Abstract
This study tested the effect of servant leadership on followers’ inclinations to strive for and, in contrast, to avoid leadership responsibility. Results from a study in the health care context, including two waves of data from 222 employees, revealed that servant leadership had a small but positive effect on followers’ leadership avoidance. This effect was influenced by followers’ implicit conception of an ideal leader. Specifically, servant leadership was found to reduce leadership avoidance when the congruence with the followers’ ideal leader prototype was high. Furthermore, followers’ core self-evaluations and affective motivation to lead mediated the relationship between servant leadership and reduced leadership avoidance. Implications of these patterns for theory and practice and avenues for future research are discussed.
1. Introduction
One of the core tenets of servant leadership theory is that servant leaders instill in followers a desire to serve others [1,2]. Research in this field has convincingly argued that servant leaders are uniquely effective in developing and nurturing service values among followers. More specifically, it is thought that servant leaders represent strong role models that influence followers via learning processes and vicarious experiences and, thus, eventually imbue the importance of service within their teams [2]. Empirical support for this notion comes from a study conducted by Walumbwa, Hartnell and Oke [3] who surveyed leaders and their followers from several multinational companies in Kenya. They found servant leadership to be positively related to service climate, which represents a “collection of behavioral features or activities of the departments all focusing explicitly on service quality” [4] (p. 1022). More recently, Liden Wayne, Liao and Meuser [5] further substantiated this notion. In a study conducted in the USA with restaurant leaders and their teams, they found that servant leadership shapes a serving culture in organizations that goes even beyond the service climate with its emphasis on customer service. Rather, the notion of serving culture explicitly refers to an organizational environment in which all members, leaders and followers “share the understanding that the behavioral norms and expectations are to prioritize the needs of others above their own and to provide help and support to others” [5] (p. 1437).
In the present article we build upon and extend the above evidence by addressing a related, yet rarely discussed and hitherto not empirically tested implication of servant leadership. Greenleaf [1] and several other scholars in his tradition have framed the implicit expectation that those who are served by servant leaders will understand their true potential, take on these practices and thus eventually become servant leaders themselves (e.g., [6]). From this follows that servant leaders should be able to reduce motivational barriers in followers to strive for or accept leadership responsibility. In fact, despite the primacy of a genuine motivation to serve in the conception of servant leadership [1], leadership per definition includes a motivation to lead [7]. In other words, someone who views leadership responsibility as inherently daunting and unattractive is unlikely to become a servant leader. That said, the main aim of the present research is to investigate the link between servant leadership and followers’ motivations to lead and, eventually, leadership avoidance, which represents a fundamental obstacle to assuming leadership responsibility [8]. Our theoretical model posits that servant leaders are positive role models that instill in followers an attractive conception of being a leader. However, we assume that followers’ implicit conception of an ideal leader (i.e., ideal leader prototype) affects the strength of this relation. Furthermore, we introduce follower core self-evaluations [9] as an additional intermediate mechanism through which servant leadership impacts followers and which we describe in more detail below.
A second aim of our research relates to measurement adaption. Specifically, we use the 28-item servant leadership questionnaire developed by Liden, Wayne, Zhao and Henderson [10] and adapt it for use in German-speaking countries. Not only is servant leadership still measured with somewhat different instruments (see [7] for a more detailed discussion of this issue), but at the same time, research on servant leadership is also becoming more and more international. Thus, the availability of different psychometrically valid servant leadership measures for use in different cultural contexts will enable researchers to compare result patterns not only across cultures, but also across different measurement approaches
2. Servant Leadership as a Pathway to Reduced Leadership Avoidance
In the present research, we build upon and seek to extend prior evidence showing that servant leaders stimulate serving behaviors among their followers [3,5]. However, besides fostering a serving culture and stimulating followers to prioritize service quality, we posit that servant leaders also instill in followers a positive and attractive conception of being a leader. This means that followers come to view leadership responsibility as an attractive challenge instead of being deterred from fear of failure and expectations of pressure and stress [8]. In fact, an important premise of servant leadership theory is that servant leaders are particularly likely to become attractive role models for their followers due to their unique concern for others and strong ethics [2]. Thus, drawing on processes related to vicarious and observational learning [11], we propose a direct link between servant leadership and followers’ inclination to be less skeptical and averse to assuming leadership responsibilities themselves. Accordingly, we specified the following hypothesis:
Hypothesis 1:
Servant leadership is negatively linked to followers’ avoidance of leadership (i.e., finding leadership responsibility daunting).
However, we propose that this relationship is not adequately conceptualized solely as a direct effect and several intervening mechanisms need to be considered. First, we draw on leader categorization theory [12] and hypothesize that followers’ responses to servant leadership are considerably influenced by the degree to which leaders display what followers believe to be the qualities of an ideal leader (i.e., ideal leader prototype, see [13]). That said, it is plausible that the tendency of followers to develop a positive and desirable conception of leadership responsibility is partially dependent on whether they perceive their leader to match their ideal leader prototype [2]. Therefore, we specified the following prediction:
Hypothesis 2:
The direct link between servant leadership and reduced leadership avoidance is moderated by followers’ ideal leader prototype. The more followers perceive their leader to match their ideal leader prototype, the stronger the effect of servant leadership will be on followers’ reduced leadership avoidance.
Second, besides the moderation effect pertaining to the ideal leader prototype, we propose a series of intermediate mechanisms in our framework. Our overall model is depicted in Figure 1, which represents a larger process that starts with servant leadership and culminates in followers’ reduced leadership avoidance. First, following Felfe et al. [8], the most proximal antecedent to the avoidance of leadership is a lack of genuine motivation to lead. Second, we contend that motivation to lead represents a function of specific internal resources on the part of followers, most notably a sense of self-worth and ability [9]. These resources, in turn, have been consistently described as an outcome of supportive and ethically positive leadership in the literature. In what follows, we delineate the theoretical rationale for the various links in our proposed model in more detail.
Figure 1.
Predicted model linking servant leadership to followers’ leadership avoidance. MLT = motivation to lead. The dashed lines represent additional paths that were tested as part of the partial mediation model.
In the proposed framework, the immediate precursor of leadership avoidance is a lack of motivation to lead. Chan and Drasgow [14] described motivation to lead as an individual’s preference to strive for a leadership role or position, which is reflected in three dimensions. First, the affective-identity component of motivation to lead suggests that a person considers oneself as having intrinsic leadership qualities and thus simply enjoys leading others. Second, the social-normative aspect is characterized by experiencing a sense of duty and obligation to lead. Third, the non-calculative aspect accounts for people who neglect the personal costs of leading in their decision. In our approach, we focus on the affective component because previous research has consistently identified it as the most influential predictor for leadership potential (e.g., [14]) and career ambitions [8,15]. Moreover, we focus on the non-calculative aspect because it reflects, to some extent, a non-egocentric attitude and is thus somewhat consistent with the humble attitude of servant leaders [16]. In fact, individuals scoring high on this dimension are not genuinely concerned with their own interests when it comes to striving for or accepting a leadership role. Prior research has provided solid empirical evidence for the inherent, negative link between the motivation to lead and leadership avoidance [8]. In line with this, we developed the following hypothesis:
Hypothesis 3:
Motivation to lead (affective and non-calculative) is negatively related to leadership avoidance.
Next, we build on Liden, Panaccio et al. [2] and introduce followers’ core self-evaluations [9] as a mechanism through which servant leadership is assumed to positively influence followers’ motivation to lead.
The Mediating Role of Core Self-Evaluations
The concept of core self-evaluations (CSE) is generally described as a broad, integrative trait consisting of self-esteem, generalized self-efficacy, locus of control and emotional stability [9]. As Liden, Panaccio et al. [2] point out, servant leadership appears as particularly suitable to foster the self-esteem (i.e., the appraisal of self-worth) and self-efficacy (i.e., the appraisal of one’s ability to successfully complete tasks and reach goals) components. In fact, by showing genuine concern for followers’ needs and by standing back and giving them support and credit, servant leaders consistently demonstrate confidence in their followers and signal that they are worthy and capable individuals. Moreover, servant leaders empower their followers and provide opportunities to use and develop their talents and skills. This helps followers to solve problems at work autonomously and successfully and, thus, more generally allows for experiences of success and achievement. Such experiences, in turn, likely convey to followers a sense of control and influence over outcomes (i.e., locus of control), helping them also to feel more calm and secure in challenging situations (i.e., emotional stability).
Next, we argue that followers’ core self-evaluations positively relate to their motivation to lead and, thus, eventually, to lower levels of leadership avoidance. Support for this notion comes from theoretical as well empirical work on core self-evaluations showing that the effects of core self-evaluations on individuals’ psychological functioning and behaviors are best described through an approach/avoidance framework [17]. According to this perspective, most human experiences differ with regard to their sensitivity to positive or negative information [18]. Thus, personality traits reflect distinct temperaments depending on whether the focus is on approaching pleasurable opportunities (i.e., positive stimuli) or avoiding unfavorable, painful experiences (i.e., negative stimuli). Since its introduction, core self-evaluation (with its focus on self-worth, feeling secure, competent and in charge) has been consistently linked to both the adoption of approach goals [19] and the avoidance of threats [20]. More recently, Ferris et al. [21] conducted two studies with students as well as dyads from the working context and found core self-evaluations to foster positive outcomes (such as organizational citizenship behavior and reduced levels of workplace deviance) through both high approach tendencies and low avoidance tendencies.
With the above processes in mind, we argue that followers with high core self-evaluations are more sensitive to positive aspects and experiences when interacting with and observing their leader. In turn, they are less likely to notice and emphasize problematic and overly demanding leadership experiences. Taken together, it is plausible that more approach-oriented individuals think more positively about the challenges associated with a leadership role, focus more on the opportunities (i.e., affective motivation to lead) and are less concerned about potential personal costs (i.e., non-calculative motivation to lead). Against this background, we specified the following prediction:
Hypothesis 4:
The relationship between servant leadership and motivation to lead (affective and non-calculative) is mediated by followers’ core self-evaluations.
3. Method
3.1. Participants and Procedure
For the purpose of our research, we conducted a two-wave online study in the German health care sector. Specifically, we collected publicly available e-mail-addresses from four German university hospitals by searching the homepage of clinics, medical centers and specialized institutes related to medical treatment and research as well as centralized service departments related to management and support topics of hospitals. Data were collected at two times separated by about eight weeks to allow us to reduce common method bias [22].
Overall 6243 potential respondents were contacted via e-mail out of which 815 (13.1%) accessed the online survey. The introductory letter explained the purpose of the study, provided assurances of confidentiality and informed respondents that participation in this study was strictly voluntary. Overall, 504 participants completed the survey and provided data on perceived servant leadership and ideal leader prototype. Responses from seven participants were eliminated due to missing data, resulting in a sample of 497 participants at Time 1 (i.e., 8% response rate).
Approximately eight weeks later, the 497 respondents who participated at Time 1 were asked to complete an online survey measuring core self evaluations, motivation to lead, and leadership avoidance. Five out of 227 participants provided invalid responses, resulting in a total of 222 matched usable surveys at Time 2 (i.e., 3.5% response rate).
3.2. Sample
The overall sample that was used in the present research can be divided into two sub-samples. Sub-sample 1 (N = 275) covers the respondents who participated exclusively at Time 1 and did not complete the survey at Time 2. Subsample 2 (N = 222) refers to those participants, who filled in the survey both at Time 1 and Time 2.
In sub-sample 1, 67% of the respondents were female. In terms of age, the distribution was as follows: 20.4% were 20–29 years, 41.8% were between 30–39 years, 21.1% were 40–49, 14.9% between 50–59, and 1.8% were above 60 years old. With regard to tenure, 50% had been working for less than five years in their current organization (8.7% less than one year, 45.5% more than one and less than five years; 20.0% less than 10 years and 25.5% more than 10 years). Most participants in sample 1 were physicians (40.4%), 20% were nursing or medical technical assistants, and 8.4% worked in central and administrative services (other professions: 30%).
In subsample 2, 71% of the respondents were female. Between 14.9% were 20–29 years, 34.7% were 30–39 years, 22.5% were 40–49 years, 24.3% were 50–59 years, and 3.2% were above 60 years old. For more than 50% of the respondents, organizational tenure was over five years (4.1% less than one year, 37.4% more than one and less than five years; 18.9% less than 10 years and 39.2% longer than 10 years). With regard to the occupational background, the two major groups were physicians and nursing or medical technical assistants (23% each). Nine percent worked in central and administrative services (other professions: 45%).
3.3. Measures
Unless otherwise indicated, all scales used in our study were anchored with a response format ranging from 1 (strongly disagree) to 5 (strongly agree).
Servant leadership was measured at Time 1 by using the 28-item scale developed by Liden et al. [10]. Since no German version was available, we followed the guidelines by Brislin [23] and adapted the original items for the use in German-speaking samples (the translated items can be obtained from the first author of this study).
To measure ideal leader prototype we adopted an item from Van Quaquebeke et al. [24]. Participants were asked to respond to the following question: “To what degree does your current leader match your conception of an ideal leader”. The item was included at Time 1 and responses were given on a five-point scale ranging from 1 (not all all) to 5 (very well).
Core self-evaluations were assessed at Time 2 with the German adaptation [25] of the core self-evaluations scale developed by Judge and colleagues [9]. Sample items include “I complete tasks successfully” (i.e., self-efficacy), “I determine what will happen in my life“(i.e., locus of control), “Overall, I am satisfied with myself” (i.e., self-esteem), and “Sometimes I feel depressed” (i.e., emotional stability, reverse coded).
Motivation to lead was measured by using four items for the affective dimension and four items for the non-calculative dimension taken from the scale developed by Chan and Drasgow [14] and adapted by Felfe and colleagues [8]. This measure was included in Time 2. Sample items were “I am the type of person who likes to be in charge of others” (i.e., affective motive) and “I am only interested to lead a group if there are clear advantages for me (i.e., non-calculative motive, reverse coded).
Avoidance of leadership was captured at Time 2 by using three items developed by Felfe et al. [8]. A sample item was: “The pressure that comes with a leadership role is daunting to me”.
4. Results
4.1. Measures
First, we applied confirmatory factor analysis (CFA) by using the software MPLUS 6 [26] and tested the factorial validity of the newly adapted servant leadership measure. In two separate samples (i.e., subsample 1 and 2), we compared three factor models. The first model was a one-factor model in which all 28 items were loaded on one single servant leadership factor. The second was a first-order factor model in which items loaded onto their respective factors and the seven factors were allowed to correlate. The third was a second-order factor model in which items were loaded onto their respective factors and the seven factors were loaded on a second-order latent servant leadership factor. The results of this analysis are shown in Table 1. They indicate that the adapted measure is best represented by seven related facets describing different attributes of servant leadership (We also tested the factor structure of the seven-item short form [27], obtaining excellent psychometric properties. The detailed results can be requested from the first author of this study.)
Table 1.
Results of confirmatory factor analyses for the servant leadership measure.
Next, we conducted CFA to assess the integrity of the measurement model underlying our hypotheses tests in subsample 2. Given the relatively large number of parameters in the proposed model and the relatively small sample size, we used item parcels as indicators for some latent constructs. Specifically, for servant leadership, seven parcels were created based on the preexisting dimensions [10]. The same procedure was applied for core self-evaluations and we created four parcels representing the components of core self-evaluations (i.e., self-esteem, self-efficacy, locus of control, emotional stability). For the remaining latent variables (i.e., affective and non-calculative motivation to lead as well as leadership avoidance), items were used as indicators since these measures consisted of three to four items only. Results showed that the hypothesized five-factor model fit the data well (χ2 = 328.96, df = 199, p < 0.001, χ2/df = 1.65, CFI = 0.95, TLI = 0.95, RMSEA = 0.05). Next, we compared this model with two alternative models in order to establish discriminant validity. First, we tested the fit of a single-factor model in which all indicators were loaded onto a single factor. This procedure yielded a fairly poor model fit (χ2 = 1791.54, df = 209, p < 0.001, χ2/df = 8.57, CFI = 0.43, TLI = 0.37, RMSEA = 0.19) which was clearly inferior to the fit of the five-factor model (Δχ2(10) = 1462.58 p < 0.001). Second, the proposed five-factorial model was preferable over a three-factor model in which all motivation to lead and leadership avoidance indicators were covered by a single factor (χ2 = 1052.32, df = 206, p < 0.001, χ2/df = 5.11, CFI = 0.69, TLI = 0.66, RMSEA = 0.14, Δχ2(7) = 723.36, p < 0.001). In summary, the revealed pattern supports our measures’ utility to capture the target constructs under investigation.
4.2. Hypotheses Tests
Table 2 presents the descriptive statistics, internal consistency reliabilities, and correlations among the study variables. In order to test our hypotheses in detail, we conducted structural equation modeling (SEM) in MPLUS. The results of this analysis are depicted in Figure 2.
Table 2.
Descriptive statistics and correlations.
Figure 2.
Estimated regression coefficients for the predicted model. * p < 0.05, *** p < 0.001, MLT = motivation to lead. The dashed lines represent non-significant paths. Affective and non-calculative MTL were allowed to correlate (factor correlation = −0.32, p < 0.001).
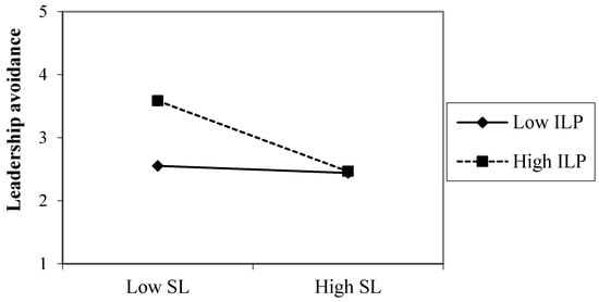
Surprisingly, servant leadership was positively related to leadership avoidance (β = 0.16, p < 0.05), which is in contrast to Hypothesis 1. To test the proposed moderating role of the ideal leader prototype in this link, we conducted a regression analysis using the Process macro for SPSS [28]. This analysis revealed a significant servant leadership × ideal leader prototype interaction with b = −0.22, p < 0.01, 95% CI [−0.33, −0.10]. The direction of the moderation effect is in the expected direction. Thus Hypothesis 2 was confirmed. To visualize the nature of the revealed effect we followed the procedures developed by Dawson [29] and plotted the interaction (Figure 3). The revealed pattern indicates that servant leadership is more likely to reduce leadership avoidance when the ideal leader prototype is high, but not at lower levels.
Figure 3.
The moderating role of ideal leader prototype. SL = servant leadership, ILP = ideal leader prototype.
Hypothesis 3 stated a negative relationship between the motivation to lead and leadership avoidance. As shown in Figure 2, both the affective component (β = −0.56, p < 0.001) and the non-calculative component (β = −0.23, p < 0.001) had a negative effect. Therefore, Hypothesis 3 was confirmed.
Furthermore, in line with our expectations, servant leadership was positively related to core self-evaluations (β = 0.32, p < 0.001), which in turn predicted the affective (β = 0.32, p < 0.001) and the non-calculative (β = 0.17, p < 0.05) components of the motivation to lead. In order to test the specific indirect effect from servant leadership on motivation to lead through core self-evaluations, bootstrapping (with 10,000 bootstrap samples) was used to create a bias-corrected confidence interval (CI) for the indirect effect. The specific indirect effect was 0.10%, 95% CI [0.037, 0.168] for affective motivation to lead, and for non-calculative motivation to lead, it was 0.05, 95% CI [0.001, 0.108]. This pattern confirms that in our data, core self-evaluations fully mediated the relationship between servant leadership and motivation to lead. Thus, Hypothesis 4 was confirmed.
5. Discussion
Our study set out to explore the mechanisms through which servant leadership may impact followers’ inclinations to become leaders themselves. We proposed that servant leaders represent strong role models conveying to followers the message that leading others represents an attractive and desirable responsibility. Surprisingly, we found a small but positive and statistically significant effect of servant leadership on followers’ leadership avoidance. This pattern is partially in line with prior research indicating that features of constructive leadership may sometimes have counterintuitive or even negative outcomes [30]. Indeed, in our data, followers seem to react somewhat cautiously to leaders who consistently place the good of followers over their own self-interests. Thus, they may come to view the standards of being a leader as highly demanding and, to some degree, even daunting. In an effort to shed light on this pattern, we investigated followers’ implicit perceptions of an ideal leader (i.e., ideal leader prototype) and identified it as an important boundary condition for the proposed main effect. Specifically, we found that servant leadership reduced leadership avoidance among followers when the congruence with the ideal leader prototype was high. In contrast, servant leadership had no meaningful impact on followers at low levels of congruence. This partially reflects the results reported by Meuser, Liden, Wayne and Henderson [31]. In their study, servant leadership was found to predict follower performance and organizational citizenship behavior more effectively when followers desired this type of leadership.
With regard to the proposed mediation effects, we found considerable support for core self- evaluations and affective motivation to lead as the central mechanisms linking servant leadership to less leadership avoidance. In contrast, non-calculative motivation to lead appeared as less influential in this regard. From this pattern we draw two conclusions. First, our study expands initial evidence for a positive relationship between servant leadership and followers’ core-self evaluations [32] and provides strong empirical support for Liden, Panaccio et al.’s notion of core-self evaluations as an essential explanatory mechanism for the effects of servant leadership. In terms of motivation to lead, core self-evaluations seem particularly functional in fostering positive affects about leading others, whereas they only marginally explain followers’ calculative considerations about leadership (i.e., costs of leading relative to the benefits). Second, in line with prior research, the affective dimension of motivation to lead seems the most effective in lowering leadership avoidance relative to the non-calculative dimension (e.g., [8,33]). Notably, with our results, we replicated this pattern in the health care context where previous studies did not account for this differentiation so far (e.g., [34]).
In summary, our results contribute to servant leadership research in several ways. The literature on servant leadership agrees that theoretical development in the field is still at an early stage (e.g., [2,7,35]). Thus, understanding how servant leadership works and how it relates to outcomes represents an important priority. The main contribution of the present study is the examination of a central assumption in the servant leadership philosophy, namely that servant leaders fuel the leadership fire in followers. Specifically, the inclusion of specific intervening mechanisms (i.e., moderator and mediator variables) enables us to untangle when and under what circumstances the proposed relationship is more likely to appear.
Another major empirical contribution of the present effort is the presentation of a psychometrically sound version of Liden et al.’s [10] measure for use in German-speaking samples. With this, we expand the cross-cultural applicability of servant leadership and promote research in more international contexts.
Besides the above theoretical implications, our study provides practical implications as well. In line with prior conclusions on the practical value of servant leadership, our findings suggest that servant leadership is instrumental in promoting follower self-actualization. More importantly, however, it follows that the effectiveness of mentoring programs aimed at leadership development and succession planning can be improved further by incorporating training in servant leadership skills. Here, our results highlight the importance of followers’ implicit leadership preferences. Of course, leaders can change followers’ preferences very little. However, following Liden, Panaccio et al. [2], we suggest that when leaders take the time and are empathic and sensitive to the needs of followers, they can identify individual and tailor-made ways to serve their followers. This, in turn, is likely to establish more congruence between the displayed and the expected leader behaviors, and thus will eventually result in positive follower responses.
6. Limitations and Future Research
Despite its contributions, our study is not without limitations, most notably the cross-sectional data used for testing our hypotheses. In cross-sectional designs, causality is not clear, and in our case, given the close interaction between leaders and followers, causation might be reciprocal. It is, for instance, conceivable that followers with a high motivation to lead receive more attention and support from their leaders. Thus, although complex and difficult to undertake, future research would strongly benefit from longitudinal studies on the effects of servant leadership, ideally including repeated measures from newcomers in organizations or teams.
A second limitation is the relatively small sample size and the exclusive focus on the health care context. On the one hand, this certainly limits the generalizability of our results across populations; on the other hand, it enhances our confidence that our results can be generalized to other fields in health care and, to a limited degree, to other service settings. Nonetheless, future research should replicate our study by using more diverse settings and larger samples.
A third issue, one that is both a limitation and, we believe, a strength, is the focus on motivation to lead and leadership avoidance as focal outcome variables. This is a strength because motivation to lead represents a strong proxy for assuming responsibility and eventually realizing one's full potential. On the other hand, it is a weakness because motivation to lead is not sufficient for developing servant leaders. In fact, according to Van Dierendonck [7], servant leadership combines the motivation to lead with a need or a motivation to serve. Interestingly, Ng, Koh and Goh [36] found no correlation between leaders’ need to serve and their affective motivation to lead. Thus, future research should adapt the scale developed by Ng et al. [36] and assess followers’ needs to serve as an outcome of perceived servant leadership.
Fourth, in our study we included followers’ general conceptions of an ideal leader (i.e., leader prototype). Although we found a high correlation between this measure and actually perceived servant leadership behaviors (r = 0.86), we realize that this conceptualization is different from the genuine servant leadership prototype [2]. The servant leadership prototype refers to the degree to which the followers’ ideal leader prototype is consistent with servant leadership theory. Thus, future research should enlarge our approach and explicitly ask respondents whether and to what degree they desire a leader who engages in servant leadership behaviors.
Author Contributions
Martin Lacroix conceived and designed the study, performed the data collection and the data analysis; Armin Pircher Verdorfer contributed to the data analysis; both authors contributed equally to the writing of the paper.
Conflicts of Interest
The authors declare no conflict of interest.
References
- Greenleaf, R.K. Servant-Leadership: A Journey into The Nature of Legitimate Power and Greatness; Paulist Press: New York, NY, USA, 1977. [Google Scholar]
- Liden, R.C.; Panaccio, A.; Hu, J.; Meuser, J.D. Servant leadership: Antecedents, consequences, and contextual moderators. In The Oxford Handbook of Leadership and Organizations; Day, D.V., Ed.; Oxford University Press: Oxford, UK, 2014; pp. 357–379. [Google Scholar]
- Walumbwa, F.O.; Hartnell, C.A.; Oke, A. Servant leadership, procedural justice climate, service climate, employee attitudes, and organizational citizenship behavior: A cross-level investigation. J. Appl. Psychol. 2010, 95, 517–529. [Google Scholar] [CrossRef] [PubMed]
- Schneider, B.; Ehrhart, M.G.; Mayer, D.M.; Saltz, J.L.; Niles-Jolly, K. Understanding organization-customer links in service settings. AMJ 2005, 48, 1017–1032. [Google Scholar] [CrossRef]
- Liden, R.C.; Wayne, S.J.; Liao, C.; Meuser, J.D. Servant leadership and serving culture: Influence on individual and unit performance. AMJ 2014, 57, 1434–1452. [Google Scholar] [CrossRef]
- Sendjaya, S. Personal and Organizational Excellence through Servant Leadership; Springer: Dordrecht, The Netherlands, 2015. [Google Scholar]
- Van Dierendonck, D. Servant leadership: A review and synthesis. J. Manag. 2011, 37, 1228–1261. [Google Scholar] [CrossRef]
- Felfe, J.; Elprana, G.; Gatzka, M.; Stiehl, S. Instrument Zur Erfassung Von Führungsmotivation [Instrument to Assess Motivation to Lead]; Hogrefe: Göttingen, Germany, 2012. [Google Scholar]
- Judge, T.A.; Erez, A.; Bono, J.E.; Thoresen, C.J. Are measures of self-esteem, neuroticism, locus of control, and generalized self-efficacy indicators of a common core construct? J. Personal. Soc. Psychol. 2002, 83, 693–710. [Google Scholar] [CrossRef] [PubMed]
- Liden, R.C.; Wayne, S.J.; Zhao, H.; Henderson, D. Servant leadership: Development of a multidimensional measure and multi-level assessment. Leadersh. Q. 2008, 19, 161–177. [Google Scholar] [CrossRef]
- Bandura, A. Social Learning Theory; Prentice Hall: Englewood Cliffs, NJ, USA, 1977. [Google Scholar]
- Lord, R.G. An information processing approach to social perceptions, leadership perceptions and behavioral measurement in organizational settings. In Research in Organizational Behavior; Staw, B.M., Cummings, L.L., Eds.; JAI Press: Greenwich, CT, USA, 1985; pp. 85–128. [Google Scholar]
- Van Quaquebeke, N.; Graf, M.M.; Eckloff, T. What do leaders have to live up to? Contrasting the effects of central tendency versus ideal-based leader prototypes in leader categorization processes. Leadership 2014, 10, 191–217. [Google Scholar]
- Chan, K.Y.; Drasgow, F. Toward a theory of individual differences and leadership: Understanding the motivation to lead. J. Appl. Psychol. 2001, 86, 481–498. [Google Scholar] [CrossRef] [PubMed]
- Felfe, J.; Schyns, B. Romance of leadership and motivation to lead. J. Manag. Psychol. 2014, 29, 850–865. [Google Scholar] [CrossRef]
- Pircher Verdorfer, A. Examining Mindfulness and Its Relations to Humility, Motivation to Lead, and Actual Servant Leadership Behaviors. Mindfulness 2016, 7, 950–961. [Google Scholar] [CrossRef]
- Chang, C.; Ferris, D.L.; Johnson, R.E.; Rosen, C.C.; Tan, J.A. Core self-evaluations a review and evaluation of the literature. J. Manag. 2012, 38, 81–128. [Google Scholar] [CrossRef]
- Elliot, A.J.; Thrash, T.M. Approach-avoidance motivation in personality: Approach and avoidance temperaments and goals. J. Personal. Soc. Psychol. 2002, 82, 804–818. [Google Scholar] [CrossRef] [PubMed]
- Judge, T.A.; Bono, J.E.; Erez, A.; Locke, E.A. Core self-evaluations and job and life satisfaction: The role of self-concordance and goal attainment. J. Appl. Psychol. 2005, 90, 257–268. [Google Scholar] [CrossRef] [PubMed]
- Srivastava, A.; Locke, E.A.; Judge, T.A.; Adams, J.W. Core self-evaluations as causes of satisfaction: The mediating role of seeking task complexity. J. Vocat. Behav. 2010, 77, 255–265. [Google Scholar] [CrossRef]
- Ferris, D.L.; Rosen, C.R.; Johnson, R.E.; Brown, D.J.; Risavy, S.D.; Heller, D. Approach or avoidance (or both?): Integrating core self-evaluations within an approach/avoidance framework. Pers. Psychol. 2011, 64, 137–161. [Google Scholar] [CrossRef]
- Podsakoff, P.M.; MacKenzie, S.B.; Lee, J.Y.; Podsakoff, N.P. Common method biases in behavioral research: A critical review of the literature and recommended remedies. J. Appl. Psychol. 2003, 88, 879–903. [Google Scholar] [CrossRef] [PubMed]
- Brislin, R.W. Translation and content analysis of oral and written material. In Handbook of Cross-Cultural Psychology; Triandis, H.C., Berry, J.W., Eds.; Allyn & Bacon: Boston, MA, USA, 1980; pp. 389–444. [Google Scholar]
- Van Quaquebeke, N.; Van Knippenberg, D.; Brodbeck, F.C. More than meets the eye: The role of subordinates’ self-perceptions in leader categorization processes. Leadersh. Q. 2011, 22, 367–382. [Google Scholar] [CrossRef]
- Stumpp, T.; Muck, P.M.; Hülsheger, U.R.; Judge, T.A.; Maier, G.W. Core self-evaluations in Germany: Validation of a German measure and its relationships with career success. Appl. Psychol. 2010, 59, 674–700. [Google Scholar] [CrossRef]
- Muthen, L.K.; Muthen, B.O. MPlus User’s Guide, 5th ed.; Muthén & Muthén: Los Angeles, CA, USA, 1998–2007; p. 676. [Google Scholar]
- Liden, R.C.; Wayne, S.J.; Meuser, J.D.; Hu, J.; Wu, J.; Liao, C. Servant leadership: Validation of a short form of the SL-28. Leadersh. Q. 2015, 26, 254–269. [Google Scholar] [CrossRef]
- Hayes, A.F. Moderation & Conditional Process Analysis. Introduction to Mediation, 1st ed.; Guilford Press: New York, NY, USA, 2013. [Google Scholar]
- Dawson, J.F. Moderation in management research: What, why, when and how. J. Bus. Psychol. 2014, 29, 1–19. [Google Scholar] [CrossRef]
- Pierce, J.R.; Aguinis, H. The too-much-of-a-good-thing effect in management. J. Manag. 2013, 39, 313–338. [Google Scholar] [CrossRef]
- Meuser, J.D.; Liden, R.C.; Wayne, S.J.; Henderson, D.J. Is servant leadership always a good thing? The moderating influence of servant leadership prototype. In Proceedings of the Paper Presented at the Meeting of the Academy of Management, San Antonio, TX, USA, August 2011.
- Tischler, L.; Giambatista, R.; McKeage, R.; McCormick, D. Servant leadership and its relationships with core self-evaluation and job satisfaction. J. Values-Based Leadersh. 2016, 9, 8. [Google Scholar]
- Popper, M.; Amit, K.; Gal, R.; Mishkal-Sinai, M.; Lisak, A. The capacity to lead: Major psychological differences between leaders and nonleaders. Mil. Psychol. 2004, 16, 245–263. [Google Scholar] [CrossRef]
- Mascia, D.; Dello Russo, S.; Morandi, F. Exploring professionals’ motivation to lead: A cross-level study in the healthcare sector. Int. J. Hum. Resour. Manag. 2015, 26, 1622–1644. [Google Scholar] [CrossRef]
- Northouse, P.G. Leadership: Theory and Practice; Sage Publications: Thousand Oaks, CA, USA, 2013. [Google Scholar]
- Ng, K.Y.; Koh, C.; Goh, H.C. The Heart of the Servant Leader: Leader’s Motivation-to-Serve and Its Impact on LMX and Subordinates’ Extra-Role Behavior. In Knowledge Driven Corporation: Complex Creative Destruction; Graen, G.B., Graen, J.A., Eds.; Information Age Publishing: Charlotte, NC, USA, 2008; pp. 125–144. [Google Scholar]
© 2017 by the authors. Licensee MDPI, Basel, Switzerland. This article is an open access article distributed under the terms and conditions of the Creative Commons Attribution (CC BY) license ( http://creativecommons.org/licenses/by/4.0/).


