Associations of Exposure to 24 Endocrine-Disrupting Chemicals with Perinatal Depression and Lifestyle Factors: A Prospective Cohort Study in Korea
Abstract
1. Introduction
2. Materials and Methods
2.1. Study Design and Population
2.2. Perinatal Depression Assessment
2.3. Dietary and Lifestyle Factors Assessment
2.4. Analysis of 24 Non-Persistent Chemicals in Urine Samples
2.5. Statistical Analyses
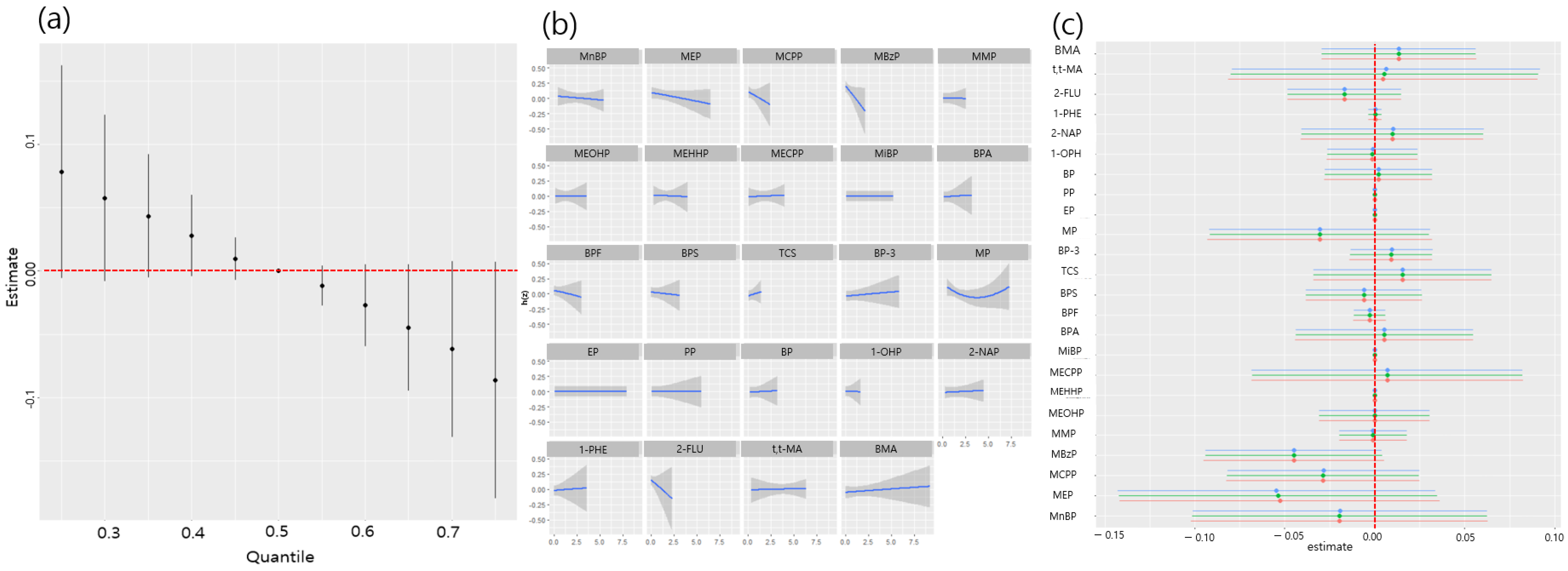
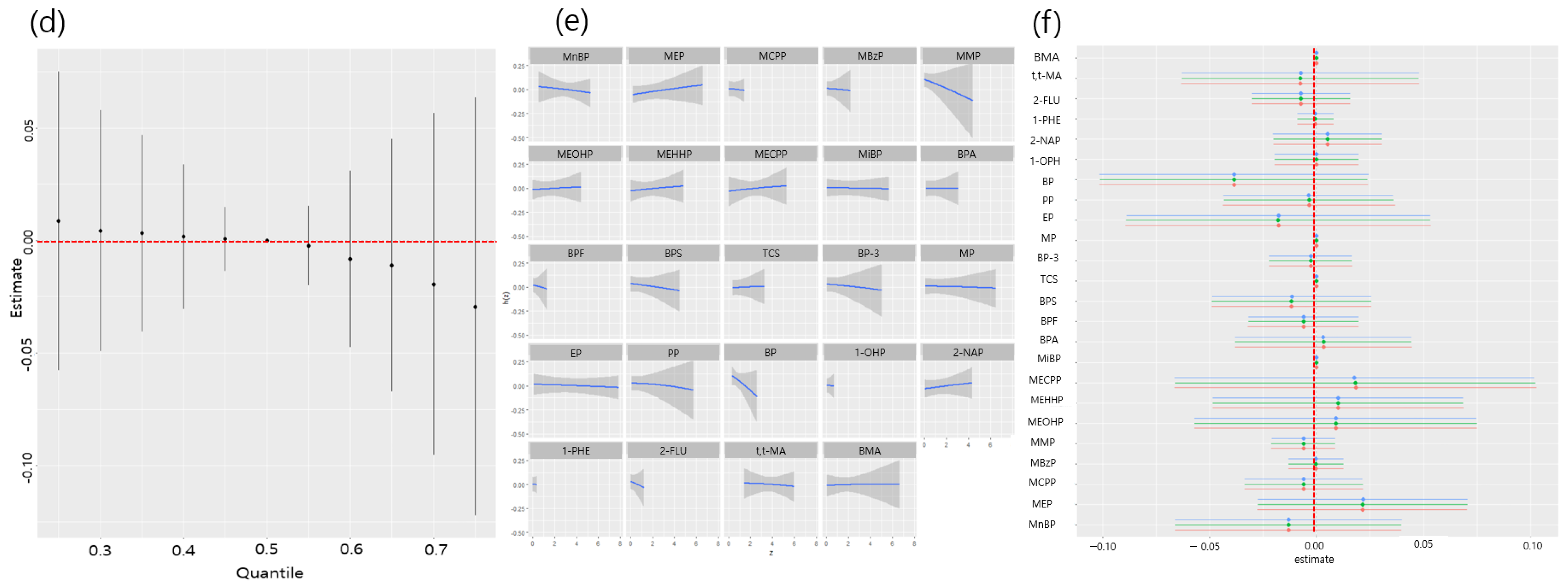
3. Results
3.1. Study Participants
3.2. Non-Persistent Urinary Chemical Concentrations in the Ante- and Postpartum Periods
3.3. Association Between Urinary Chemical Concentration and Ante- and Postpartum Depression
3.4. Association Between Dietary/Lifestyle Factors and Depression
4. Discussion
5. Conclusions
Supplementary Materials
Author Contributions
Funding
Data Availability Statement
Conflicts of Interest
References
- Kumar, P.; Magon, N. Hormones in pregnancy. Niger. Med. J. 2012, 53, 179–183. [Google Scholar] [CrossRef]
- Cunningham, F.G.; Leveno, K.J.; Dashe, J.S.; Hoffman, B.L.; Spong, C.Y.; Casey, B.M. Maternal Physiology. In Williams Obstetrics, 26e; McGraw Hill: New York, NY, USA, 2022; Available online: https://accessmedicine.mhmedical.com/content.aspx?bookid=2977§ionid=254987027 (accessed on 1 December 2024).
- Soma-Pillay, P.; Nelson-Piercy, C.; Tolppanen, H.; Mebazaa, A. Physiological changes in pregnancy. Cardiovasc. J. Afr. 2016, 27, 89–94. [Google Scholar] [CrossRef]
- Jacobson, M.H.; Ghassabian, A.; Gore, A.C.; Trasande, L. Exposure to environmental chemicals and perinatal psychopathology. Biochem. Pharmacol. 2022, 195, 114835. [Google Scholar] [CrossRef]
- Li, S.H.; Graham, B.M. Why are women so vulnerable to anxiety, trauma-related and stress-related disorders? The potential role of sex hormones. Lancet Psychiatry 2017, 4, 73–82. [Google Scholar] [CrossRef]
- Schiller, C.E.; Meltzer-Brody, S.; Rubinow, D.R. The role of reproductive hormones in postpartum depression. CNS Spectr. 2015, 20, 48–59. [Google Scholar] [CrossRef] [PubMed]
- Yim, I.S.; Stapleton, L.R.T.; Guardino, C.M.; Hahn-Holbrook, J.; Schetter, C.D. Biological and psychosocial predictors of postpartum depression: Systematic review and call for integration. Annu. Rev. Clin. Psychol. 2015, 11, 99–137. [Google Scholar] [CrossRef]
- Kim, J.H.; Moon, N.; Ji, E.; Moon, H.B. Effects of postnatal exposure to phthalate, bisphenol a, triclosan, parabens, and per- and poly-fluoroalkyl substances on maternal postpartum depression and infant neurodevelopment: A korean mother-infant pair cohort study. Environ. Sci. Pollut. Res. Int. 2023, 30, 96384–96399. [Google Scholar] [CrossRef] [PubMed]
- Kim, J.H.; Shin, H.S.; Lee, W.H. Impact of endocrine-disrupting chemicals in breast milk on postpartum depression in Korean mothers. Int. J. Environ. Res. Public. Health 2021, 18, 4444. [Google Scholar] [CrossRef]
- Townsend, M.K.; Franke, A.A.; Li, X.; Hu, F.B.; Eliassen, A.H. Within-person reproducibility of urinary bisphenol A and phthalate metabolites over a 1 to 3 year period among women in the Nurses’ Health Studies: A prospective cohort study. Environ. Health 2013, 12, 80. [Google Scholar] [CrossRef] [PubMed]
- Hu, L.; Mei, H.; Feng, H.; Huang, Y.; Cai, X.; Xiang, F.; Chen, L.; Xiao, H. Exposure to bisphenols, parabens and phthalates during pregnancy and postpartum anxiety and depression symptoms: Evidence from women with twin pregnancies. Environ. Res. 2023, 221, 115248. [Google Scholar] [CrossRef]
- Kim, J.H.; Kim, D.; Moon, S.M.; Yang, E.J. Associations of lifestyle factors with phthalate metabolites, bisphenol A, parabens, and triclosan concentrations in breast milk of Korean mothers. Chemosphere 2020, 249, 126149. [Google Scholar] [CrossRef]
- Xu, X.; Hong, X.; Xie, L.; Li, T.; Yang, Y.; Zhang, Q.; Zhang, G.; Liu, X. Gestational and lactational exposure to bisphenol-A affects anxiety- and depression-like behaviors in mice. Horm. Behav. 2012, 62, 480–490. [Google Scholar] [CrossRef]
- Xu, X.; Yang, Y.; Wang, R.; Wang, Y.; Ruan, Q.; Lu, Y. Perinatal exposure to di-(2-ethylhexyl) phthalate affects anxiety- and depression-like behaviors in mice. Chemosphere 2015, 124, 22–31. [Google Scholar] [CrossRef]
- Gaum, P.M.; Gube, M.; Esser, A.; Schettgen, T.; Quinete, N.; Bertram, J.; Putschögl, F.M.; Kraus, T.; Lang, J. Depressive symptoms after PCB exposure: Hypotheses for underlying pathomechanisms via the thyroid and dopamine system. Int. J. Environ. Res. Public Health 2019, 16, 950. [Google Scholar] [CrossRef] [PubMed]
- Putschögl, F.M.; Gaum, P.M.; Schettgen, T.; Kraus, T.; Gube, M.; Lang, J. Effects of occupational exposure to polychlorinated biphenyls on urinary metabolites of neurotransmitters: A cross-sectional and longitudinal perspective. Int. J. Hyg. Environ. Health 2015, 218, 452–460. [Google Scholar] [CrossRef]
- Aker, A.M.; Johns, L.; McElrath, T.F.; Cantonwine, D.E.; Mukherjee, B.; Meeker, J.D. Associations between maternal phenol and paraben urinary biomarkers and maternal hormones during pregnancy: A repeated measures study. Environ. Int. 2018, 113, 341–349. [Google Scholar] [CrossRef]
- Huang, H.; Liang, J.; Tang, P.; Yu, C.; Fan, H.; Liao, Q.; Long, J.; Pan, D.; Zeng, X.; Liu, S.; et al. Associations of bisphenol exposure with thyroid hormones in pregnant women: A prospective birth cohort study in China. Environ. Sci. Pollut. Res. 2022, 29, 87170–87183. [Google Scholar] [CrossRef]
- Del Río, J.P.; Alliende, M.I.; Molina, N.; Serrano, F.G.; Molina, S.; Vigil, P. Steroid Hormones and Their Action in Women’s Brains: The Importance of Hormonal Balance. Front. Public. Health 2018, 6, 141. [Google Scholar] [CrossRef]
- Eleiwa, N.Z.H.; Elsayed, A.S.F.; Said, E.N.; Metwally, M.M.M.; Abd-Elhakim, Y.M. Di (2-ethylhexyl) phthalate alters neurobehavioral responses and oxidative status, architecture, and GFAP and BDNF signaling in juvenile rat’s brain: Protective role of Coenzyme10. Food Chem. Toxicol. 2024, 184, 114372. [Google Scholar] [CrossRef] [PubMed]
- Bao, C.; Lv, J.; Chen, J.R.; Wei, G.Z.; Liu, N.; Wang, Y.T.; Ding, Z.; Liu, W.B.; Cao, H.J.; Sheng, J.; et al. Chronic inflammation as a potential mediator between phthalate exposure and depressive symptoms. Ecotoxicol. Environ. Saf. 2022, 233, 113313. [Google Scholar] [CrossRef]
- Farrow, A.; Taylor, H.; Northstone, K.; Golding, J. Symptoms of Mothers and Infants Related to Total Volatile Organic Compounds in Household Products. Arch. Environ. Health: Int. J. 2003, 58, 633–641. [Google Scholar] [CrossRef]
- Farhan, J.A.; Iwaniuk, P.; Kaczyński, P.; Łozowicka, B.; Mroczko, B.; Orywal, K.; Perkowski, M.; Socha, K.; Zoń, W. Urinary polycyclic aromatic hydrocarbon metabolites and depression: A cross-sectional study of the National Health and Nutrition Examination Survey 2005-2016. Env. Sci Pollut Res Int. 2022, 29, 39067–39076. [Google Scholar] [CrossRef]
- Shiue, I. Urinary heavy metals, phthalates and polyaromatic hydrocarbons independent of health events are associated with adult depression: USA NHANES, 2011–2012. Environ. Sci. Pollut. Res. 2015, 22, 17095–17103. [Google Scholar] [CrossRef] [PubMed]
- Lee, K.S.; Lim, Y.H.; Kim, K.N.; Choi, Y.H.; Hong, Y.C.; Lee, N. Urinary phthalate metabolites concentrations and symptoms of depression in an elderly population. Sci. Total Environ. 2018, 625, 1191–1197. [Google Scholar] [CrossRef] [PubMed]
- Suzuki, D.; Wariki, W.M.; Suto, M.; Yamaji, N.; Takemoto, Y.; Rahman, M.M.; Ota, E. Association of secondhand smoke and depressive symptoms in nonsmoking pregnant Women: A systematic review and meta-analysis. J. Affect. Disord. 2019, 245, 918–927. [Google Scholar] [CrossRef] [PubMed]
- Zhen, H.; Zhang, F.; Cheng, H.; Hu, F.; Jia, Y.; Hou, Y.; Shang, M.; Yu, H.; Jiang, M. Association of polycyclic aromatic hydrocarbons exposure with child neurodevelopment and adult emotional disorders: A meta-analysis study. Ecotoxicol. Environ. Saf. 2023, 255, 114770. [Google Scholar] [CrossRef]
- Zhang, L.; Sun, J.; Zhang, D. The relationship between urine polycyclic aromatic hydrocarbons and depressive symptoms in American adults. J. Affect. Disord. 2021, 292, 227–233. [Google Scholar] [CrossRef]
- Radloff, L.S. The CES-D Scale:A Self-Report Depression Scale for Research in the General Population. Appl. Psychol. Meas. 1977, 1, 385–401. [Google Scholar] [CrossRef]
- Jeon, G.; Choi, S.; Yang, B. Integrated Korean version of CES-D development. J. Korean Psychol. Assoc. Health 2001, 6, 59–76. [Google Scholar]
- Cox, J.L.; Holden, J.M.; Sagovsky, R. Detection of Postnatal Depression: Development of the 10-item Edinburgh Postnatal Depression Scale. Br. J. Psychiatry 1987, 150, 782–786. [Google Scholar] [CrossRef]
- Kim, Y.K.; Hur, J.W.; Kim, K.H.; Oh, K.S.; Shin, Y.C. Clinical Application of Korean Version of Edinburgh Postnatal Depression Scale. J. Korean Neuropsychiatr. Assoc. 2008, 47, 36–44. [Google Scholar]
- Kim, J.H.; Moon, N.; Heo, S.J.; Jeong, Y.W.; Kang, D.R. Repeated measurements and mixture effects of urinary bisphenols, parabens, polycyclic aromatic hydrocarbons, and other chemicals on biomarkers of oxidative stress in pre- and postpartum women. Environ. Pollut. 2024, 342, 123057. [Google Scholar] [CrossRef]
- Hornung, R.W.; Reed, L.D. Estimation of average concentration in the presence of nondetectable values. Appl. Occup. Environ. Hyg. 1990, 5, 46–51. [Google Scholar] [CrossRef]
- Barr, D.B.; Wilder, L.C.; Caudill, S.P.; Gonzalez, A.J.; Needham, L.L.; Pirkle, J.L. Urinary creatinine concentrations in the US population: Implications for urinary biologic monitoring measurements. Environ. Health Perspect. 2005, 113, 192–200. [Google Scholar] [CrossRef] [PubMed]
- Bobb, J.F.; Valeri, L.; Claus Henn, B.; Christiani, D.C.; Wright, R.O.; Mazumdar, M.; Godleski, J.J.; Coull, B.A. Bayesian kernel machine regression for estimating the health effects of multi-pollutant mixtures. Biostatistics 2015, 16, 493–508. [Google Scholar] [CrossRef]
- López-Rodríguez, D.; Aylwin, C.F.; Delli, V.; Sevrin, E.; Campanile, M.; Martin, M.; Franssen, D.; Gérard, A.; Blacher, S.; Tirelli, E.; et al. Multi- and Transgenerational Outcomes of an Exposure to a Mixture of Endocrine-Disrupting Chemicals (EDCs) on Puberty and Maternal Behavior in the Female Rat. Environ. Health Perspect. 2021, 129, 87003. [Google Scholar] [CrossRef] [PubMed]
- Lee, S.M.; Jeon, S.; Jeong, H.J.; Kim, B.N.; Kim, Y. Dibutyl phthalate exposure during gestation and lactation in C57BL/6 mice: Maternal behavior and neurodevelopment in pups. Environ. Res. 2020, 182, 109025. [Google Scholar] [CrossRef] [PubMed]
- Ding, S.; Zhang, Z.; Chen, Y.; Qi, W.; Zhang, Y.; Xu, Q.; Liu, H.; Zhang, T.; Zhao, Y.; Han, X.; et al. Urinary levels of phthalate metabolites and their association with lifestyle behaviors in Chinese adolescents and young adults. Ecotoxicol. Environ. Saf. 2019, 183, 109541. [Google Scholar] [CrossRef] [PubMed]
- Liao, C.; Liu, W.; Zhang, J.; Shi, W.; Wang, X.; Cai, J.; Zou, Z.; Lu, R.; Sun, C.; Wang, H.; et al. Associations of urinary phthalate metabolites with residential characteristics, lifestyles, and dietary habits among young children in Shanghai, China. Sci. Total Environment. 2018, 616, 1288–1297. [Google Scholar] [CrossRef]
- Luo, C.; Deng, J.; Chen, L.; Wang, Q.; Xu, Y.; Ping, L.Y.; Zhou, L.; Shi, Y.; Mao, W.; Yang, X.; et al. Phthalate acid esters and polycyclic aromatic hydrocarbons concentrations with their determining factors among Chinese pregnant women: A focus on dietary patterns. Sci. Total Environ. 2022, 852, 158344. [Google Scholar] [CrossRef]
- Di Napoli, I.; Tagliaferri, S.; Sommella, E.; Salviati, E.; Porri, D.; Raspini, B.; Cena, H.; Campiglia, P.; La Rocca, C.; Cerbo, R.M.; et al. Lifestyle Habits and Exposure to BPA and Phthalates in Women of Childbearing Age from Northern Italy: A Pilot Study. Int. J. Environ. Res. Public. Health 2021, 18, 9710. [Google Scholar] [CrossRef] [PubMed]
- Zheng, Y.; Cheng, B.; You, W.; Yu, J.; Ho, W. 3D hierarchical graphene oxide-NiFe LDH composite with enhanced adsorption affinity to Congo red, methyl orange and Cr (VI) ions. J. Hazard. Mater. 2019, 369, 214–225. [Google Scholar] [CrossRef]
- Fišerová, P.S.; Melymuk, L.; Komprdová, K.; Domínguez-Romero, E.; Scheringer, M.; Kohoutek, J.; Přibylová, P.; Andrýsková, L.; Piler, P.; Koch, H.M.; et al. Personal care product use and lifestyle affect phthalate and DINCH metabolite levels in teenagers and young adults. Environ. Res. 2022, 213, 113675. [Google Scholar] [CrossRef] [PubMed]
- Fréry, N.; Santonen, T.; Porras, S.P.; Fucic, A.; Leso, V.; Bousoumah, R.; Duca, R.C.; El Yamani, M.; Kolossa-Gehring, M.; Ndaw, S.; et al. Biomonitoring of occupational exposure to phthalates: A systematic review. Int. J. Hyg. Environ. Health 2020, 229, 113548. [Google Scholar] [CrossRef]
- EFSA Panel on Food Contact Materials; Enzymes and Processing Aids (CEP); Silano, V.; Barat Baviera, J.M.; Bolognesi, C.; Chesson, A.; Cocconcelli, P.S.; Crebelli, R.; Gott, D.M.; Grob, K.; et al. Update of the risk assessment of di-butylphthalate (DBP), butyl-benzyl-phthalate (BBP), bis(2-ethylhexyl)phthalate (DEHP), di-isononylphthalate (DINP) and di-isodecylphthalate (DIDP) for use in food contact materials. EFSA J. 2019, 17, e05838. [Google Scholar] [CrossRef]
- Bethea, T.N.; Wesselink, A.K.; Weuve, J.; McClean, M.D.; Hauser, R.; Williams, P.L.; Ye, X.; Calafat, A.M.; Baird, D.D.; Wise, L.A. Correlates of exposure to phenols, parabens, and triclocarban in the Study of Environment, Lifestyle and Fibroids. J. Expo. Sci. Environ. Epidemiol. 2020, 30, 117–136. [Google Scholar] [CrossRef] [PubMed]
- Husøy, T.; Andreassen, M.; Hjertholm, H.; Carlsen, M.H.; Norberg, N.; Sprong, C.; Papadopoulou, E.; Sakhi, A.K.; Sabaredzovic, A.; Dirven, H.A. The Norwegian biomonitoring study from the EU project EuroMix: Levels of phenols and phthalates in 24-h urine samples and exposure sources from food and personal care products. Environ. Int. 2019, 132, 105103. [Google Scholar] [CrossRef] [PubMed]
- Kang, H.S.; Ko, A.; Kwon, J.E.; Kyung, M.S.; Im Moon, G.; Park, J.H.; Lee, H.S.; Suh, J.H.; Lee, J.M.; Hwang, M.S.; et al. Urinary benzophenone concentrations and their association with demographic factors in a South Korean population. Environ. Res. 2016, 149, 1–7. [Google Scholar] [CrossRef] [PubMed]
- Machtinger, R.; Berman, T.; Adir, M.; Mansur, A.; Baccarelli, A.A.; Racowsky, C.; Calafat, A.M.; Hauser, R.; Nahum, R. Urinary concentrations of phthalate metabolites, bisphenols and personal care product chemical biomarkers in pregnant women in Israel. Environ. Int. 2018, 116, 319–325. [Google Scholar] [CrossRef] [PubMed]
- Peinado, F.M.; Ocón-Hernández, O.; Iribarne-Durán, L.M.; Vela-Soria, F.; Ubiña, A.; Padilla, C.; Mora, J.C.; Cardona, J.; León, J.; Fernández, M.F.; et al. Cosmetic and personal care product use, urinary levels of parabens and benzophenones, and risk of endometriosis: Results from the EndEA study. Environ. Res. 2021, 196, 110342. [Google Scholar] [CrossRef]
- Arfaeinia, H.; Dobaradaran, S.; Mahmoodi, M.; Farjadfard, S.; Tahmasbizadeh, M.; Fazlzadeh, M. Urinary profile of PAHs and related compounds in women working in beauty salons. Sci. Total Environ. 2022, 851 Pt 2, 158281. [Google Scholar] [CrossRef] [PubMed]
- Cao, L.; Wang, D.; Wen, Y.; He, H.; Chen, A.; Hu, D.; Tan, A.; Shi, T.; Zhu, K.; Ma, J.; et al. Effects of environmental and lifestyle exposures on urinary levels of polycyclic aromatic hydrocarbon metabolites: A cross-sectional study of urban adults in China. Chemosphere 2020, 240, 124898. [Google Scholar] [CrossRef] [PubMed]
- Hoseini, M.; Nabizadeh, R.; Delgado-Saborit, J.M.; Rafiee, A.; Yaghmaeian, K.; Parmy, S.; Faridi, S.; Hassanvand, M.S.; Yunesian, M.; Naddafi, K. Environmental and lifestyle factors affecting exposure to polycyclic aromatic hydrocarbons in the general population in a Middle Eastern area. Environ. Pollut. 2018, 240, 781–792. [Google Scholar] [CrossRef]
- Evci, Y.M.; Esen, F.; Taşdemir, Y. Monitoring of Long-Term Outdoor Concentrations of PAHs with Passive Air Samplers and Comparison with Meteorological Data. Arch. Environ. Contam. Toxicol. 2016, 71, 246–256. [Google Scholar] [CrossRef] [PubMed]
- Gurung, G.; Bradley, J.; Delgado-Saborit, J.M. Effects of shisha smoking on carbon monoxide and PM2.5 concentrations in the indoor and outdoor microenvironment of shisha premises. Sci. Total Environ. 2016, 548, 340–346. [Google Scholar] [CrossRef] [PubMed]




| Groups | Analytes | Antepartum (14 Weeks of Gestation, n = 242) | Postpartum (One Month after Delivery, n = 119) | t-test * | p-Value | |||||||||||
|---|---|---|---|---|---|---|---|---|---|---|---|---|---|---|---|---|
| DF (%) | LOD (μg/L) | GM | 25th | 50th | 75th | Max | DF (%) | GM | 25th | 50th | 75th | Max | ||||
| Phthalates | MnBP | 100 | 0.11 | 14.45 | 7.72 | 15.34 | 26.11 | 232.82 | 100 | 24.95 | 14.51 | 22.33 | 39.44 | 192.25 | −5.430 | <0.001 |
| MEP | 73.6 | 0.07 | 1.23 | <LOD | 1.80 | 6.35 | 684.50 | 100 | 3.28 | 1.11 | 2.52 | 8.04 | 711.64 | −2.166 | 0.031 | |
| MCPP | 97.1 | 0.06 | 0.44 | 0.30 | 0.42 | 0.66 | 10.31 | 97.6 | 0.46 | <LOD | 0.49 | 0.63 | 3.14 | −0.461 | 0.645 | |
| MBzP | 90.9 | 0.04 | 0.21 | 0.11 | 0.22 | 0.40 | 7.30 | 94.4 | 0.19 | 0.12 | 0.16 | 0.35 | 8.00 | 1.120 | 0.263 | |
| MMP | 100 | 0.01 | 0.33 | 0.17 | 0.33 | 0.62 | 11.51 | 37.3 | 0.03 | <LOD | <LOD | 0.21 | 79.21 | 2.019 | 0.045 | |
| MEOHP | 100 | 0.03 | 2.55 | 1.48 | 2.61 | 4.67 | 34.58 | 96.0 | 2.76 | 1.77 | 3.02 | 6.72 | 84.02 | −1.958 | 0.052 | |
| MEHHP | 100 | 0.03 | 4.24 | 2.48 | 4.40 | 7.51 | 55.02 | 97.6 | 4.06 | 2.57 | 4.27 | 9.14 | 125.91 | −0.640 | 0.523 | |
| MECPP | 92.1 | 0.03 | 3.40 | 2.48 | 5.08 | 10.32 | 53.47 | 98.4 | 8.87 | 5.63 | 8.65 | 18.24 | 196.18 | −6.100 | <0.001 | |
| MiBP | 98.8 | 0.07 | 5.35 | 2.54 | 5.69 | 12.00 | 178.70 | 82.5 | 3.34 | 1.01 | 5.32 | 18.30 | 300.41 | 0.288 | 0.774 | |
| Bisphenols | BPA | 78.5 | 0.12 | 0.64 | 0.36 | 0.61 | 1.06 | 22.7 | 99.2 | 0.87 | 0.50 | 0.83 | 1.48 | 21.34 | −5.118 | <0.001 |
| BPF | 42.1 | 0.08 | 0.47 | 0.09 | 0.26 | 2.48 | 19.9 | 48.4 | 0.11 | <LOD | <LOD | 0.19 | 2.78 | 4.100 | <0.001 | |
| BPS | 98.8 | 0.01 | 0.30 | 0.13 | 0.25 | 0.63 | 22.1 | 100 | 0.77 | 0.37 | 0.64 | 1.74 | 86.62 | −5.168 | <0.001 | |
| Phenols | TCS | 71.5 | 0.04 | 0.28 | 0.13 | 0.27 | 0.63 | 3.11 | 22.2 | 0.74 | 0.48 | 0.48 | 0.48 | 25.12 | −6.855 | <0.001 |
| BP-3 | 71.5 | 0.10 | 0.43 | 0.14 | 0.30 | 0.93 | 341 | 69.8 | 0.25 | <LOD | 0.15 | 0.52 | 156.64 | 0.022 | 0.983 | |
| Parabens | MP | 100 | 0.15 | 6.70 | 2.77 | 4.82 | 9.07 | 1390 | 64.3 | 1.93 | <LOD | 1.81 | 13.90 | 682.09 | 2.307 | 0.022 |
| EP | 99.6 | 0.14 | 32.80 | 10.2 | 40.30 | 126 | 2900 | 90.5 | 29.14 | 10.50 | 48.08 | 168.23 | 2492.72 | −0.431 | 0.667 | |
| PP | 31 | 0.21 | 1.99 | 0.34 | 0.93 | 12.7 | 250 | 69.8 | 0.64 | <LOD | 0.32 | 1.44 | 303.40 | −2.129 | 0.034 | |
| BP | 100 | 0.07 | 0.78 | 0.48 | 0.70 | 1.09 | 23.8 | 100 | 1.11 | 0.73 | 0.96 | 1.53 | 12.52 | −3.567 | <0.001 | |
| PAHs | 1-OHP | 85.5 | 0.03 | 0.14 | 0.07 | 0.13 | 0.23 | 4.08 | 98.4 | 0.10 | 0.07 | 0.11 | 0.15 | 0.97 | 2.652 | 0.008 |
| 2-NAP | 100 | 0.05 | 2.39 | 1.24 | 2.07 | 3.96 | 84.1 | 99.2 | 2.06 | 1.01 | 1.82 | 3.67 | 76.89 | 0.667 | 0.505 | |
| 1-PHE | 77.3 | 0.02 | 0.07 | 0.04 | 0.06 | 0.09 | 37.0 | 84.9 | 0.05 | 0.03 | 0.05 | 0.08 | 0.53 | 2.077 | 0.039 | |
| 2-FLU | 95 | 0.01 | 0.13 | 0.08 | 0.14 | 0.22 | 9.10 | 92.9 | 0.11 | 0.07 | 0.13 | 0.21 | 2.43 | 0.094 | 0.925 | |
| VOCs | t,t-MA | 99.6 | 0.58 | 45.20 | 21.40 | 44.80 | 92.0 | 554 | 100 | 48.75 | 28.81 | 43.56 | 72.59 | 395.46 | −0.869 | 0.386 |
| BMA | 99.6 | 0.04 | 2.87 | 1.49 | 2.49 | 4.67 | 10100 | 99.2 | 5.57 | 3.24 | 5.21 | 9.43 | 791.21 | −5.2132 | <0.001 | |
| Variables | Categories | n/M | %/SD | Median | Min | Max |
|---|---|---|---|---|---|---|
| Age (years) | 33.8 | 4.0 | 34.0 | 21.0 | 42.0 | |
| Early-pregnancy BMI (kg/m2) | 23.2 | 4.2 | 22.5 | 14.8 | 40.2 | |
| Education | <college | 44 | 18.2 | |||
| ≥college | 198 | 81.8 | ||||
| Household income ($/month) | ||||||
| ≤5000 | 124 | 51.2 | ||||
| >5000 | 118 | 48.8 | ||||
| Employment status | Yes | 157 | 64.9 | |||
| No | 85 | 35.1 | ||||
| Residence area | Metropolitan | 155 | 64.0 | |||
| Non-metropolitan | 87 | 36.0 | ||||
| Parity | Primipara | 139 | 57.4 | |||
| Multipara | 103 | 42.6 | ||||
| Cotinine level (µg/g creatinine) * | 0.31 | 186.46 | 0.22 | 0.04 | 1720 | |
| Antepartum depression score | 16.5 | 6.1 | 15.5 | 1 | 36 | |
| Low (≤20) | 185 (76.4) | |||||
| High (≥21) | 57 (23.6) | |||||
| Postpartum depression score (n = 119) | 8.9 | 3.6 | 8 | 0 | 22 | |
| Low (≤9) | 65 (54.6) | |||||
| High (≥10) | 54 (45.4) | |||||
| Antepartum Depression (n = 242) | Postpartum Depression (n = 119) | ||||||
|---|---|---|---|---|---|---|---|
| Groups | Chemical | aOR | p-Value | 95% CI | aOR | p-Value | 95% CI |
| Phthalates | MnBP | 0.97 | 0.863 | 0.682–1.379 | 0.46 | 0.185 | 0.144–1.455 |
| MEP | 0.79 | 0.081 | 0.603–1.030 | 1.03 | 0.936 | 0.536–1.970 | |
| MCPP | 0.27 | 0.065 | 0.064–1.088 | 0.30 | 0.562 | 0.005–17.788 | |
| MBzP | 0.38 | 0.130 | 0.113–1.325 | 9.92 | 0.307 | 0.121–NA | |
| MMP | 0.67 | 0.473 | 0.217–2.031 | <0.01 | 0.180 | 0–NA | |
| MEOHP | 1.04 | 0.874 | 0.645–1.675 | 2.78 | 0.049 | 1.004–7.700 | |
| MEHHP | 1.09 | 0.710 | 0.697–1.700 | 2.79 | 0.042 | 1.040–7.459 | |
| MECPP | 1.50 | 0.045 | 1.010–2.227 | 2.73 | 0.056 | 0.973–7.641 | |
| MiBP | 1.09 | 0.604 | 0.797–1.477 | 1.08 | 0.749 | 0.668–1.751 | |
| Bisphenols | BPA | 0.87 | 0.731 | 0.400–1.901 | 1.00 | 1.000 | 0.106–9.446 |
| BPF | 0.82 | 0.467 | 0.475–1.407 | 0.02 | 0.326 | 0–49.044 | |
| BPS | 0.99 | 0.984 | 0.523–1.886 | 0.41 | 0.296 | 0.078–2.174 | |
| Phenols | TCS | 0.96 | 0.944 | 0.320–2.890 | 0.77 | 0.805 | 0.100–5.983 |
| BP-3 | 0.90 | 0.642 | 0.589–1.386 | 0.94 | 0.947 | 0.168–5.314 | |
| Parabens | MP | 0.85 | 0.222 | 0.660–1.102 | 0.77 | 0.335 | 0.448–1.315 |
| EP | 1.03 | 0.725 | 0.865–1.232 | 0.89 | 0.506 | 0.622–1.264 | |
| PP | 0.91 | 0.562 | 0.671–1.242 | 0.64 | 0.399 | 0.228–1.801 | |
| BP | 1.00 | 0.993 | 0.439–2.294 | 0.06 | 0.087 | 0.002–1.511 | |
| PAHs | 1-OHP | 0.05 | 0.041 | 0.003–0.888 | 0.01 | 0.511 | 0–NA |
| 2-NAP | 1.10 | 0.660 | 0.727–1.654 | 7.22 | 0.017 | 1.426–36.593 | |
| 1-PHE | 0.27 | 0.355 | 0.016–4.364 | <0.01 | 0.144 | 0–NA | |
| 2-FLU | 0.37 | 0.423 | 0.032–4.217 | <0.01 | 0.017 | 0–0.004 | |
| VOCs | t,t-MA | 1.08 | 0.621 | 0.796–1.466 | 0.68 | 0.442 | 0.250–1.832 |
| BMA | 0.97 | 0.852 | 0.691–1.356 | 0.67 | 0.603 | 0.148–3.027 | |
| Dietary Factors | Consumer Products Factor | ||||||||||||||||||
|---|---|---|---|---|---|---|---|---|---|---|---|---|---|---|---|---|---|---|---|
| Chemical | Fish | Dairy Products | Fermented Foods | Frozen Foods | Cup Noodle | Popcorn | Skincare Products | Makeup Products | Perfume | Antimicrobial Products | Sunscreen | New Furniture | Plastic Bowl | Detergent | Polish | Air Freshener | Paint | Pesticides | |
| B | B | ||||||||||||||||||
| MnBP | beta | 0.03 | 0.01 | 0.00 | −0.06 | −0.06 | −0.05 | −0.01 | −0.03 | −0.04 | −0.02 | −0.01 | −0.10 * | −0.01 | −0.02 | −0.09 | −0.02 | 0.00 | 0.00 |
| MEP | beta | 0.03 | −0.07 | 0.04 | −0.07 | −0.11 | −0.19 | 0.06 | 0.01 | 0.09 | 0.00 | −0.01 | −0.04 | −0.02 | −0.02 | −0.10 | 0.00 | −0.17 | 0.05 |
| MCPP | beta | 0.02 | 0.00 | 0.01 | −0.01 | 0.00 | −0.01 | 0.00 | −0.01 | 0.00 | 0.00 | −0.01 | −0.02 | −0.01 | 0.00 | −0.03 | 0.00 | −0.01 | 0.00 |
| MBzP | beta | 0.02 | 0.02 | 0.01 | −0.01 | −0.01 | −0.03 | 0.01 | 0.00 | −0.01 | 0.01 | 0.01 | 0.00 | 0.00 | 0.01 | 0.01 | 0.00 | 0.06 | 0.02 |
| MMP | beta | 0.00 | 0.00 | 0.03 * | −0.01 | −0.01 | 0.00 | 0.01 | −0.01 | 0.00 | 0.00 | 0.00 | 0.00 | 0.02 * | 0.01 | −0.01 | 0.01 | 0.02 | 0.00 |
| MEOHP | beta | 0.05 | 0.03 | 0.01 | 0.02 | −0.01 | −0.02 | 0.01 | −0.01 | −0.04 | 0.01 | −0.01 | −0.01 | 0.00 | 0.02 | 0.00 | −0.02 | 0.14 | −0.01 |
| MEHHP | beta | 0.05 | 0.04 | 0.00 | 0.02 | −0.01 | 0.01 | 0.01 | −0.01 | −0.04 | 0.01 | −0.02 | −0.01 | 0.00 | 0.01 | 0.04 | −0.03 | 0.23 * | 0.01 |
| MECPP | beta | 0.05 | 0.05 | 0.00 | 0.02 | −0.01 | 0.00 | 0.03 | −0.01 | −0.05 | 0.01 | −0.02 | −0.04 | 0.00 | 0.02 | −0.01 | −0.03 | 0.18 | 0.01 |
| MiBP | beta | 0.15 * | 0.02 | −0.05 | 0.02 | 0.06 | 0.06 | −0.01 | −0.01 | −0.07 | 0.00 | 0.02 | −0.08 | −0.01 | −0.04 | −0.12 | −0.05 | −0.09 | 0.02 |
| BPA | beta | 0.03 | 0.01 | 0.03 | 0.01 | −0.01 | 0.04 | 0.02 | 0.00 | 0.01 | 0.00 | 0.02 | 0.00 | 0.01 | 0.00 | 0.04 | 0.00 | 0.12 * | 0.00 |
| BPF | beta | 0.07 * | 0.04 | −0.02 | 0.00 | −0.01 | 0.05 | 0.02 | −0.02 | −0.01 | −0.01 | −0.02 | −0.04 | −0.03 | −0.01 | 0.06 | −0.02 | 0.18 * | 0.01 |
| BPS | beta | 0.00 | 0.01 | −0.02 | 0.03 | −0.04 | 0.03 | 0.00 | −0.01 | 0.01 | 0.01 | −0.01 | 0.05 * | 0.01 | 0.01 | 0.00 | 0.00 | 0.10 | −0.01 |
| TCS | beta | −0.01 | 0.00 | 0.00 | 0.03 * | 0.02 | −0.02 | 0.00 | 0.01 | 0.01 | 0.00 | 0.00 | 0.02 * | 0.02 | 0.00 | −0.02 | 0.00 | 0.04 | 0.01 |
| BP-3 | beta | 0.03 | −0.04 | 0.02 | 0.00 | −0.04 | −0.03 | 0.01 | −0.02 | 0.06 | 0.00 | 0.02 | 0.03 | 0.02 | −0.01 | 0.05 | 0.00 | 0.20 | 0.07 |
| MP | beta | 0.05 | 0.03 | 0.00 | 0.08 | −0.17 * | 0.10 | 0.06 | 0.02 | 0.00 | −0.02 | 0.00 | 0.05 | 0.02 | −0.01 | −0.01 | 0.01 | −0.13 | 0.21 * |
| EP | beta | 0.08 | 0.03 | 0.04 | 0.02 | −0.07 | −0.01 | 0.14 * | 0.10 * | 0.08 | 0.03 | 0.09 * | 0.04 | −0.04 | 0.04 | −0.11 | 0.00 | −0.46 | 0.04 |
| PP | beta | −0.02 | 0.06 | −0.01 | 0.01 | −0.10 * | −0.03 | 0.04 | 0.00 | 0.00 | 0.00 | −0.01 | 0.04 | 0.01 | 0.03 | −0.12 | 0.01 | −0.05 | 0.10 |
| BP | beta | −0.01 | 0.00 | 0.04 * | 0.00 | 0.00 | 0.03 | −0.01 | 0.00 | 0.00 | 0.01 | 0.01 | 0.03 * | 0.01 | 0.01 | 0.04 | 0.01 | −0.06 | 0.01 |
| 1-OHP | beta | 0.01 | 0.00 | 0.02 * | 0.01 | 0.00 | 0.00 | 0.02 * | 0.00 | 0.02 * | 0.01 * | 0.01 * | 0.00 | 0.00 | 0.01 | 0.04 * | 0.01 * | 0.10 * | −0.01 |
| 2-NAP | beta | 0.00 | −0.01 | 0.04 | 0.07 * | 0.00 | 0.07 | 0.02 | 0.00 | 0.02 | 0.02 | 0.03 | −0.01 | −0.01 | 0.06 * | −0.04 | 0.05 * | 0.01 | −0.02 |
| 1-PHE | beta | 0.03 | −0.01 | 0.02 | −0.01 | 0.00 | −0.03 | 0.00 | −0.01 | −0.01 | −0.01 | 0.00 | −0.01 | 0.01 | 0.00 | −0.02 | −0.01 | −0.01 | 0.00 |
| 2-FLU | beta | 0.00 | 0.00 | 0.02 * | 0.01 | −0.01 | 0.01 | 0.00 | 0.01 | 0.00 | 0.00 | 0.00 | 0.00 | 0.00 | 0.00 | −0.01 | 0.01 | 0.00 | 0.00 |
| t,tMA | beta | 0.01 | 0.00 | 0.05 | 0.04 | 0.05 | 0.09 | 0.07 * | 0.03 | 0.05 | 0.04 | 0.01 | 0.01 | 0.00 | −0.03 | −0.05 | 0.00 | 0.20 | −0.02 |
| BMA | beta | −0.03 | −0.04 | 0.05 | −0.02 | 0.04 | 0.08 | −0.04 | 0.00 | 0.02 | −0.02m | 0.00 | −0.05 | −0.03 | −0.02 | −0.02 | 0.02 | 0.02 | 0.05 |
| Chemical | Dietary Factors | Consumer Products | |||||||||||||||||
|---|---|---|---|---|---|---|---|---|---|---|---|---|---|---|---|---|---|---|---|
| Fish | Dairy Products | Fermented Foods | Frozen Foods | Cup Noodle | Popcorn | Skincare Products | Makeup Products | Manicure | Perfume | Antimicrobial Products | Sunscreen | New Furniture | Plastic Bowl | Detergent | Polish | Air Freshener | Pesticide | ||
| B | B | ||||||||||||||||||
| MnBP | beta | 0.020 | −0.009 | 0.023 | −0.023 | −0.016 | 0.097 | −0.056 | −0.007 | −0.204 | 0.114 | 0.004 | −0.043 | −0.008 | −0.033 | −0.037 | 0.031 | −0.027 | 0.058 |
| MEP | beta | 0.067 | −0.003 | −0.011 | 0.027 | 0.063 | 0.258 * | 0.051 | 0.150 | 0.780 | 0.016 | 0.024 | 0.087 | 0.138 | −0.037 | 0.009 | −0.048 | 0.000 | 0.212 |
| MCPP | beta | −0.001 | 0.016 | 0.002 | −0.004 | −0.005 | 0.011 | −0.004 | 0.007 | 0.051 | 0.024 | −0.006 | −0.011 | −0.022 | 0.003 | 0.003 | −0.034 | −0.009 | 0.068 * |
| MBzP | beta | −0.011 | 0.016 | 0.011 | −0.004 | 0.053 * | 0.053 | 0.018 | 0.030 | 0.227 * | −0.003 | 0.004 | 0.006 | −0.022 | −0.004 | 0.012 | −0.040 | 0.007 | −0.016 |
| MMP | beta | 0.014 | −0.021 | 0.021 | −0.012 | −0.051 | 0.038 | −0.020 | −0.023 | −0.164 | 0.045 | −0.003 | −0.032 | 0.024 | 0.012 | −0.014 | −0.075 | −0.044 | 0.004 |
| MEOHP | beta | 0.01 | −0.01 | 0.01 | −0.01 | 0.02 | −0.04 | −0.01 | 0.04 | −0.40 | 0.25 | 0.03 | −0.04 | −0.08 | 0.00 | −0.01 | −0.20 | 0.00 | 0.02 |
| MEHHP | beta | 0.02 | −0.01 | 0.01 | 0.00 | 0.05 | −0.04 | −0.01 | 0.03 | −0.38 | 0.21 | 0.03 | −0.05 | −0.08 | 0.01 | 0.00 | −0.27 * | −0.01 | 0.01 |
| MECPP | beta | 0.02 | 0.02 | 0.04 | 0.02 | 0.06 | 0.04 | −0.02 | 0.05 | −0.11 | 0.23 | 0.05 | −0.06 | −0.10 | 0.01 | −0.02 | −0.23 * | 0.00 | 0.04 |
| MiBP | beta | 0.03 | −0.02 | 0.06 | 0.07 | 0.03 | 0.19 | 0.00 | 0.03 | −0.68 | 0.47 * | −0.01 | 0.00 | −0.03 | 0.05 | 0.00 | −0.16 | −0.07 | 0.12 |
| BPA | beta | −0.04 | 0.02 | −0.02 | −0.05 | −0.06 | 0.07 | 0.02 | −0.01 | −0.02 | 0.07 | −0.02 | −0.01 | −0.02 | 0.00 | 0.02 | 0.04 | −0.03 | −0.05 |
| BPF | beta | −0.01 | 0.00 | −0.01 | −0.01 | −0.01 | 0.09 * | −0.01 | −0.02 | −0.04 | −0.01 | 0.00 | 0.00 | 0.01 | −0.01 | −0.01 | −0.03 | 0.00 | −0.02 |
| BPS | beta | 0.01 | −0.07 | −0.03 | −0.01 | 0.05 | −0.02 | −0.01 | 0.06 | 0.05 | 0.07 | 0.02 | 0.03 | −0.02 | −0.01 | −0.02 | −0.03 | 0.00 | −0.03 |
| TCS | beta | −0.08 * | −0.03 | −0.08 * | −0.06 | −0.11 * | −0.04 | 0.03 | 0.02 | −0.18 | 0.15 | 0.02 | −0.01 | −0.01 | −0.02 | 0.02 | 0.02 | −0.04 | −0.07 |
| BP-3 | beta | −0.08 * | −0.03 | −0.08 * | −0.06 | −0.11 * | −0.04 | 0.03 | 0.02 | −0.18 | 0.15 | 0.02 | −0.01 | −0.01 | −0.02 | 0.02 | 0.02 | −0.04 | −0.07 |
| MP | beta | −0.13 | 0.00 | −0.06 | −0.04 | −0.07 | 0.11 | 0.13 | 0.08 | −0.21 | 0.57 | 0.04 | 0.05 | 0.06 | −0.10 | −0.03 | −0.05 | −0.01 | 0.18 |
| EP | beta | 0.01 | 0.03 | −0.24 * | −0.27 * | −0.26 | −0.34 | 0.06 | −0.09 | 0.06 | 0.20 | −0.08 | 0.00 | −0.01 | −0.11 | −0.05 | 0.18 | 0.03 | −0.01 |
| PP | beta | −0.07 | 0.01 | −0.02 | −0.01 | −0.09 | 0.00 | 0.07 | 0.14 | 0.00 | 0.37 * | 0.02 | 0.06 | 0.01 | −0.07 | −0.04 | −0.02 | −0.06 | 0.10 |
| BP | beta | 0.00 | 0.01 | 0.01 | −0.01 | 0.01 | 0.05 | 0.01 | 0.01 | 0.16 | −0.01 | 0.01 | 0.00 | 0.01 | 0.00 | 0.00 | 0.14 * | 0.01 | 0.00 |
| 1-OHP | beta | 0.00 | 0.01 | 0.01 | −0.01 | 0.01 | 0.05 | 0.01 | 0.01 | 0.16 | −0.01 | 0.01 | 0.00 | 0.01 | 0.00 | 0.00 | 0.14 * | 0.01 | 0.00 |
| 2-NAP | beta | 0.00 | 0.01 | 0.01 | −0.01 | 0.01 | 0.05 | 0.01 | 0.01 | 0.16 | −0.01 | 0.01 | 0.00 | 0.01 | 0.00 | 0.00 | 0.14 * | 0.01 | 0.00 |
| 1-PHE | beta | 0.00 | 0.01 | 0.01 | −0.01 | 0.01 | 0.05 | 0.01 | 0.01 | 0.16 | −0.01 | 0.01 | 0.00 | 0.01 | 0.00 | 0.00 | 0.14 * | 0.01 | 0.00 |
| 2-FLU | beta | 0.00 | 0.01 | 0.01 | −0.01 | 0.01 | 0.05 | 0.01 | 0.01 | 0.16 | −0.01 | 0.01 | 0.00 | 0.01 | 0.00 | 0.00 | 0.14 * | 0.01 | 0.00 |
| t,tMA | beta | 0.00 | 0.01 | 0.01 | −0.01 | 0.01 | 0.05 | 0.01 | 0.01 | 0.16 | −0.01 | 0.01 | 0.00 | 0.01 | 0.00 | 0.00 | 0.14 * | 0.01 | 0.00 |
| BMA | beta | 0.05 | 0.02 | 0.04 | −0.06 | −0.06 | 0.07 | −0.01 | −0.08 | 0.04 | 0.15 | −0.02 | −0.07 | −0.02 | −0.02 | −0.05 | 0.00 | −0.05 | 0.18 |
Disclaimer/Publisher’s Note: The statements, opinions and data contained in all publications are solely those of the individual author(s) and contributor(s) and not of MDPI and/or the editor(s). MDPI and/or the editor(s) disclaim responsibility for any injury to people or property resulting from any ideas, methods, instructions or products referred to in the content. |
© 2025 by the authors. Licensee MDPI, Basel, Switzerland. This article is an open access article distributed under the terms and conditions of the Creative Commons Attribution (CC BY) license (https://creativecommons.org/licenses/by/4.0/).
Share and Cite
Moon, N.; Heo, S.J.; Kim, J.H. Associations of Exposure to 24 Endocrine-Disrupting Chemicals with Perinatal Depression and Lifestyle Factors: A Prospective Cohort Study in Korea. Environments 2025, 12, 15. https://doi.org/10.3390/environments12010015
Moon N, Heo SJ, Kim JH. Associations of Exposure to 24 Endocrine-Disrupting Chemicals with Perinatal Depression and Lifestyle Factors: A Prospective Cohort Study in Korea. Environments. 2025; 12(1):15. https://doi.org/10.3390/environments12010015
Chicago/Turabian StyleMoon, Nalae, Su Ji Heo, and Ju Hee Kim. 2025. "Associations of Exposure to 24 Endocrine-Disrupting Chemicals with Perinatal Depression and Lifestyle Factors: A Prospective Cohort Study in Korea" Environments 12, no. 1: 15. https://doi.org/10.3390/environments12010015
APA StyleMoon, N., Heo, S. J., & Kim, J. H. (2025). Associations of Exposure to 24 Endocrine-Disrupting Chemicals with Perinatal Depression and Lifestyle Factors: A Prospective Cohort Study in Korea. Environments, 12(1), 15. https://doi.org/10.3390/environments12010015

