Purification and Biochemical Characterization of Trametes hirsuta CS5 Laccases and Its Potential in Decolorizing Textile Dyes as Emerging Contaminants
Abstract
1. Introduction
2. Materials and Methods
2.1. Chemicals
2.2. Microorganism
2.3. Culture Medium
2.4. Obtaining Crude Extracts
2.5. Laccase Purification and Electrophoretic Analysis
2.6. Determination of Operational and Kinetic Parameters
2.7. Decolorization of Emerging Dye Contaminants Assay
2.8. Experimental Design
3. Results
3.1. 5 Laccase Purification of the Trametes hirsuta CS
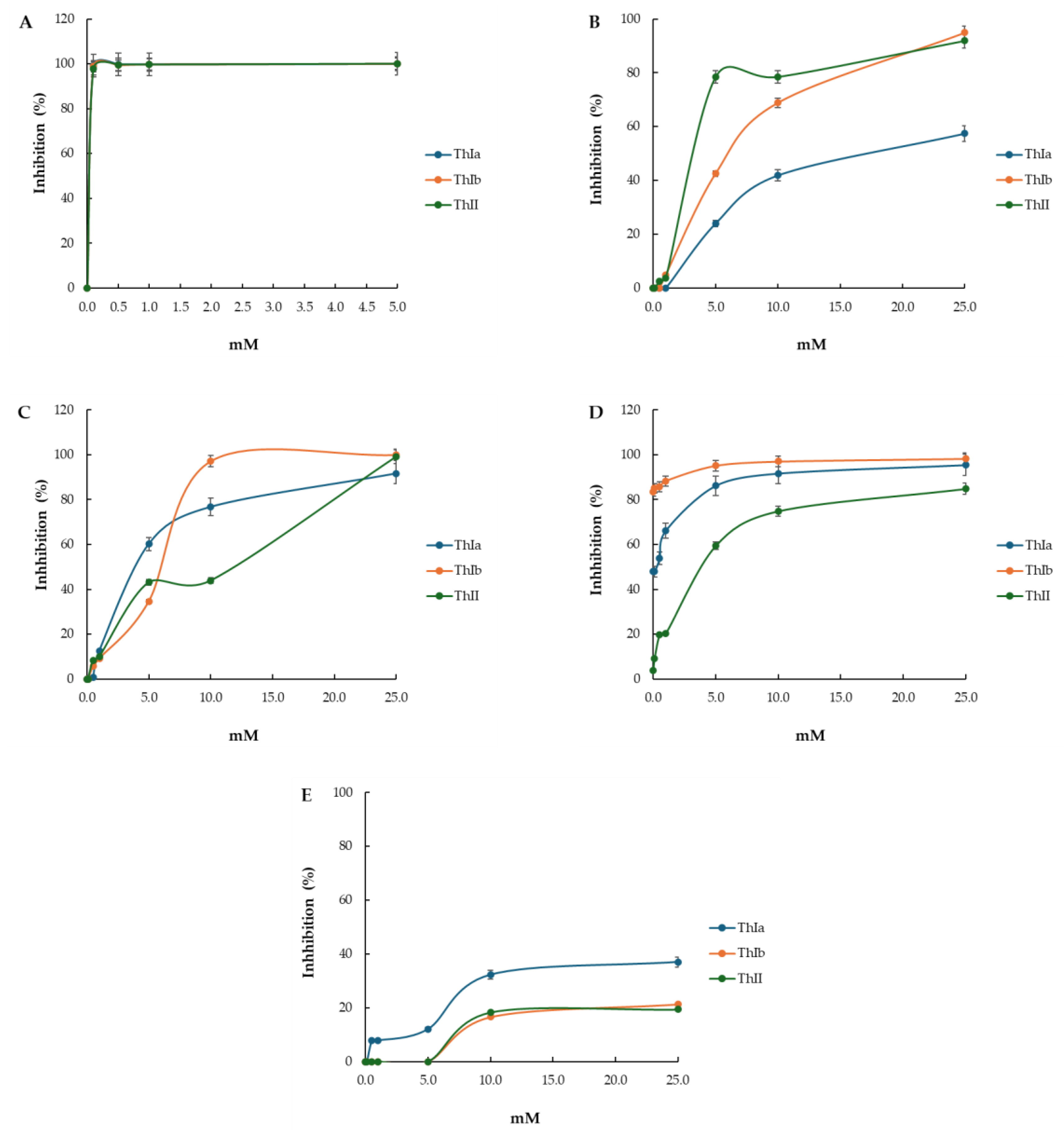
3.2. Operational and Kinetic Parameters of the Trametes hirsuta CS
3.3. Decolorization of Emerging Dye Contaminants by Laccases Trametes hirsuta CS5
4. Discussion
4.1. Laccase Purification and Electrophoretic Analysis
4.2. Determination of Operational and Kinetic Parameters
4.3. Decolorization of Emerging Dye Contaminants
5. Conclusions
Supplementary Materials
Author Contributions
Funding
Data Availability Statement
Acknowledgments
Conflicts of Interest
References
- Tyagi, I.; Karri, R.R.; Mubarak, N.M.; Dehghani, M.H. Emerging pollutants in the aqueous solution: Sources, clas-sification, and associated health implications. In Sustainable Technologies for Remediation of Emerging Pollutants from Aqueous Environment; Elsevier: Amsterdam, The Netherlands, 2024; pp. 1–11. [Google Scholar] [CrossRef]
- Premalatha, R.P.; Kumari, A.; Rajput, V.D. An introductory overview of emerging pollutants and challenges for their regulation. In Emerging Contaminants; Woodhead Publishing: Cambridge, UK, 2024; pp. 1–15. [Google Scholar] [CrossRef]
- Arman, N.Z.; Salmiati, S.; Aris, A.; Salim, M.R.; Nazifa, T.H.; Muhamad, M.S.; Marpongahtun, M. A review on emerging pollutants in the water environment: Existences, health effects and treatment processes. Water 2021, 13, 3258. [Google Scholar] [CrossRef]
- Mishra, R.K.; Mentha, S.S.; Misra, Y.; Dwivedi, N. Emerging pollutants of severe environmental concern in water and wastewater: A comprehensive review on current developments and future research. Water-Energy Nexus 2023, 6, 74–95. [Google Scholar] [CrossRef]
- Zhao, D.L.; Zhou, W.; Shen, L.; Li, B.; Sun, H.; Zeng, Q.; Tang, C.Y.; Lin, H.; Chung, T.-S. New directions on membranes for removal and degradation of emerging pollutants in aqueous systems. Water Res. 2024, 251, 121111. [Google Scholar] [CrossRef]
- Chowdhary, P.; Yadav, A.; Kaithwas, G.; Bharagava, R.N. Distillery wastewater: A major source of environmental pollution and its biological treatment for environmental safety. In Green Technologies and Environmental Sustainability; Springer: Cham, Switzerland, 2017; pp. 409–435. [Google Scholar] [CrossRef]
- Rehman, K.; Shahzad, T.; Sahar, A.; Hussain, S.; Mahmood, F.; Siddique, M.A.; Rashid, M.I. Effect of Reactive Black 5 azo dye on soil processes related to C and N cycling. PeerJ 2018, 6, e4802. [Google Scholar] [CrossRef]
- Singh, J.; Gupta, P.; Das, A. Dyes from textile industry wastewater as emerging contaminants in agricultural fields. In Sustainable Agriculture Reviews 50: Emerging Contaminants in Agriculture; Springer: Cham, Switzerland, 2021; pp. 109–129. [Google Scholar] [CrossRef]
- Aquino, J.M.; Rocha-Filho, R.C.; Ruotolo, L.A.; Bocchi, N.; Biaggio, S.R. Electrochemical degradation of a real textile wastewater using β-PbO2 and DSA® anodes. Chem. Eng. J. 2014, 251, 138–145. [Google Scholar] [CrossRef]
- Birke, V.; Singh, R.; Prang, O. Degradation of pharmaceuticals and other emerging pollutants employing bi-metal catalysts/magnesium and/or (green) hydrogen in aqueous solution. Environ. Sci. Pollut. Res. 2024, 31, 35992–36012. [Google Scholar] [CrossRef]
- Sun, Y.; Chmielewski, A.G.; Nichipor, H. Treatment of Emerging Organic Pollutants Using Ionizing Technology—A State of the Art Discussion. In Ionizing Radiation Technologies: Managing and Extracting Value from Wastes; Wiley: Hoboken, NJ, USA, 2022; pp. 210–222. [Google Scholar] [CrossRef]
- Kumar, R.; Qureshi, M.; Vishwakarma, D.K.; Al-Ansari, N.; Kuriqi, A.; Elbeltagi, A.; Saraswat, A. A review on emerging water contaminants and the application of sustainable removal technologies. Case Stud. Chem. Environ. Eng. 2022, 6, 100219. [Google Scholar] [CrossRef]
- Ekeoma, B.C.; Ekeoma, L.N.; Yusuf, M.; Haruna, A.; Ikeogu, C.K.; Merican, Z.M.A.; Kamyab, H.; Pham, C.Q.; Vo, D.-V.N.; Chelliapan, S. Recent advances in the biocatalytic mitigation of emerging pollutants: A comprehensive review. J. Biotechnol. 2023, 369, 14–34. [Google Scholar] [CrossRef]
- Abadulla, E.; Tzanov, T.; Costa, S.; Robra, K.-H.; Cavaco-Paulo, A.; Gübitzz, G.M. Decolorization and detoxification of textile dyes with a laccase from Trametes hirsuta. Appl. Environ. Microbiol. 2000, 66, 3357–3362. [Google Scholar] [CrossRef]
- Garfin, D.E. [33] One-dimensional gel electrophoresis. In Methods in Enzymology; Academic Press: Cambridge, MA, USA, 1990; Volume 182, pp. 425–441. [Google Scholar]
- Hernández-Luna, C.E.; Gutiérrez-Soto, G.; Salcedo-Martínez, S.M. Screening for decolorizing basidiomycetes in Mexico: Screening and selection of ligninolytic basidiomycetes with decolorizing ability in Northeast Mexico. World J. Microbiol. Biotechnol. 2007, 24, 465–473. [Google Scholar] [CrossRef]
- Huang, Q.; Wang, C.; Zhu, L.; Zhang, D.; Pan, C. Purification, characterization, and gene cloning of two laccase isoenzymes (Lac1 and Lac2) from Trametes hirsuta MX2 and their potential in dye decolorization. Mol. Biol. Rep. 2019, 47, 477–488. [Google Scholar] [CrossRef] [PubMed]
- Moiseenko, K.V.; Savinova, O.S.; Vasina, D.V.; Kononikhin, A.S.; Tyazhelova, T.V.; Fedorova, T.V. Laccase Isoenzymes of Trametes hirsuta LE-BIN072: Degradation of industrial dyes and secretion under the different induction conditions. Appl. Biochem. Microbiol. 2018, 54, 834–841. [Google Scholar] [CrossRef]
- Savinova, O.S.; Moiseenko, K.V.; Vavilova, E.A.; Tyazhelova, T.V.; Vasina, D.V. Properties of two laccases from the Trametes hirsuta 072 multigene family: Twins with different faces. Biochimie 2017, 142, 183–190. [Google Scholar] [CrossRef] [PubMed]
- Si, J.; Ma, H.; Cao, Y.; Cui, B.; Dai, Y. Introducing a thermo-alkali-stable, metallic ion-tolerant laccase purified from white rot fungus Trametes hirsuta. Front. Microbiol. 2021, 12, 670163. [Google Scholar] [CrossRef] [PubMed]
- Dhakar, K.; Pandey, A. Laccase production from a temperature and pH tolerant fungal strain of Trametes hirsuta (MTCC 11397). Enzym. Res. 2013, 2013, 869062. [Google Scholar] [CrossRef]
- Ezike, T.C.; Ezugwu, A.L.; Udeh, J.O.; Eze, S.O.O.; Chilaka, F.C. Purification and characterisation of new laccase from Trametes polyzona WRF03. Biotechnol. Rep. 2020, 28, e00566. [Google Scholar] [CrossRef]
- Guo, W.; Yao, Z.; Zhou, C.; Li, D.; Chen, H.; Shao, Q.; Li, Z.; Feng, H. Purification and characterization of three laccase isozymes from the white rot fungus Trametes sp. HS-03. Afr. J. Biotechnol. 2012, 11, 7916–7922. [Google Scholar] [CrossRef]
- Haibo, Z.; Yinglong, Z.; Feng, H.; Peiji, G.; Jiachuan, C. Purification and characterization of a thermostable laccase with unique oxidative characteristics from Trametes hirsuta. Biotechnol. Lett. 2009, 31, 837–843. [Google Scholar] [CrossRef]
- Ai, M.-Q.; Wang, F.-F.; Huang, F. Purification and characterization of a thermostable laccase from Trametes trogii and its ability to modify kraft lignin. J. Microbiol. Biotechnol. 2015, 25, 1361–1370. [Google Scholar] [CrossRef]
- Liu, J.; Liu, W.; Cai, Y.; Liao, X.; Huang, Q.; Liang, X. Laccase production by Trameteshirsuta, characterization, and its capability of decoloring chlorophyll. Pol. J. Microbiol. 2014, 63, 323–333. [Google Scholar] [CrossRef]
- Yin, Q.; Zhou, G.; Peng, C.; Zhang, Y.; Kües, U.; Liu, J.; Xiao, Y.; Fang, Z. The first fungal laccase with an alkaline pH optimum obtained by directed evolution and its application in indigo dye decolorization. AMB Express 2019, 9, 151. [Google Scholar] [CrossRef] [PubMed]
- Ma, J.; Li, Q.; Wu, Y.; Yue, H.; Zhang, Y.; Zhang, J.; Shi, M.; Wang, S.; Liu, G.-Q. Elucidation of ligninolysis mechanism of a newly isolated white-rot basidiomycete Trametes hirsuta X-13. Biotechnol. Biofuels 2021, 14, 189. [Google Scholar] [CrossRef] [PubMed]
- Morozova, O.V.; Shumakovich, G.P.; Gorbacheva, M.A.; Shleev, S.V.; Yaropolov, A.I. “Blue” laccases. Biochemistry 2007, 72, 1136–1150. [Google Scholar] [CrossRef]
- Yuan, X.; Tian, G.; Zhao, Y.; Zhao, L.; Wang, H.; Ng, T.B. Biochemical characteristics of three laccase isoforms from the basidiomycete Pleurotus nebrodensis. Molecules 2016, 21, 203. [Google Scholar] [CrossRef]
- Christensen, N.J.; Kepp, K.P. Stability mechanisms of laccase isoforms using a modified FoldX protocol applicable to widely different proteins. J. Chem. Theory Comput. 2013, 9, 3210–3223. [Google Scholar] [CrossRef]
- Renfeld, Z.V.; Chernykh, A.M.; Shebanova, A.D.E.; Baskunov, B.P.; Gaidina, A.S.; Myasoedova, N.M.; Moiseeva, O.V.; Kolomytseva, M.P. The Laccase of Myrothecium roridum VKM F-3565: A New Look at Fungal Laccase Tolerance to Neutral and Alkaline Conditions. ChemBioChem 2023, 24, e202200600. [Google Scholar] [CrossRef]
- Raseda, N.; Hong, S.; Kwon, O.Y.; Ryu, K. Kinetic evidence for the interactive inhibition of laccase from Trametes versicolor by pH and chloride. J. Microbiol. Biotechnol. 2014, 24, 1673–1678. [Google Scholar] [CrossRef]
- Yang, X.; Wu, Y.; Zhang, Y.; Yang, E.; Qu, Y.; Xu, H.; Chen, Y.; Irbis, C.; Yan, J. A Thermo-active laccase isoenzyme from Trametes trogii and its potential for dye decolorization at high temperature. Front. Microbiol. 2020, 11, 241. [Google Scholar] [CrossRef]
- Ardila-Leal, L.D.; Monterey-Gutiérrez, P.A.; Poutou-Piñales, R.A.; Quevedo-Hidalgo, B.E.; Galindo, J.F.; Pedroza-Rodríguez, A.M. Recombinant laccase rPOXA 1B real-time, accelerated and molecular dynamics stability study. BMC Biotechnol. 2021, 21, 37. [Google Scholar] [CrossRef]
- Si, J.; Wu, Y.; Ma, H.-F.; Cao, Y.-J.; Sun, Y.-F.; Cui, B.-K. Selection of a pH- and temperature-stable laccase from Ganoderma australe and its application for bioremediation of textile dyes. J. Environ. Manag. 2021, 299, 113619. [Google Scholar] [CrossRef]
- Ryu, K.; Lee, E.K. Rapid colorimetric assay and yeast surface display for screening of highly functional fungal lignin peroxidase. J. Chem. Eng. Jpn. 2002, 35, 527–532. [Google Scholar] [CrossRef]
- Castillo, M.P.; Stenstrom, J.; Ander, P. Determination of manganese peroxidase activity with 3-methyl-2-benzothiazolinone hydrazone and 3-(dimethylamino)benzoic acid. Anal. Biochem. 1994, 218, 399–404. [Google Scholar] [CrossRef] [PubMed]
- Mehra, R.; Muschiol, J.; Meyer, A.S.; Kepp, K.P. A structural-chemical explanation of fungal laccase activity. Sci. Rep. 2018, 8, 17285. [Google Scholar] [CrossRef] [PubMed]
- Delavari, A. Structure-Activity Investigation on Laccases by Computational and Site Directed Mutagenesis Studies. Ph.D. Thesis, Universitat Politecnica de Catalunya, Barcelona, Spain, 2016. [Google Scholar] [CrossRef]
- Navada, K.K.; Kulal, A. Kinetic characterization of purified laccase from Trametes hirsuta: A study on laccase catalyzed biotransformation of 1,4-dioxane. Biotechnol. Lett. 2020, 43, 613–626. [Google Scholar] [CrossRef]
- Sirimontree, P.; Fukamizo, T.; Suginta, W. Azide anions inhibit GH-18 endochitinase and GH-20 Exoβ-N-acetylglucosaminidase from the marine bacterium Vibrio harveyi. J. Biochem. 2015, 159, 191–200. [Google Scholar] [CrossRef][Green Version]
- Vasina, D.V.; Mustafaev, O.N.; Moiseenko, K.V.; Sadovskaya, N.S.; Glazunova, O.A.; Tyurin, A.A.; Fedorova, T.V.; Pavlov, A.R.; Tyazhelova, T.V.; Goldenkova-Pavlova, I.V.; et al. The Trametes hirsuta 072 laccase multigene family: Genes identification and transcriptional analysis under copper ions induction. Biochimie 2015, 116, 154–164. [Google Scholar] [CrossRef]
- Anita, S.H.; Ningsih, F.; Mangunwardoyo, W.; Hidayat, A.; Yanto, D.H.Y. Isolation, purification and characterization of laccase enzyme from Trametes pavonia EDN 134 for decolorization of azo dyes. In AIP Conference Proceedings, Proceedings of the International Conference on Science and Applied Science (ICSAS) 2021, Surakarta, Indonesia, 6 April 2021; AIP Publishing: Melville, NY, USA, 2022; Volume 2391, No. 1. [Google Scholar] [CrossRef]
- Hidayat, A.; Ningrum, A.C.; Falah, S. Decolorization of anthraquinone, azo and triphenylmethane dyes by laccase from newly isolated fungus, Cerrena sp. BMD.TA.1. IOP Conf. Series Earth Environ. Sci. 2019, 308, 012019. [Google Scholar] [CrossRef]
- Sayahi, E.; Ladhari, N.; Mechichi, T.; Sakli, F. Azo dyes decolourization by the laccase from Trametes trogii. J. Text. Inst. 2015, 107, 1478–1482. [Google Scholar] [CrossRef]
- Ilić, N.; Tričković, J.F.; Milić, M.; Mihajlovski, K. Harnessing the hidden environmental power of Bjerkandera adusta laccase: Sustainable production, green immobilization, and eco-friendly decolorization of mixed azo dyes. Sustain. Chem. Pharm. 2024, 42, 101747. [Google Scholar] [CrossRef]
- Ferreira-Silva, V.; de Gusmão, N.B.; Gibertoni, T.B.; Silva, L.A.D.O.D. Trametes lactinea and T. villosa collected in Brazil are able to discolor indigo carmine. Acta Bot. Bras. 2022, 36, e2021abb0356. [Google Scholar] [CrossRef]
- Iracheta-Cárdenas, M.M.; Rocha-Peña, M.A.; Galán-Wong, L.J.; Arévalo-Niño, K.; Tovar-Herrera, O.E. A Pycnoporus sanguineus laccase for denim bleaching and its comparison with an enzymatic commercial formulation. J. Environ. Manag. 2016, 177, 93–100. [Google Scholar] [CrossRef] [PubMed]
- Kaur, G.; Bera, S. Adverse effect of triphenylmethane dyes on environmental health and its detoxification for im-proved ecosystem. J. Emerg. Technol. Innov. Res. 2020, 7, 174–183. [Google Scholar]
- Chmelová, D.; Ondrejovič, M. Purification and characterization of extracellular laccase produced by Ceriporiopsis subvermispora and decolorization of triphenylmethane dyes. J. Basic Microbiol. 2016, 56, 1173–1182. [Google Scholar] [CrossRef]
- Sun, Y.; Li, Y.; Liang, H.; Li, M.; Liu, Y.; Wang, L.; Lai, W.; Tang, T.; Diao, Y.; Bai, Y.; et al. Distinct laccase expression and activity profiles of Trametes versicolor facilitate degradation of benzo[a]pyrene. Front. Bioeng. Biotechnol. 2023, 11, 1264135. [Google Scholar] [CrossRef]
- Jiang, M.; Ten, Z.; Ding, S. Decolorization of synthetic dyes by crude and purified laccases from coprinus comatus grown under different cultures: The role of major isoenzyme in dyes decolorization. Appl. Biochem. Biotechnol. 2012, 169, 660–672. [Google Scholar] [CrossRef]
- Baldrian, P.; Gabriel, J. Variability of laccase activity in the white-rot basidiomycete Pleurotus ostreatus. Folia Microbiol. 2002, 47, 385–390. [Google Scholar] [CrossRef]
- Chernykh, A.; Myasoedova, N.; Kolomytseva, M.; Ferraroni, M.; Briganti, F.; Scozzafava, A.; Golovleva, L. Laccase isoforms with unusual properties from the basidiomycete Steccherinum ochraceum strain 1833. J. Appl. Microbiol. 2008, 105, 2065–2075. [Google Scholar] [CrossRef]
- Arregui, L.; Ayala, M.; Gómez-Gil, X.; Gutiérrez-Soto, G.; Hernández-Luna, C.E.; de Los Santos, M.H.; Levin, L.; Rojo-Domínguez, A.; Romero-Martínez, D.; Saparrat, M.C.; et al. Laccases: Structure, function, and potential application in water bioremediation. Microb. Cell Factories 2019, 18, 200. [Google Scholar] [CrossRef]
- Sen, S.; Raut, S.; Raut, S. Mycoremediation of anthraquinone dyes from textile industries: A mini-review. BioTechnologia 2023, 104, 85–91. [Google Scholar] [CrossRef]
- Johnnie, D.A.; Issac, R.; Prabha, M.L.; Gomez, L.A. Biodegradation Assay of Heavy Metals and Dyes Decolorization in Textile Industrial Effluent using Laccase Isolated from Pleurotus ostreatus. J. Pure Appl. Microbiol. 2023, 17, 2324–2343. [Google Scholar] [CrossRef]
- Wei, Y.; Zhu, Q.; Xie, W.; Wang, X.; Li, S.; Chen, Z. Biocatalytic enhancement of laccase immobilized on ZnFe2O4 nanoparticles and its application for degradation of textile dyes. Chin. J. Chem. Eng. 2024, 68, 216–223. [Google Scholar] [CrossRef]
- Zahoor, M.; Ullah, A.; Alam, S.; Muhammad, M.; Setyobudi, R.H.; Zekker, I.; Sohail, A. Novel magnetite nanocomposites (Fe3O4/C) for efficient immobilization of ciprofloxacin from aqueous solutions through adsorption pretreatment and membrane processes. Water 2022, 14, 724. [Google Scholar] [CrossRef]
- Zhao, S.; Li, X.; Yao, X.; Liu, X.; Pan, C.; Guo, L.; Bai, J.; Chen, T.; Yu, H.; Hu, C. Detoxification of tetracycline and synthetic dyes by a newly characterized Lentinula edodes laccase, and safety assessment using proteomic analysis. Ecotoxicol. Environ. Saf. 2024, 276, 116324. [Google Scholar] [CrossRef] [PubMed]
- Edoamodu, C.E.; Nwodo, U.U. Decolourization of synthetic dyes by laccase produced from Bacillus sp. NU2. Biotechnol. Biotechnol. Equip. 2022, 36, 95–106. [Google Scholar] [CrossRef]
- Ramaswamy, U.; Lakshmanan, R.; Ravichandran, M.; Periasamy, P.; Sengodan, S. Ameliorating direct blue dye degradation using Trametes versicolor derived laccase enzyme optimized through box-Behnken design (BBD) via submerged fermentation. Journal of Experimental Biology and Agricultural Sciences. J. Exp. Biol. Agric. Sci. 2022, 10, 818–830. [Google Scholar] [CrossRef]
- Magalhães, F.F.; Pereira, A.F.; Cristóvão, R.O.; Barros, R.A.; Faria, J.L.; Silva, C.G.; Freire, M.G.; Tavares, A.P. Recent Developments and Challenges in the Application of Fungal Laccase for the Biodegradation of Textile Dye Pollutants. Mini-Reviews Org. Chem. 2024, 21, 609–632. [Google Scholar] [CrossRef]







| Step | Total Protein (mg) | Total Units (U) | Specific Activity (U mg−1) | Purification (Fold) | Yield (%) |
|---|---|---|---|---|---|
| Culture supernatant | 79.67 | 2429.55 | 30.49 | 1.00 | 100.00 |
| Concentrate YM10 | 77.25 | 1835.81 | 23.04 | 0.76 | 75.6 |
| DEAE-Sephacel ThI | 4.74 | 284.27 | 60.03 | 1.97 | 11.7 |
| Biogel P-100 ThI | 2.99 | 89.68 | 30.05 | 0.99 | 3.7 |
| * Chromatofocus ThIa | 0.08 | 14.43 | 191.70 | 6.29 | 0.6 |
| * ChromatofocusThIb | 0.04 | 6.17 | 171.37 | 5.62 | 0.3 |
| DEAE-Sephacel ThII | 8.09 | 113.51 | 14.03 | 0.46 | 4.7 |
| Biogel P-100 ThII | 3.77 | 291.20 | 77.18 | 2.53 | 12.0 |
| Isoform | 2,6-DMP | Guaiacol | ||||||
|---|---|---|---|---|---|---|---|---|
| Km (μM) | Vmax (M·min) | Kcat (s−1) | Kcat/Km (M·s−1) | km (μM) | Vmax (M·min) | Kcat (s−1) | Kcat/Km (s−1) | |
| ThIa | 81 a | 3.52 × 10−5 b | 7.13 a | 8.8 × 104 b | 548 a | 7.47 × 10−5 c | 15.11 a | 2.7 × 104 b |
| ThIb | 77 a | 1.75 × 10−5 c | 2.0 c | 2.3 × 104 c | 390 c | 3.30 × 10−5 b | 3.46 b | 8.8 × 103 a |
| ThII | 74 b | 4.02 × 10−5 a | 6 b | 8.9 × 105 a | 466 b | 1.04 × 10−4 a | 1.7 × 105 c | 3.7 × 108 c |
| Isoform | NaN3 Ki * | SDS Ki | ATG Ki | EDTA Ki | DMSO Ki |
|---|---|---|---|---|---|
| ThIa | 7.11 × 10−4 c | 0.207 a | 0.325 c | 0.450 b | 0.051 b |
| ThIb | 4.17 × 10−2 a | 0.222 a | 0.855 b | 0.417 b | 0.645 a |
| ThII | 1.38 × 10−3 a | 0.088 b | 1.156 a | 0.616 a | 0.669 a |
| Dye | Dicoloration (%) | |||
|---|---|---|---|---|
| Cg | ThIa | ThIb | ThII | |
| AR 44 (Monoazo) | 93.6 a | 87.8 b | 33.7 c | 91.4 a |
| OII (Monoazo) | 64.6 b | 62.9 b | 36.9 c | 76.0 a |
| RB5 (Diazo) | 32.3 b | 32.9 b | 31.8 b | 39.1 a |
| BI (Indigo) | 64.3 a | 36.6 b | 20.8 c | 40.4 b |
| Poly R-478 (Polymeric dye) | 44.7 a | 24.0 c | 33.2 b | 19.7 c |
| BBR (Triarylmethane) | 69.6 b | 54.5 c | 27.2 d | 77.8 a |
| CV (Triarylmethane) | 25.0 a | 14.3 b | 24.3 a | 12.7 b |
| RBBR (Anthraquinone) | 88.7 a | 77.2 c | 53.0 d | 82.0 b |
| AG 27 (Anthraquinone) | 69.7 a | 50.1 b | 71.3 a | 54.1 b |
Disclaimer/Publisher’s Note: The statements, opinions and data contained in all publications are solely those of the individual author(s) and contributor(s) and not of MDPI and/or the editor(s). MDPI and/or the editor(s) disclaim responsibility for any injury to people or property resulting from any ideas, methods, instructions or products referred to in the content. |
© 2025 by the authors. Licensee MDPI, Basel, Switzerland. This article is an open access article distributed under the terms and conditions of the Creative Commons Attribution (CC BY) license (https://creativecommons.org/licenses/by/4.0/).
Share and Cite
Gutiérrez-Soto, G.; Hernández-Luna, C.E.; López-Sandin, I.; Parra-Saldívar, R.; Elizondo-Luevano, J.H. Purification and Biochemical Characterization of Trametes hirsuta CS5 Laccases and Its Potential in Decolorizing Textile Dyes as Emerging Contaminants. Environments 2025, 12, 16. https://doi.org/10.3390/environments12010016
Gutiérrez-Soto G, Hernández-Luna CE, López-Sandin I, Parra-Saldívar R, Elizondo-Luevano JH. Purification and Biochemical Characterization of Trametes hirsuta CS5 Laccases and Its Potential in Decolorizing Textile Dyes as Emerging Contaminants. Environments. 2025; 12(1):16. https://doi.org/10.3390/environments12010016
Chicago/Turabian StyleGutiérrez-Soto, Guadalupe, Carlos Eduardo Hernández-Luna, Iosvany López-Sandin, Roberto Parra-Saldívar, and Joel Horacio Elizondo-Luevano. 2025. "Purification and Biochemical Characterization of Trametes hirsuta CS5 Laccases and Its Potential in Decolorizing Textile Dyes as Emerging Contaminants" Environments 12, no. 1: 16. https://doi.org/10.3390/environments12010016
APA StyleGutiérrez-Soto, G., Hernández-Luna, C. E., López-Sandin, I., Parra-Saldívar, R., & Elizondo-Luevano, J. H. (2025). Purification and Biochemical Characterization of Trametes hirsuta CS5 Laccases and Its Potential in Decolorizing Textile Dyes as Emerging Contaminants. Environments, 12(1), 16. https://doi.org/10.3390/environments12010016

