stroke (mm) | 86.003 | 86.065 | 86.100 | 84.406 | 86.000 | 
| 03Db04 | 03Dd05 | 03Dc03 | Slider-Crank | ||
|---|---|---|---|---|---|
| Bore diameter (mm) | 86.00 | ||||
| Piston offset (mm) | 0 | ||||
| Combustion chamber volume (cc) | 38.43 | 55.51 | |||
| Link length (mm) | rCS | 25.00 | 25.00 | 25.00 | 43.00 | 
| r1 | 140.00 | 140.00 | 140.00 | 140.00 | |
| r2a | 56.00 | 56.00 | 56.00 | - | |
| r2b | 42.00 | 42.00 | 42.00 | - | |
| r2c | 95.50 | 95.50 | 95.50 | - | |
| r3 | 73.50 | 73.50 | - | - | |
| r3a | - | - | 140.00 | - | |
| r3b | - | - | 145.00 | - | |
| r3c | - | - | 65.00 | - | |
| r4 | - | - | 95.00 | - | |
| r4a | 14.14 | 20.55 | - | - | |
| r4b | 14.14 | 9.42 | - | - | |
| r4c | 20.00 | 20.55 | - | - | |
| r5 | 11.05 | 20.00 | 65.00 | - | |
| rCL | 11.05 | 20.00 | 20.00 | - | |
| Pivot positions (mm) | rax | 53.19 | 61.15 | 114.84 | - | 
| ray | −60.32 | −66.37 | −212.50 | - | |
| rbx | 69.11 | 75.00 | 210.00 | - | |
| rby | −72.42 | −75.00 | −110.00 | - | |
| Control link angle (°) | High C.R. | 27.5 | 356.5 | 187.2 | - | 
| Low C.R. | 78.0 | 27.7 | 172.8 | - | |
| j2 | Lind | l | j | l2 | l3 | l4 | lc | jc | b0 | b1 | b2 | b3 | 
|---|---|---|---|---|---|---|---|---|---|---|---|---|
| 1 | 2 | 6 | 7 | 4 | 2 | 0 | 2 | 3 | 0 | 2 | 1 | 0 | 
| 1 | 0 | 2 | 0 | |||||||||
| 1 | 1 | 0 | 1 | 
| j2 | Lind | Contracted Graph | Conventional Graph | 
|---|---|---|---|
| 1 | 2 |  |  | 
| Contracted Graph | Conventional Graph | Assign a Two-DOF Joint | 
|---|---|---|
|  |  A |  | 
|  B |  | |
|  C |  | 
| Labeled Graph | Schematic Diagram | Labeled Graph | Schematic Diagram | Labeled Graph | Schematic Diagram | 
|---|---|---|---|---|---|
|  12Aa01 |  |  12Ab00 | Cases I and II |  12Ac00 | Cases I and II | 
|  12Ba00 | Case I |  12Bb00 | Case I |  12Bc00 | Case III | 
|  12Ca00 | Case III |  12Cb00 | Case III | 
© 2020 by the authors. Licensee MDPI, Basel, Switzerland. This article is an open access article distributed under the terms and conditions of the Creative Commons Attribution (CC BY) license (http://creativecommons.org/licenses/by/4.0/).
Share and Cite
Mo, Y.K.; Shim, J.K.; Kwak, S.W.; Jo, M.S.; Park, H.S. Type Synthesis of Variable Compression Ratio Engine Mechanisms. Appl. Sci. 2020, 10, 6574. https://doi.org/10.3390/app10186574
Mo YK, Shim JK, Kwak SW, Jo MS, Park HS. Type Synthesis of Variable Compression Ratio Engine Mechanisms. Applied Sciences. 2020; 10(18):6574. https://doi.org/10.3390/app10186574
Chicago/Turabian StyleMo, Young Kwang, Jae Kyung Shim, Seung Woo Kwak, Min Seok Jo, and Ho Sung Park. 2020. "Type Synthesis of Variable Compression Ratio Engine Mechanisms" Applied Sciences 10, no. 18: 6574. https://doi.org/10.3390/app10186574
APA StyleMo, Y. K., Shim, J. K., Kwak, S. W., Jo, M. S., & Park, H. S. (2020). Type Synthesis of Variable Compression Ratio Engine Mechanisms. Applied Sciences, 10(18), 6574. https://doi.org/10.3390/app10186574
 
        

 
       