Mitigating Deicer-Induced Salinity Through Activated Carbon and Salt-Tolerant Grass Integration: A Case of Pennisetum alopecuroides
Abstract
1. Introduction
2. Materials and Methods
2.1. Experimental Setup
2.2. Plant and Soil Analysis
2.3. Statistical Analysis
3. Results
3.1. Soil Response Under NaCl Treatment
3.2. Soil Response Under CaCl2 Treatment
3.3. Principal Component Analysis of Soil Chemical Responses
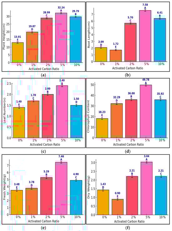
3.4. Growth Responses of Pennisetum alopecuroides to Activated Carbon Ratios Under NaCl Deicer Treatment
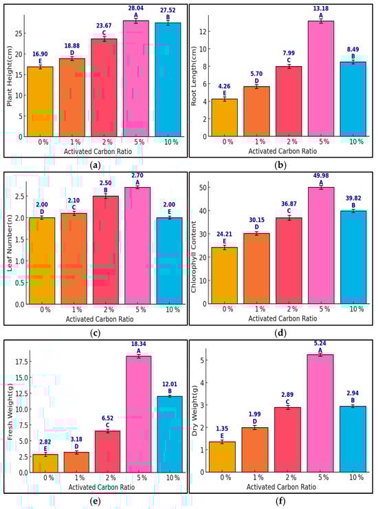
3.5. Growth Responses of Pennisetum alopecuroides to Activated Carbon Ratios Under CaCl2 Deicer Treatment
4. Discussion
5. Conclusions
Author Contributions
Funding
Data Availability Statement
Conflicts of Interest
References
- Devecchi, M.; Remotti, D. Effect of Salts on Ornamental Ground Covers for Green Urban Areas. Acta Hortic. 2004, 643, 143–150. [Google Scholar] [CrossRef]
- Devitt, D.A.; Wright, L.; Landau, F.; Apodaca, L. Deicing Salts; Assessing Distribution, Ion Accumulation in Plants and the Response of Plants to Different Loading Rates and Salt Mixtures. Environ. Nat. Resour. Res. 2014, 4, 73–88. [Google Scholar] [CrossRef]
- Wrochna, M.; Malecka-Przybysz, M.; Gawrońska, H. Effect of Road De-icing Salts with Anti-Corrosion Agents on Selected Plant Species. Acta Sci. Pol. Hortorum Cultus 2010, 9, 183–195. Available online: https://scispace.com/papers/effect-of-road-de-icing-salts-with-anti-corrosion-agents-on-3rteasqsky (accessed on 18 July 2025).[Green Version]
- Barker, A.; Cox, D.A.; Ebdon, J.S.; Bryson, G.M.; Hamlin, R.L. Deicing Salts, Salt-Tolerant Vegetation and Calcium Sulfate. Massachusetts Highway Department Research Report 2003. Available online: https://scispace.com/papers/deicing-salts-salt-tolerant-vegetation-and-calcium-sulfate-3s7thtdwcs (accessed on 18 July 2025).
- Yamamoto, Y.; Sone, S.; Kimura, K.; Namikawa, Y. Research on Environmental Impact of Spread De-icing Salts. Unpublished Technical Report, Japan. 2010. Available online: https://scispace.com/papers/research-on-environmental-impact-of-spread-de-icing-salts-325vqg9xg9 (accessed on 18 July 2025).
- Nainwal, R.C.; Chaurasiya, P.C.; Kumar, A.; Singh, M.; Singh, D.P.; Tewari, S.K. Phytoremediation: A Sustainable Approach to Combat Soil Salinity. Adv. Environ. Eng. Res. 2024, 4, 1–14. [Google Scholar] [CrossRef]
- Romantschuk, L.; Matviichuk, N.; Mozharivska, I.; Matviichuk, B.; Ustymenko, V.; Tryboi, O. Phytoremediation of Soils by Cultivation of Miscanthus × Giganteus L. and Phalaris arundinacea L. Ecol. Eng. Environ. Prot. 2024, 62, 45–58. [Google Scholar] [CrossRef]
- Praveen, A.; Pandey, V.C. Miscanthus-a Perennial Energy Grass in Phytoremediation. In Phytomanagement of Polluted Sites; Elsevier: Amsterdam, The Netherlands, 2020; pp. 67–85. [Google Scholar] [CrossRef]
- Liang, K.; Peng, X.; Liu, F. Physiological Response of Miscanthus Genotypes to Salinity stress under elevated CO2. GCB Bioenergy 2022, 14, 737–749. [Google Scholar] [CrossRef]
- Mane, A.V.; Karadge, B.A.; Samant, J.S. Salt Stress Induced Alteration in Growth Characteristics of a Grass Pennisetum alopecuroides. J. Environ. Biol. 2011, 32, 753–758. Available online: https://pubmed.ncbi.nlm.nih.gov/22471212/ (accessed on 18 July 2025). [PubMed]
- He, B.Y. Research on the Physiological Responses of Six Plants Including Pennisetum alopecuroides to BDE-209 in Soil and Their Phytoremediation Effect. J. Agro-Environ. Sci. 2012, 31, 1745–1751. Available online: https://scispace.com/papers/research-on-the-physiological-responses-of-six-plants-1p0to33jh8 (accessed on 18 July 2025).
- Mamirova, A.; Pidlisnyuk, V.; Amirbekov, A.; Ševců, A.; Nurzhanova, A. Phytoremediation potential of Miscanthus Sinensis And. in Organochlorine Pesticides-Contaminated Soil Amended with Tween 20 and Activated Carbon. Environ. Sci. Pollut. Res. 2020, 27, 1–15. [Google Scholar] [CrossRef] [PubMed]
- Hidayu, A.R.; Mohamad, N.F.; Matali, S.; Sharifah, A.S.A.K. Characterization of Activated Carbon Prepared from Oil Palm Empty Fruit Bunch Using BET and FT-IR Techniques. Procedia Eng. 2013, 68, 379–385. [Google Scholar] [CrossRef]
- Lima, S.S.A.; Lima Filho, H.J.B.; de Paiva, S.C.; Messias, A.S. Saline Waters Treatment Using Activated Carbon Filled Filter. Curr. J. Appl. Sci. Technol. 2019, 37, 1–7. [Google Scholar] [CrossRef]
- Li, S.; Li, W.; Chen, H.; Liu, F.; Jin, S.; Yin, X.; Zheng, Y.; Liu, B. Effects of Calcium Ion and pH on the Adsorption/Regeneration Process by Activated Carbon Permeable Reactive Barriers. RSC Adv. 2018, 8, 16834–16841. [Google Scholar] [CrossRef] [PubMed]
- Ghasemi, M.; Koupai, J.A.; Heidarpour, M. The Effect of Modified Zeolite, Activated Carbon and Peat with Cationic Surfactant and Sodium Hydroxide on Removing Anions from Irrigation Saline Waters. Desalin. Water Treat. 2017, 92, 196–204. [Google Scholar] [CrossRef]
- Hassan, S.; Yasin, T. Role of Tailored Surface of Activated Carbon for Adsorption of Ionic Liquids for Environmental Remediation. Int. J. Environ. Sci. Technol. 2015, 12, 2711–2722. [Google Scholar] [CrossRef]
- Mohamed, E.F.; Awad, G.; Andriantsiferana, C.; Delmas, H. Effect of Salinity and PH on the Industrial Effluent Treatment by Activated Carbon: Modeling of the Kinetic Adsorption and Equilibrium Isotherms. Environ. Manag. Sustain. Dev. 2019, 8, 77–94. [Google Scholar] [CrossRef]
- Lou, Y. Effects of Soil Salinity Accumulating and Ion Constitution on pH in the Soil of Protected Field. Agric. Res. Arid Areas 2009, 27, 16–20. Available online: https://jglobal.jst.go.jp/en/detail?JGLOBAL_ID=201002220839550068 (accessed on 18 July 2025).
- Bessaim, M.M.; Missoum, H.; Bendani, K.; Laredj, N.; Bekkouche, M.S. Sodic-Saline Soil Remediation by Electrochemical Treatment under Uncontrolled pH Conditions. Arab. J. Geosci. 2020, 13, 199. [Google Scholar] [CrossRef]
- Setia, R.; Rengasamy, P.; Marschner, P. Effect of Exchangeable Cation Concentration on Sorption and Desorption of Dissolved Organic Carbon in Saline Soils. Sci. Total Environ. 2013, 465, 226–232. [Google Scholar] [CrossRef] [PubMed]
- Li, X.; Wang, X.; Zhao, Q.; Wan, L.; Li, Y.; Zhou, Q. Carbon Fiber Enhanced Bioelectricity Generation in Soil Microbial Fuel Cells. Biosens. Bioelectron. 2016, 85, 135–141. [Google Scholar] [CrossRef] [PubMed]
- Song, X.; Li, H.; Song, J.-B.; Chen, W.; Shi, L. Biochar/Vermicompost Promotes Hybrid Pennisetum Plant Growth and Soil Enzyme Activity in Saline Soils. Plant Physiol. Biochem. 2022, 183, 96–110. [Google Scholar] [CrossRef] [PubMed]
- He, K.; Xu, Y.; He, G.; Zhao, X.; Wang, C.; Li, S.; Zhou, G.; Hu, R. Combined Application of Acidic Biochar and Fertilizer Synergistically Enhances Miscanthus Productivity in Coastal Saline-Alkaline Soil. Sci. Total Environ. 2023, 893, 164811. [Google Scholar] [CrossRef] [PubMed]
- Wu, F.; Chen, X.; Brouwers, H.J.H. Application of Miscanthus to Enhance Plant Growth Adaptability of Bio-Based Vegetal Concrete. Constr. Build. Mater. 2024, 425, 136096. [Google Scholar] [CrossRef]
- Chen, M.; Wang, D.; Chen, T.S.; Kang, A.P.; Liu, Y.; Wang, B. Effects of Phosphorus Nutrition on Growth, Photosynthesis, and Ion Accumulation of Energy Plant Hybrid Pennisetum Seedlings under Salinity. Adv. Mater. Res. 2013, 726–731, 4362–4370. [Google Scholar] [CrossRef]
- Mane, A.V.; Karadge, B.A.; Samant, J.S. Salt Stress Induced Alteration in Photosynthetic Pigments and Polyphenols of Pennisetum Alopecuroides (L.). J. Ecophysiol. Occup. Health 2010, 10, 177–182. [Google Scholar]
- van der Cruijsen, K.; Vanparys, V.; Suárez-González, M.; Verbruggen, N.; De Coninck, B. Salt Stress Alters the Cell Wall Components and Structure in Miscanthus sinensis Stems. Physiol. Plant. 2024, 172, e14430. [Google Scholar] [CrossRef] [PubMed]
- Danh, L.T.; Truong, P.; Mammucari, R.; Tran, T.; Foster, N. Vetiver Grass, Vetiveria zizanioides: A Choice Plant for Phytoremediation of Heavy Metals and Organic Wastes. Int. J. Phytoremediat. 2009, 11, 664–691. [Google Scholar] [CrossRef] [PubMed]
- Liu, Y.; Li, X.; Liu, M.; Cao, B.; Tan, H.; Wang, J.; Li, X. Responses of three different ecotypes of reed (Phragmites communis Trin.) to their natural habitats: Leaf surface micro-morphology, anatomy, chloroplast ultrastructure and physio-chemical characteristics. Plant Physiol. Biochem. 2012, 51, 159–167. [Google Scholar] [CrossRef] [PubMed]
- Doszhanov, Y.; Sabitov, A.; Saurykova, K.; Mansurov, Z.A.; Kurmanbaeva, M.S.; Doszhanov, O.M.; Atamanov, M. Production and Optimization of Activated Carbon from Plant Waste with High Specific Surface Area for Moisture-Saving Applications in Agriculture. Goren. I Plazmohimiâ 2024, 22, 159–167. [Google Scholar] [CrossRef]
- Eom, J.-S.; Pros, K.; Kim, K.-S.; Kim, Y.-G.; Lee, J.-S.; Na, H.-S.; Cho, H.-J.; Shim, J.; Han, G.-H. Differential Reponses of Electrical Conductivity and Chloride Concentration in Soil and Plant Extracts to Chemical and Organic Fertilizations in Salt-Affected Greenhouses. Korean J. Soil. Sci. Fertil. 2022, 55, 239–245. [Google Scholar] [CrossRef]
- Hammde, L.; Sulieman, A. Effect of NaCl Saline Irrigation Water on Soil Salinity. Nat. Appl. Sci. Ser. 2020, 2, 31–52. Available online: https://ejournal.mutah.edu.jo/index.php/NASS/article/view/1827 (accessed on 18 July 2025).
- Fan, Q.F.; Zhang, Y.L.; Chen, Z. Effects of Protected Field Vegetable Cultivation on Soil Salinity Accumulating and pH. J. Soil Water Conserv. 2009, 1, 103–106. Available online: https://scispace.com/papers/effects-of-protected-field-vegetable-cultivation-on-soil-3ac718jhrc (accessed on 18 July 2025).
- El-Agrodi, M.W.M.; Ahmed, G.L.; El-Hamad, M.A. Effect of Different Soil Salinity Levels on Some Soil Properties and Wheat Plant. J. Soil. Sci. Agric. Eng. 2012, 3, 175–188. [Google Scholar] [CrossRef]
- Papadopoulos, I.; Rendig, V.V. Tomato Plant Response to Soil Salinity1. Agron. J. 1983, 75, 696–700. [Google Scholar] [CrossRef]
- Trajkova, F.; Papadantonakis, N.; Savvas, D. Comparative Effects of NaCl and CaCl2 Salinity on Cucumber Grown in a Closed Hydroponic System. HortScience 2006, 41, 437–441. [Google Scholar] [CrossRef]
- Ayad, J.Y. Comparative Effects of CaCl2 and NaCl Salinity on Growth and Ion Partitioning of Atriplex halimus L. Dirasat Shari’a Law Sci. 2010, 37, 82–90. Available online: https://archives.ju.edu.jo/index.php/law/article/view/2112 (accessed on 18 July 2025).
- Bernstein, N. Plants and Salt: Plant Response and Adaptations to Salinity. In Plant Stress Physiology; Academic Press: Cambridge, MA, USA, 2019; pp. 101–112. [Google Scholar] [CrossRef]
- Pätsch, R.; Midolo, G.; Dítě, Z.; Dítě, D.; Wagner, V.; Pavonič, M.; Danihelka, J.; Preislerová, Z.; Ćuk, M.; Stroh, H.G.; et al. Beyond Salinity: Plants Show Divergent Responses to Soil Ion Composition. Glob. Ecol. Biogeogr. 2024, 33, e13821. [Google Scholar] [CrossRef]
- Clay, S.A. Benefits of Phytoremediation When Repairing Salt-Affected Soils. In Salinity and Sodicity: A Global Challenge to Food Security, Environmental Quality and Soil Resilience; ASA, CSSA, SSSA Book Series; American Society of Agronomy, Inc.: Madison, WI, USA, 2024; pp. 93–97. [Google Scholar] [CrossRef]
- Hilber, I.; Bucheli, T.D. Activated Carbon Amendment to Remediate Contaminated Sediments and Soils: A Review. Glob. Nest J. 2010, 12, 305–317. [Google Scholar] [CrossRef]
- Amini, S.; Ghadiri, H.; Chen, C.; Marschner, P. Salt-Affected Soils, Reclamation, Carbon Dynamics, and Biochar: A Review. J. Soils Sediments 2016, 16, 939–953. [Google Scholar] [CrossRef]
- Jesus, J.M.; Danko, A.S.; Fiúza, A.; Borges, M.T. Phytoremediation of Salt-Affected Soils: A Review of Processes, Applicability, and the Impact of Climate Change. Environ. Sci. Pollut. Res. 2015, 22, 6511–6525. [Google Scholar] [CrossRef] [PubMed]
- Imadi, S.R.; Shah, S.W.; Kazi, A.G.; Azooz, M.M.; Ahmad, P. Phytoremediation of Saline Soils for Sustainable Agricultural Productivity. In Plant Metal Interaction; Elsevier: Amsterdam, The Netherlands, 2016; pp. 455–468. [Google Scholar] [CrossRef]
- Clay, D.E.; Pandit, S.; Bhattarai, D. Case Studies on Salt-Affected Soil Remediation. In Salinity and Sodicity: A Global Challenge to Food Security, Environmental Quality and Soil Resilience; ASA, CSSA, SSSA Book Series; American Society of Agronomy, Inc.: Madison, WI, USA, 2024; pp. 129–142. [Google Scholar] [CrossRef]
- Freire, M.B.G.S.; Freire, F.J.; Pessoa, L.G.M.; Souza, E.R.; Gheyi, H.R. Salt-Affected Soils in the Brazilian Semiarid and Phytoremediation as a Reclamation Alternative. In Soil and Water Management; Springer: Cham, Switzerland, 2021; pp. 119–139. [Google Scholar] [CrossRef]
- Datta, A.K.; Setia, R.; Barman, A.; Guo, Y.; Basak, N. Carbon Dynamics in Salt-Affected Soils. In Salinity and Agriculture; Springer: Singapore, 2019; pp. 369–389. [Google Scholar] [CrossRef]
- Basak, B.B.; Smitha, G.R.; Chinchmalatpure, A.R.; Patel, P.K.; Prem, K.B. Aromatic Plants as a Tool for Phytoremediation of Salt Affected Soils. In Phytoremediation Technology; CRC Press: Boca Raton, FL, USA, 2021; pp. 138–153. [Google Scholar] [CrossRef]
- Srivastava, N. Reclamation of Saline and Sodic Soil Through Phytoremediation. In Soil Pollution and Phytoremediation; Springer: Singapore, 2020; pp. 279–306. [Google Scholar] [CrossRef]



| Pennisetum alopecuroides | Activated Carbon Ratio (%) | pH (1:5) | EC (ds/m) | Na+ (mg/kg) | Cl− (mg/kg) |
|---|---|---|---|---|---|
| N | 0 | 5.35 ± 0.04 e | 1.55 ± 0.03 a | 173.33 ± 1.62 a | 295.36 ± 0.48 a |
| 1 | 5.41 ± 0.02 d | 1.47 ± 0.02 b | 167.71 ± 1.83 b | 289.04 ± 0.48 b | |
| 2 | 5.47 ± 0.03 c | 1.38 ± 0.03 c | 164.45 ± 1.68 c | 282.89 ± 0.49 c | |
| 5 | 5.65 ± 0.02 b | 1.15 ± 0.02 d | 155.61 ± 1.67 d | 265.39 ± 0.49 d | |
| 10 | 5.95 ± 0.03 a | 0.76 ± 0.02 e | 136.02 ± 1.71 e | 235.12 ± 0.48 e | |
| Y | 0 | 5.52 ± 0.03 e | 1.39 ± 0.02 a | 166.15 ± 1.56 a | 285.01 ± 0.51 a |
| 1 | 5.59 ± 0.02 d | 1.32 ± 0.04 b | 158.03 ± 1.59 b | 278.98 ± 0.48 b | |
| 2 | 5.63 ± 0.02 c | 1.24 ± 0.03 c | 155.78 ± 1.54 c | 273.47 ± 0.46 c | |
| 5 | 5.82 ± 0.03 b | 1.03 ± 0.05 d | 145.53 ± 1.73 d | 255.94 ± 0.49 d | |
| 10 | 6.26 ± 0.03 a | 0.58 ± 0.03 e | 110.09 ± 1.73 e | 204.92 ± 0.69 e |
| Treatment | Ion Species | Factor | df | F-Value | p-Value |
|---|---|---|---|---|---|
| NaCl | Na+ | Activated Carbon (AC) | 1 | 937.99 | <0.05 |
| Planting | 1 | 135.33 | <0.05 | ||
| AC × Planting | 1 | 36.28 | <0.05 | ||
| NaCl | Cl− | Activated Carbon (AC) | 1 | 2035.22 | <0.05 |
| Planting | 1 | 1546.61 | <0.05 | ||
| AC × Planting | 1 | 403.35 | <0.05 |
| Pennisetum alopecuroides | Activated Carbon Ratio (%) | pH (1:5) | EC (ds/m) | Ca2+ (mg/kg) | Cl− (mg/kg) |
|---|---|---|---|---|---|
| N | 0 | 5.75 ± 0.02 e | 1.24 ± 0.04 a | 195.55 ± 2.15 a | 244.13 ± 0.48 a |
| 1 | 5.81 ± 0.03 d | 1.16 ± 0.03 b | 190.61 ± 2.09 b | 239.35 ± 0.53 b | |
| 2 | 5.87 ± 0.04 c | 1.09 ± 0.02 c | 185.29 ± 1.96 c | 233.26 ± 0.48 c | |
| 5 | 6.05 ± 0.02 b | 0.86 ± 0.03 d | 168.41 ± 1.92 d | 215.22 ± 0.47 d | |
| 10 | 6.35 ± 0.02 a | 0.46 ± 0.03 e | 143.23 ± 1.79 e | 184.79 ± 0.47 e | |
| Y | 0 | 5.93 ± 0.02 e | 1.11 ± 0.02 a | 182.07 ± 1.95 a | 235.81 ± 0.49 a |
| 1 | 5.98 ± 0.02 d | 1.02 ± 0.03 b | 179.86 ± 2.11 b | 228.76 ± 2.11 b | |
| 2 | 6.04 ± 0.03 c | 0.94 ± 0.03 c | 175.23 ± 2.15 c | 223.22 ± 0.47 c | |
| 5 | 6.22 ± 0.02 b | 0.73 ± 0.03 d | 158.78 ± 1.93 d | 205.05 ± 0.51 d | |
| 10 | 6.63 ± 0.04 a | 0.22 ± 0.02 e | 100.71 ± 2.13 e | 150.39 ± 0.53 e |
| Treatment | Ion Species | Factor | df | F-Value | p-Value |
|---|---|---|---|---|---|
| CaCl2 | Ca2+ | Activated Carbon (AC) | 1 | 1409.65 | <0.05 |
| Planting | 1 | 177.38 | <0.05 | ||
| AC × Planting | 1 | 67.72 | <0.05 | ||
| CaCl2 | Cl− | Activated Carbon (AC) | 1 | 2219.79 | <0.05 |
| Planting | 1 | 1761.94 | <0.05 | ||
| AC × Planting | 1 | 648.26 | <0.05 |
Disclaimer/Publisher’s Note: The statements, opinions and data contained in all publications are solely those of the individual author(s) and contributor(s) and not of MDPI and/or the editor(s). MDPI and/or the editor(s) disclaim responsibility for any injury to people or property resulting from any ideas, methods, instructions or products referred to in the content. |
© 2025 by the authors. Licensee MDPI, Basel, Switzerland. This article is an open access article distributed under the terms and conditions of the Creative Commons Attribution (CC BY) license (https://creativecommons.org/licenses/by/4.0/).
Share and Cite
Park, J.-H.; Lim, H.-I.; Lee, M.-H.; Yoon, Y.-H.; Ju, J.-H. Mitigating Deicer-Induced Salinity Through Activated Carbon and Salt-Tolerant Grass Integration: A Case of Pennisetum alopecuroides. Environments 2025, 12, 250. https://doi.org/10.3390/environments12070250
Park J-H, Lim H-I, Lee M-H, Yoon Y-H, Ju J-H. Mitigating Deicer-Induced Salinity Through Activated Carbon and Salt-Tolerant Grass Integration: A Case of Pennisetum alopecuroides. Environments. 2025; 12(7):250. https://doi.org/10.3390/environments12070250
Chicago/Turabian StylePark, Jae-Hyun, Hyo-In Lim, Myung-Hun Lee, Yong-Han Yoon, and Jin-Hee Ju. 2025. "Mitigating Deicer-Induced Salinity Through Activated Carbon and Salt-Tolerant Grass Integration: A Case of Pennisetum alopecuroides" Environments 12, no. 7: 250. https://doi.org/10.3390/environments12070250
APA StylePark, J.-H., Lim, H.-I., Lee, M.-H., Yoon, Y.-H., & Ju, J.-H. (2025). Mitigating Deicer-Induced Salinity Through Activated Carbon and Salt-Tolerant Grass Integration: A Case of Pennisetum alopecuroides. Environments, 12(7), 250. https://doi.org/10.3390/environments12070250

