Arbitrary Phase Modulation of General Transmittance Function of First-Order Optical Comb Filter with Ordered Sets of Quarter- and Half-Wave Plates
Abstract
1. Introduction
2. Phase Modulation Principle Based on Spectral Evolution of State of Polarization (SOP)
3. Finding Algorithm of Waveplate Orientation Angles (WOA’s) for Phase Modulation of General Transmittance Function (GTF)
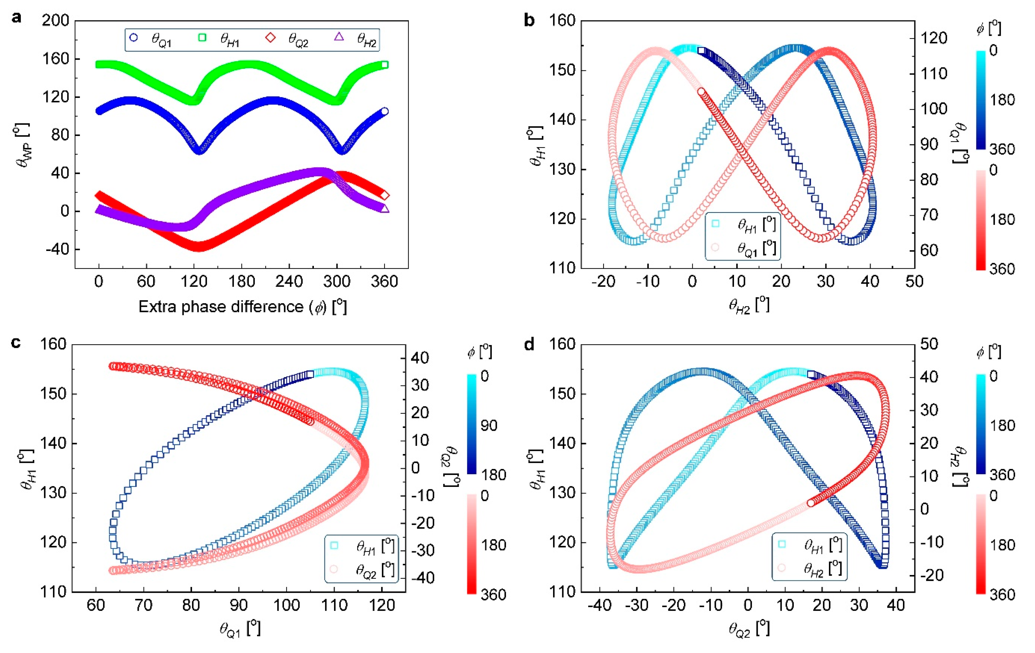
4. WOA’s for Phase Modulation of GTF and Its Phase-Modulated Spectra
5. Experimental Verification of Phase-Modulated Spectra
6. Conclusions
Author Contributions
Funding
Conflicts of Interest
References
- Li, J.; Xu, K.; Fu, S.; Tang, M.; Shum, P.; Wu, J.; Lin, J. Photonic polarity-switchable ultra-wideband pulse generation using a tunable Sagnac interferometer comb filter. IEEE Photonics Technol. Lett. 2008, 20, 1320–1322. [Google Scholar] [CrossRef]
- Nguimdo, R.M.; Verschaffelt, G.; Danckaert, J.; Van der Sande, G. Fast photonic information processing using semiconductor lasers with delayed optical feedback: Role of phase dynamics. Opt. Express 2014, 22, 8672–8686. [Google Scholar] [CrossRef]
- Lacava, C.; Ettabib, M.; Petropoulos, P. Nonlinear silicon photonic signal processing devices for future optical networks. Appl. Sci. 2017, 7, 103. [Google Scholar] [CrossRef]
- Bian, S.Y.; Ren, M.Q.; Wei, L. A wavelength spacing switchable and tunable high-birefringence fiber loop mirror filter. Microw. Opt. Technol. Lett. 2014, 56, 1666–1670. [Google Scholar] [CrossRef]
- Ge, J.; Fok, M.P. Passband switchable microwave photonic multiband filter. Sci. Rep. 2015, 5, 15882. [Google Scholar] [CrossRef]
- Guo, J.-J.; Yang, Y.; Peng, G.-D. Analysis of polarization-independent tunable optical comb filter by cascading MZI and phase modulating Sagnac loop. Opt. Commun. 2011, 284, 5144–5147. [Google Scholar] [CrossRef]
- Luo, Z.-C.; Cao, W.-J.; Luo, A.-P.; Xu, W.-C. Polarization-independent, multifunctional all-fiber comb filter using variable ratio coupler-based Mach–Zehnder interferometer. J. Lightwave Technol. 2012, 30, 1857–1862. [Google Scholar] [CrossRef]
- Sun, G.; Moon, D.S.; Lin, A.; Han, W.T.; Chung, Y. Tunable multiwavelength fiber laser using a comb filter based on erbium-ytterbium co-doped polarization maintaining fiber loop mirror. Opt. Express 2008, 16, 3652–3658. [Google Scholar] [CrossRef]
- Pottiez, O.; Ibarra-Escamilla, B.; Kuzin, E.A.; Grajales-Coutino, R.; Gonzalez-Garcia, A. Tunable Sagnac comb filter including two wave retarders. Opt. Laser Technol. 2010, 42, 403–408. [Google Scholar] [CrossRef]
- Sova, R.M.; Kim, C.S.; Kang, J.U. Tunable dual-wavelength all-PM fiber ring laser. IEEE Photonics Technol. Lett. 2002, 14, 287–289. [Google Scholar] [CrossRef]
- Luo, Z.-C.; Luo, A.-P.; Xu, W.-C.; Yin, H.-S.; Liu, J.-R.; Ye, Q.; Fang, Z.-J. Tunable multiwavelength passively mode-locked fiber ring laser using intracavity birefringence-induced comb filter. IEEE Photonics J. 2010, 2, 571–577. [Google Scholar] [CrossRef]
- Lee, Y.W.; Han, K.J.; Lee, B.; Jung, J. Polarization-independent all-fiber multiwavelength-switchable filter based on a polarization-diversity loop configuration. Opt. Express 2003, 11, 3359–3364. [Google Scholar] [CrossRef]
- Lee, Y.W.; Han, K.J.; Jung, J.; Lee, B. Polarization-independent tunable fiber comb filter. IEEE Photonics Technol. Lett. 2004, 16, 2066–2068. [Google Scholar] [CrossRef]
- Roh, S.; Chung, S.; Lee, Y.W.; Yoon, I.; Lee, B. Channel-spacing-and wavelength-tunable multiwavelength fiber ring laser using semiconductor optical amplifier. IEEE Photonics Technol. Lett. 2006, 18, 2302–2304. [Google Scholar] [CrossRef]
- Yoon, I.; Lee, Y.W.; Jung, J.; Lee, B. Tunable multiwavelength fiber laser employing a comb filter based on a polarization-diversity loop configuration. J. Lightwave Technol. 2006, 24, 1805–1811. [Google Scholar] [CrossRef]
- Lee, Y.W.; Kim, H.-T.; Jung, J.; Lee, B. Wavelength-switchable flat-top fiber comb filter based on a Solc type birefringence combination. Opt. Express 2005, 13, 1039–1048. [Google Scholar] [CrossRef]
- Lee, Y.W.; Kim, H.-T.; Lee, Y.W. Second-order all-fiber comb filter based on polarization-diversity loop configuration. Opt. Express 2008, 16, 3871–3876. [Google Scholar] [CrossRef]
- Jo, S.; Kim, Y.; Lee, Y.W. Study on transmission and output polarization characteristics of a first-order Lyot-type fiber comb filter using polarization-diversity loop. IEEE Photonics J. 2015, 7, 1–15. [Google Scholar] [CrossRef]
- Park, K.; Lee, Y.W. Zeroth-and first-order-convertible fiber interleaving filter. IEEE Photonics J. 2016, 8, 1–10. [Google Scholar] [CrossRef]
- Park, K.; Choi, S.; Lee, S.-L.; Jeong, J.H.; Jeong, S.J.; Christian, N.J.; Kim, M.S.; Kim, J.; Kang, H.W.; Nam, S.Y.; et al. Second-order fiber interleaving filter based on polarization-diversified loop. Opt. Eng. 2017, 56, 066108. [Google Scholar] [CrossRef]
- Jung, J.; Lee, Y.W. Tunable fiber comb filter based on simple waveplate combination and polarization-diversified loop. Opt. Laser Technol. 2017, 91, 63–70. [Google Scholar] [CrossRef]
- Jung, J.; Lee, Y.W. Continuously wavelength-tunable passband-flattened fiber comb filter based on polarization-diversified loop structure. Sci. Rep. 2017, 7, 8311. [Google Scholar] [CrossRef]
- Jung, J.; Lee, Y.W. Polarization-independent wavelength-tunable first-order fiber comb filter. IEEE Photonics J. 2019, 11, 1–15. [Google Scholar] [CrossRef]
- Kim, D.K.; Kim, J.; Lee, S.-L.; Choi, S.; Kim, M.S.; Lee, Y.W. Tunable narrowband fiber multiwavelength filter based on polarization-diversified loop structure. J. Nanosci. Nanotechnol. 2020, 20, 344–350. [Google Scholar] [CrossRef]
- Jung, J.; Lee, Y.W. Universal wavelength tuning scheme for a first-order optical fiber multiwavelength filter based on a polarization-diversified loop structure. J. Nanosci. Nanotechnol. 2020, 20, 460–469. [Google Scholar] [CrossRef]
- Fang, X.; Ji, H.; Allen, C.T.; Demarest, K.; Pelz, L. A compound high-order polarization-independent birefringence filter using Sagnac interferometers. IEEE Photonics Technol. Lett. 1997, 9, 458–460. [Google Scholar] [CrossRef]
- Jones, R.C. A new calculus for the treatment of optical systems: I. Description and discussion of the calculus. J. Opt. Soc. Am. 1941, 31, 488–493. [Google Scholar]







© 2020 by the authors. Licensee MDPI, Basel, Switzerland. This article is an open access article distributed under the terms and conditions of the Creative Commons Attribution (CC BY) license (http://creativecommons.org/licenses/by/4.0/).
Share and Cite
Jung, J.; Lee, Y.W. Arbitrary Phase Modulation of General Transmittance Function of First-Order Optical Comb Filter with Ordered Sets of Quarter- and Half-Wave Plates. Appl. Sci. 2020, 10, 5434. https://doi.org/10.3390/app10165434
Jung J, Lee YW. Arbitrary Phase Modulation of General Transmittance Function of First-Order Optical Comb Filter with Ordered Sets of Quarter- and Half-Wave Plates. Applied Sciences. 2020; 10(16):5434. https://doi.org/10.3390/app10165434
Chicago/Turabian StyleJung, Jaehoon, and Yong Wook Lee. 2020. "Arbitrary Phase Modulation of General Transmittance Function of First-Order Optical Comb Filter with Ordered Sets of Quarter- and Half-Wave Plates" Applied Sciences 10, no. 16: 5434. https://doi.org/10.3390/app10165434
APA StyleJung, J., & Lee, Y. W. (2020). Arbitrary Phase Modulation of General Transmittance Function of First-Order Optical Comb Filter with Ordered Sets of Quarter- and Half-Wave Plates. Applied Sciences, 10(16), 5434. https://doi.org/10.3390/app10165434

