The Mediating Roles of Resilience and Flow in Linking Basic Psychological Needs to Tertiary EFL Learners’ Engagement in the Informal Digital Learning of English: A Mixed-Methods Study
Abstract
1. Introduction
2. Literature Review
2.1. IDLE
2.2. Basic Psychological Needs: Autonomy, Relatedness, and Competence
2.3. Flow, or Resilience
2.4. Engagement, Flow, and Resilience
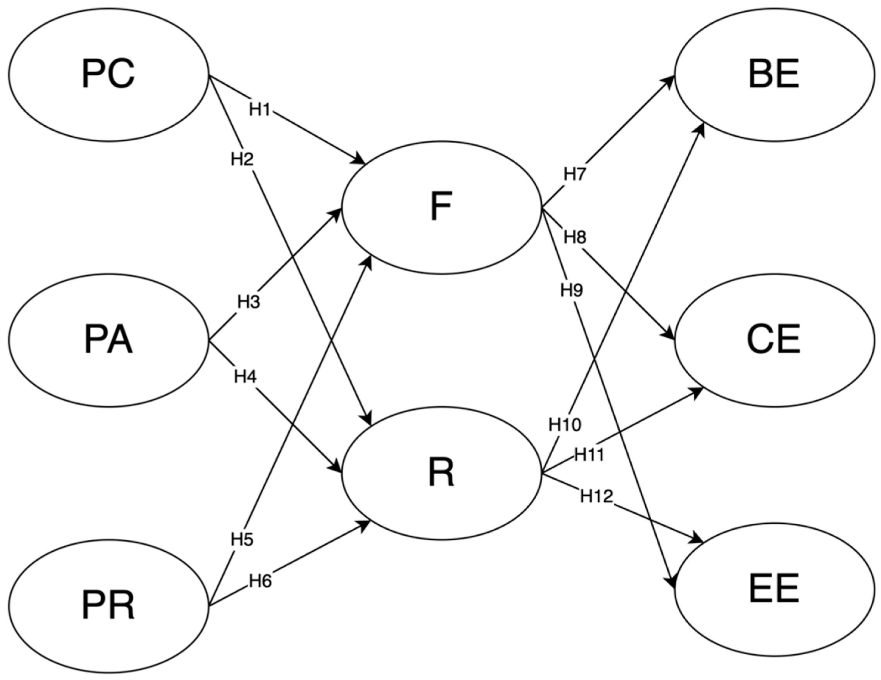
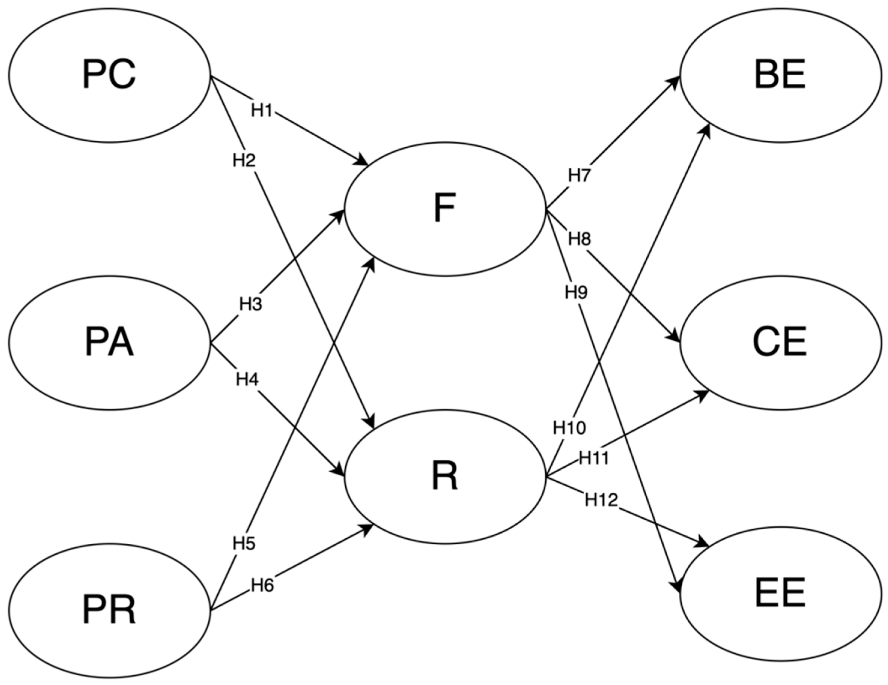
2.5. The Hypothesized Structural Model
2.6. Research Questions
3. Methodology
3.1. Research Design: An Explanatory Sequential Mixed-Method Design
3.2. Participants
3.3. Instruments
3.3.1. Basic Psychological Needs
3.3.2. Flow
3.3.3. Resilience
3.3.4. Engagement
3.3.5. Semi-Structured Interviews
3.4. Data Collection
3.5. Data Analysis
4. Results
4.1. Quantitative Analysis
4.1.1. Descriptive Statistics
4.1.2. Reliability, Validity, and the Measurement Model
4.1.3. The Structural Model and Hypotheses Testing
4.2. Qualitative Analysis
4.2.1. Understanding the Mediating Role of Resilience in IDLE
4.2.2. Understanding the Mediating Role of Flow in IDLE
5. Discussion
5.1. Resilience in IDLE: Buffering Stress and Promoting Engagement
5.2. Flow in IDLE: Fostering Intrinsic Motivation and Enhancing Engagement
6. Conclusions
Author Contributions
Funding
Institutional Review Board Statement
Informed Consent Statement
Data Availability Statement
Conflicts of Interest
References
- Almohesh, A. R. I., & Altamimi, J. A. H. (2024). Wow, I cannot stop: A concentration on vocabulary learning via instagram and its effects on informal digital learning of english, technostress, and on-line engagement. BMC Psychology, 12(1), 8. [Google Scholar] [CrossRef] [PubMed]
- Bond, M., Buntins, K., Bedenlier, S., Zawacki-Richter, O., & Kerres, M. (2020). Mapping research in student engagement and educational technology in higher education: A systematic evidence map. International Journal of Educational Technology in Higher Education, 17, 1–30. [Google Scholar] [CrossRef]
- Cena, E., Toner, P., McParland, A., Burns, S., & Dudgeon, K. (2023). Studying and learning psychology during the COVID-19 pandemic: A mixed-methods approach on students’ perspectives of psychological well-being and adjustment to studying online. Psychology Learning & Teaching, 22(2), 137–158. [Google Scholar] [CrossRef]
- Chu, W., & Liu, H. (2022). A mixed-methods study on senior high school EFL teacher resilience in China. Frontiers in Psychology, 13, 865599. [Google Scholar] [CrossRef]
- Collier, J. E. (2020). Applied structural equation modeling using AMOS: Basic to advanced techniques. Routledge. [Google Scholar]
- Creswell, J. W., Plano-Clark, V. L., Gutmann, M. L., & Hanson, W. E. (2003). Advanced mixed methods research designs. In Handbook of mixed methods in social and behavioral research. Sage. [Google Scholar]
- Csikszentmihalyi, M. (1997). Finding flow. The psychology of engagement with everyday life. Basic Books. [Google Scholar]
- Dai, K., & Wang, Y. (2023). Investigating the interplay of Chinese EFL teachers’ proactive personality, flow, and work Engagement. Journal of Multilingual and Multicultural Development. [Google Scholar] [CrossRef]
- Dai, K., & Wang, Y. L. (2024). Enjoyable, anxious, or bored: Investigating Chinese EFL learners’ classroom emotions and their engagement in technology-based EMI classrooms. System, 123, 103339. [Google Scholar] [CrossRef]
- Deng, R., Benckendorff, P., & Gannaway, D. (2020). Learner engagement in MOOCs: Scale development and validation. British Journal of Educational Technology, 51(1), 245–262. [Google Scholar] [CrossRef]
- Derakhshan, A., Dewaele, J.-M., & Azari Noughabi, M. (2022). Modeling the contribution of resilience, well-being, and L2 grit to foreign language teaching enjoyment among Iranian English language teachers. System, 109, 102890. [Google Scholar] [CrossRef]
- Gao, Y., Wang, X., & Fan, P. (2024). Exploring male English major’s motivation trajectory through complex dynamic systems theory. Current Psychology, 43(10), 9089–9100. [Google Scholar] [CrossRef]
- Guo, Y., & Wang, Y. (2024). Exploring the effects of artificial intelligence application on EFL students’ academic engagement and emotional experiences: A mixed-methods study. European Journal of Education, 60, e12812. [Google Scholar] [CrossRef]
- Guo, Y., Wang, Y., & Ortega-Martín, J. (2023). The impact of blended learning-based scaffolding techniques on learners’ self-efficacy and willingness to communicate. Porta Linguarum, 40(2), 253–273. [Google Scholar] [CrossRef]
- Hamari, J., Shernoff, D. J., Rowe, E., Coller, B., Asbell-Clarke, J., & Edwards, T. (2016). Challenging games help students learn: An empirical study on engagement, flow and immersion in game-based learning. Computers in Human Behavior, 54, 170–179. [Google Scholar] [CrossRef]
- He, Z., Liu, Y., Wang, X., Li, R., & Lv, N. (2023). Gamified entrepreneurship courses motivate college students’ Satisfaction: An integrated flow framework. SAGE Open, 13(2), 21582440231177029. [Google Scholar] [CrossRef]
- Hiver, P., Mercer, S., & Al-Hoorie, A. (2021). Engagement: The active verb between the curriculum and learning. In P. Hiver, A. Al-Hoorie, & S. Mercer (Eds.), Student engagement in the language classroom (pp. 280–287). Bristol, Blue Ridge Summit: Multilingual Matters. [Google Scholar] [CrossRef]
- Hong, J. C., Hwang, M. Y., Tai, K. H., & Lin, P. H. (2017). Intrinsic motivation of Chinese learning in predicting online learning self-efficacy and flow experience relevant to students’ learning progress. Computer Assisted Language Learning, 30(6), 552–574. [Google Scholar] [CrossRef]
- Ibrahim, Z. (2020). Sustained flow: Affective obsession in second language learning. Frontiers in Psychology, 10, 2963. [Google Scholar] [CrossRef]
- Jeon, J. (2022). Exploring a self-directed interactive app for informal EFL learning: A self-determination theory perspective. Education and Information Technologies, 27(4), 5767–5787. [Google Scholar] [CrossRef]
- Kim, T. Y., Kim, Y., & Kim, J. Y. (2018). A qualitative inquiry on EFL learning demotivation and resilience: A study of primary and secondary EFL students in South Korea. The Asia-Pacific Education Researcher, 27, 55–64. [Google Scholar] [CrossRef]
- Kim, T. Y., Kim, Y., & Kim, J. Y. (2019). Role of resilience in (de) motivation and second language proficiency: Cases of Korean elementary school students. Journal of Psycholinguistic Research, 48, 371–389. [Google Scholar] [CrossRef] [PubMed]
- Kim, T. Y., & Kim, Y. K. (2017). The impact of resilience on L2 learners’ motivated behaviour and proficiency in L2 learning. Educational Studies, 43(1), 1–15. [Google Scholar] [CrossRef]
- Kline, R. B. (2023). Principles and practice of structural equation modeling (5th ed.). Guilford Publications. [Google Scholar]
- Kuh, G. D. (2009). What student affairs professionals need to know about student engagement. Journal of College Student Development, 50(6), 683–706. [Google Scholar] [CrossRef]
- Lee, J. S. (2019). Informal digital learning of English and second language vocabulary outcomes: Can quantity conquer quality? British Journal of Educational Technology, 50(2), 767–778. [Google Scholar] [CrossRef]
- Lee, J. S. (2020). Informal digital learning of English and strategic competence for cross-cultural communication: Perception of varieties of English as a mediator. ReCALL, 32(1), 47–62. [Google Scholar] [CrossRef]
- Lee, J. S., & Dressman, M. (2018). When IDLE hands make an English workshop: Informal digital learning of English and language proficiency. TESOL Quarterly, 52(2), 435–445. [Google Scholar] [CrossRef]
- Lee, J. S., & Lee, K. (2021). The role of informal digital learning of English and L2 motivational self system in foreign language enjoyment. British Journal of Educational Technology, 52(1), 358–373. [Google Scholar] [CrossRef]
- Lee, J. S., Yeung, N. M., & Osburn, M. B. (2022). Foreign language enjoyment as a mediator between informal digital learning of English and willingness to communicate: A sample of Hong Kong EFL secondary students. Journal of Multilingual and Multicultural Development, 45(9), 3613–3631. [Google Scholar] [CrossRef]
- Lei, H., Cui, Y., & Zhou, W. (2018). Relationships between student engagement and academic achievement: A meta-analysis. Social Behavior and Personality: An International Journal, 46(3), 517–528. [Google Scholar] [CrossRef]
- Li, R., Meng, Z., Tian, M., Zhang, Z., & Xiao, W. (2021). Modelling Chinese EFL learners’ flow experiences in digital game-based vocabulary learning: The roles of learner and contextual factors. Computer Assisted Language Learning, 34(4), 483–505. [Google Scholar] [CrossRef]
- Li, W. (2022). Resilience among language learners: The roles of support, self-efficacy, and buoyancy. Frontiers in Psychology, 13, 854522. [Google Scholar] [CrossRef]
- Liu, G. (2022). Review of the book understanding digital literacies: A practical introduction. Journal of Second Language Writing, 58, 100932. [Google Scholar] [CrossRef]
- Liu, G., Darvin, R., & Ma, C. (2024a). Exploring AI-mediated informal digital learning of English (AI-IDLE): A mixed-method investigation of Chinese EFL learners’ AI adoption and experiences. Computer Assisted Language Learning. Advance Online Publication. [Google Scholar] [CrossRef]
- Liu, G., Darvin, R., & Ma, C. (2024b). Unpacking the role of motivation and enjoyment in AI-mediated informal digital learning of English (AI-IDLE): A mixed-method investigation in the Chinese context. Computers in Human Behaviors, 160, 108362. [Google Scholar] [CrossRef]
- Liu, G., Ma, C., Bao, J., & Liu, Z. (2023a). Toward a model of informal digital learning of English and intercultural competence: A large-scale structural equation modeling approach. Computer Assisted Language Learning. [Google Scholar] [CrossRef]
- Liu, G., Zhang, Y., & Zhang, R. (2023b). Bridging imagination and informal digital learning of English: A mixed-method investigation. Journal of Multilingual and Multicultural Development. [Google Scholar] [CrossRef]
- Liu, G., Zhang, Y., & Zhang, R. (2024c). Examining the relationships among motivation, informal digital learning of English, and foreign language enjoyment: An explanatory mixed-method study. ReCALL, 36(1), 72–88. [Google Scholar] [CrossRef]
- Liu, G., Zou, M., Soyoof, A., & Chiu, M. (2024d). Untangling the relationship between AI-mediated informal digital learning of English (AI-IDLE), foreign language enjoyment and the ideal L2 Self: Evidence from chinese university EFL students. European Journal of Education. [Google Scholar] [CrossRef]
- Liu, G. L., & Wang, Y. (2024). Modeling EFL teachers’ intention to integrate informal digital learning of English (IDLE) into the classroom using the theory of planned behavior. System, 120, 103193. [Google Scholar] [CrossRef]
- Liu, H., & Chu, W. (2022). Exploring EFL teacher resilience in the Chinese context. System, 105, 102752. [Google Scholar] [CrossRef]
- Liu, H., & Han, X. (2022). Exploring senior high school students’ English academic resilience in the Chinese context. Chinese Journal of Applied Linguistics, 45(1), 49–68. [Google Scholar] [CrossRef]
- Liu, H., & Song, X. (2021). Exploring “Flow” in young Chinese EFL learners’ online English learning activities. System, 96, 102425. [Google Scholar] [CrossRef]
- Liu, H., Zhong, Y., Chen, H., & Wang, Y. (2023c). The mediating roles of resilience and motivation in the relationship between students’ English learning burnout and engagement: A conservation-of-resources perspective. International Review of Applied Linguistics in Language Teaching. [Google Scholar] [CrossRef]
- Liu, W., Gao, Y., Gan, L., & Wu, J. (2022). The role of Chinese language learners’ academic resilience and mindfulness in their engagement. Frontiers in Psychology, 13, 916306. [Google Scholar] [CrossRef] [PubMed]
- Liu, Y., & Huang, X. (2021). Effects of basic psychological needs on resilience: A human agency model. Frontiers in Psychology, 12, 700035. [Google Scholar] [CrossRef] [PubMed]
- Neufeld, A., & Malin, G. (2019). Exploring the relationship between medical student basic psychological need satisfaction, resilience, and well-being: A quantitative study. BMC Medical Education, 19, 405. [Google Scholar] [CrossRef] [PubMed]
- Özhan, Ş. Ç., & Kocadere, S. A. (2020). The effects of flow, emotional engagement, and motivation on success in a gamified online learning environment. Journal of Educational Computing Research, 57(8), 2006–2031. [Google Scholar] [CrossRef]
- Pan, Z., Wang, Y., & Derakhshan, A. (2023). Unpacking Chinese EFL students’ academic engagement and psychological well-being: The roles of language teachers’ affective scaffolding. Journal of Psycholinguistic Research, 52(5), 1799–1819. [Google Scholar] [CrossRef]
- Rezai, A., Soyoof, A., & Reynolds, B. L. (2024a). Ecological factors affecting students’ use of informal digital learning of English: EFL teachers’ perceptions. Teaching and Teacher Education, 145, 104629. [Google Scholar] [CrossRef]
- Rezai, A., Soyoof, A., & Reynolds, B. L. (2024b). Effectiveness of informal digital learning of English on EFL learners’ vocabulary knowledge: A mixed-methods investigation. Computer Assisted Language Learning. [Google Scholar] [CrossRef]
- Rezai, A., Soyoof, A., & Reynolds, B. L. (2024c). Informal digital learning of English and EFL teachers’ job engagement: Exploring the mediating role of technological pedagogical content knowledge and digital competence. System, 122, 103276. [Google Scholar] [CrossRef]
- Ritonga, M., Shaban, A. A., Al-Rashidi, A. H., & Chilani, N. (2023). Engagement in on-line language assessment: Are test-taking skills, self-assessment, resilience, and autonomy critical? Language Testing in Asia, 13(1), 25. [Google Scholar] [CrossRef]
- Ryan, R. M., & Deci, E. L. (2000). Intrinsic and extrinsic motivations: Classic definitions and new directions. Contemporary Educational Psychology, 25(1), 54–67. [Google Scholar] [CrossRef] [PubMed]
- Ryan, R. M., & Deci, E. L. (2017). Self-determination theory: Basic psychological needs in motivation development and wellness. Guilford Press. [Google Scholar]
- Ryan, R. M., & Deci, E. L. (2020). Intrinsic and extrinsic motivation from a self-determination theory perspective. Definitions, theory, practices, and future directions. Contemporary Educational Psychology, 61, 101860. [Google Scholar] [CrossRef]
- Ryan, R. M., Rigby, C. S., & Przybylski, A. (2006). The motivational pull of video games: A self-determination theory approach. Motivation and Emotion, 30, 344–360. [Google Scholar] [CrossRef]
- Santosa, P. (2015). Student engagement with online tutorial: A perspective on flow theory. International Journal of Emerging Technologies in Learning, 10(1), 60–67. [Google Scholar] [CrossRef]
- Shen, Y. (2022). Mitigating students’ anxiety: The role of resilience and mindfulness among Chinese EFL learners. Frontiers in Psychology, 13, 940443. [Google Scholar] [CrossRef] [PubMed]
- Smith, B. W., Dalen, J., Wiggins, K., Tooley, E., Christopher, P., & Bernard, J. (2008). The brief resilience scale: Assessing the ability to bounce back. International Journal of Behavioral Medicine, 15, 194–200. [Google Scholar] [CrossRef] [PubMed]
- Soyoof, A., Reynolds, B. L., Neumann, M. M., & Vazquez-Calvo, B. (2024). Maternal scaffolding of Iranian children’s extramural informal digital learning of English (IDLE): A qualitative study. Early Childhood Education Journal. [Google Scholar] [CrossRef]
- Soyoof, A., Reynolds, B. L., Vazquez-Calvo, B., & McLay, K. (2023). Informal digital learning of English (IDLE): A scoping review of what has been done and a look towards what is to come. Computer Assisted Language Learning, 36(4), 608–640. [Google Scholar] [CrossRef]
- Stormoen, S., Urke, H. B., Tjomsland, H. E., Wold, B., & Diseth, Å. (2016). High school physical education: What contributes to the experience of flow? European Physical Education Review, 22(3), 355–371. [Google Scholar] [CrossRef]
- Sundqvist, P., & Wikström, P. (2015). Out-of-school digital gameplay and in-school L2 English vocabulary outcomes. System, 51, 65–76. [Google Scholar] [CrossRef]
- Tabachnick, B. G., & Fidell, L. S. (2019). Using multivariate statistics (7th ed.). Pearson. [Google Scholar]
- Taherian, T., Shirvan, M. E., Yazdanmehr, E., Kruk, M., & Pawlak, M. (2023). A longitudinal analysis of informal digital learning of English, willingness to communicate and foreign language boredom: A latent change score mediation model. The Asia-Pacific Education Researcher, 33, 997–1010. [Google Scholar] [CrossRef]
- Valenzuela, R., Codina, N., & Pestana, J. V. (2018). Self-determination theory applied to flow in conservatoire music practice: The roles of perceived autonomy and competence, and autonomous and controlled motivation. Psychology of Music, 46(1), 33–48. [Google Scholar] [CrossRef]
- Wang, Q., Gao, Y., & Wang, X. (2024a). Exploring engagement, self-efficacy, and anxiety in large language model EFL learning: A latent profile analysis of chinese university students. International Journal of Human-Computer Interaction. [Google Scholar] [CrossRef]
- Wang, X., Gao, Y., Wang, Q., & Zhang, P. (2024b). Fostering engagement in AI-assisted chinese EFL classrooms: The role of classroom climate, AI literacy, and resilience. European Journal of Education, 60(1), e12874. [Google Scholar] [CrossRef]
- Wang, X., Sun, F., Wang, Q., & Li, X. (2022). Motivation and affordance: A study of graduate students majoring in translation in China. Frontiers in Education, 7, 1010889. [Google Scholar] [CrossRef]
- Wang, Y., & Kruk, M. (2024). Modeling the interaction between teacher credibility, teacher confirmation, and English major students’ academic engagement: A sequential mixed-methods approach. Studies in Second Language Learning and Teaching, 14(2), 235–265. [Google Scholar] [CrossRef]
- Wang, Y. L., Wang, Y. X., Pan, Z. W., & Ortega-Martín, J. L. (2023). The predicting role of EFL students’ achievement emotions and technological self-efficacy in their technology acceptance. The Asia-Pacific Education Researcher, 33, 771–782. [Google Scholar] [CrossRef]
- Wang, Y. L., Wu, H. W., & Wang, Y. S. (2024c). Engagement and willingness to communicate in the L2 classroom: Identifying the latent profiles and their relationship with achievement emotions. Journal of Multilingual and Multicultural Development. [Google Scholar] [CrossRef]
- Wang, Y. L., & Xue, L. N. (2024). Using AI-driven chatbots to foster Chinese EFL students’ academic engagement: An intervention study. Computers in Human Behavior, 159, 108353. [Google Scholar] [CrossRef]
- Wu, D., Xu, J., & Abdinnour, S. (2022). Tablets for problem-solving through a flow theory: The impact of navigation and visual appearance on perceived performance and efficiency. Information Technology & People, 35(1), 142–164. [Google Scholar] [CrossRef]
- Wu, R. (2023). The relationship between online learning self-efficacy, informal digital learning of English, and student engagement in online classes: The mediating role of social presence. Frontiers in Psychology, 14, 1266009. [Google Scholar] [CrossRef] [PubMed]
- Yu, M., Wang, H., & Xia, G. (2022). The review on the role of ambiguity of tolerance and resilience on students’ engagement. Frontiers in Psychology, 12, 828894. [Google Scholar] [CrossRef] [PubMed]
- Zhang, Y., & Liu, G. (2022). Revisiting informal digital learning of English (IDLE): A structural equation modeling approach in a university EFL context. Computer Assisted Language Learning, 37(7), 1904–1936. [Google Scholar] [CrossRef]
- Zhang, Y., & Liu, G. (2023). Examining the impacts of learner backgrounds, proficiency level, and the use of digital devices on informal digital learning of English: An explanatory mixed-method study. Computer Assisted Language Learning. [Google Scholar] [CrossRef]


| Constructs | Items | M | SD | Kurtosis | Skewness | α |
|---|---|---|---|---|---|---|
| Emotional Engagement | EE1 | 3.43 | 0.97 | −0.37 | −0.18 | |
| EE2 | 3.28 | 1.04 | −0.44 | −0.21 | 0.84 | |
| EE3 | 3.74 | 0.94 | −0.16 | −0.48 | ||
| Cognitive Engagement | CE1 | 2.94 | 0.92 | −0.30 | 0.01 | |
| CE2 | 3.50 | 1.02 | −0.44 | −0.29 | 0.83 | |
| CE3 | 3.17 | 1.04 | −0.36 | −0.22 | ||
| Behavioral Engagement | BE1 | 3.06 | 0.96 | −0.40 | 0.08 | |
| BE2 | 3.36 | 0.97 | −0.30 | −0.23 | 0.86 | |
| BE3 | 3.81 | 0.84 | −0.27 | −0.31 | ||
| Resilience | R1 | 3.43 | 1.02 | −0.46 | −0.20 | |
| R2 | 3.56 | 1.03 | −0.66 | −0.25 | ||
| R3 | 3.60 | 0.92 | −0.31 | −0.30 | 0.92 | |
| R4 | 3.49 | 0.99 | −0.50 | −0.20 | ||
| R5 | 3.27 | 0.97 | −0.28 | −0.20 | ||
| R6 | 3.23 | 1.01 | −0.50 | −0.02 | ||
| Flow | F1 | 3.27 | 1.05 | −0.61 | −0.08 | |
| F2 | 3.46 | 0.96 | −0.55 | −0.16 | ||
| F3 | 3.84 | 0.88 | −0.21 | −0.44 | 0.88 | |
| F4 | 3.60 | 1.01 | −0.45 | −0.34 | ||
| F5 | 3.61 | 0.91 | −0.22 | −0.26 | ||
| Perceived Relatedness | PR1 | 3.60 | 0.91 | −0.34 | −0.23 | |
| PR2 | 3.36 | 1.00 | −0.37 | −0.18 | 0.77 | |
| PR3 | 3.53 | 0.94 | −0.38 | −0.28 | ||
| Perceived Autonomy | PA1 | 3.33 | 1.01 | −0.58 | −0.08 | |
| PA2 | 3.68 | 0.94 | −0.47 | −0.30 | 0.78 | |
| PA3 | 3.57 | 0.98 | −0.67 | −0.14 | ||
| Perceived Competence | PC1 | 3.52 | 1.02 | −0.36 | −0.32 | |
| PC2 | 3.54 | 1.06 | −0.52 | −0.33 | 0.80 | |
| PC3 | 3.71 | 0.85 | −0.16 | −0.26 |
| AVE | CR | Constructs | EE | CE | BE | R | F | PR | PA | PC |
|---|---|---|---|---|---|---|---|---|---|---|
| 0.64 | 0.84 | EE | 0.80 | |||||||
| 0.62 | 0.83 | CE | 0.28 | 0.78 | ||||||
| 0.67 | 0.86 | BE | 0.28 | 0.38 | 0.82 | |||||
| 0.66 | 0.92 | R | 0.43 | 0.42 | 0.52 | 0.81 | ||||
| 0.60 | 0.88 | F | 0.39 | 0.45 | 0.49 | 0.23 | 0.78 | |||
| 0.52 | 0.77 | PR | 0.24 | 0.24 | 0.35 | 0.35 | 0.40 | 0.72 | ||
| 0.54 | 0.78 | PA | 0.23 | 0.21 | 0.25 | 0.28 | 0.37 | −0.01 | 0.73 | |
| 0.59 | 0.81 | PC | 0.07 | 0.07 | 0.09 | 0.31 | −0.03 | −0.05 | −0.06 | 0.77 |
| X2/df | CFI | NFI | IFI | RMSEA | TLI | SRMR | PNFI | |
|---|---|---|---|---|---|---|---|---|
| Our Model | 1.15 | 0.99 | 0.95 | 0.99 | 0.02 | 0.99 | 0.03 | 0.94 |
| RV | <5 | >0.90 | >0.90 | >0.90 | <0.10 | >0.90 | <0.05 | >0.5 |
| Hypotheses | β | P | t | S.E. | Results |
|---|---|---|---|---|---|
| H1: PC→F | 0.008 | 0.863 | 0.172 | 0.055 | Rejected |
| H2: PC→R | 0.339 | *** | 6.982 | 0.058 | Accepted |
| H3: PA→F | 0.368 | *** | 6.992 | 0.06 | Accepted |
| H4: PA→R | 0.305 | *** | 6.168 | 0.057 | Accepted |
| H5: PR→F | 0.405 | *** | 7.548 | 0.062 | Accepted |
| H6: PR→R | 0.372 | *** | 7.305 | 0.06 | Accepted |
| H7: F→BE | 0.393 | *** | 8.483 | 0.047 | Accepted |
| H8: F→CE | 0.370 | *** | 7.365 | 0.046 | Accepted |
| H9: F→EE | 0.301 | *** | 6.131 | 0.047 | Accepted |
| H10: R→BE | 0.426 | *** | 9.362 | 0.046 | Accepted |
| H11: R→CE | 0.331 | *** | 6.854 | 0.043 | Accepted |
| H12: R→EE | 0.358 | *** | 7.342 | 0.046 | Accepted |
| Hypotheses | 95% Confidence Interval | p (Two-Tailed Significance) | Indirect Effect | Results | |
|---|---|---|---|---|---|
| Lower Bound | Upper Bound | ||||
| PC→F→BE | −0.28 | 0.045 | 0.836 | 0.004 | rejected |
| PC→F→CE | −0.26 | 0.037 | 0.876 | 0.004 | rejected |
| PC→F→EE | −0.22 | 0.032 | 0.836 | 0.003 | rejected |
| PA→F→BE | 0.122 | 0.231 | 0.009 | 0.144 | accepted |
| PA→F→CE | 0.100 | 0.191 | 0.012 | 0.137 | accepted |
| PA→F→EE | 0.077 | 0.163 | 0.013 | 0.111 | accepted |
| PR→F→BE | 0.135 | 0.242 | 0.014 | 0.156 | accepted |
| PR→F→CE | 0.118 | 0.220 | 0.006 | 0.148 | accepted |
| PR→F→EE | 0.096 | 0.190 | 0.006 | 0.120 | accepted |
| PC→R→BE | 0.115 | 0.223 | 0.018 | 0.146 | accepted |
| PC→R→CE | 0.085 | 0.175 | 0.005 | 0.112 | accepted |
| PC→R→EE | 0.099 | 0.190 | 0.011 | 0.122 | accepted |
| PA→R→BE | 0.114 | 0.199 | 0.007 | 0.129 | accepted |
| PA→R→CE | 0.072 | 0.150 | 0.007 | 0.099 | accepted |
| PA→R→EE | 0.087 | 0.162 | 0.010 | 0.108 | accepted |
| PR→R→BE | 0.141 | 0.247 | 0.007 | 0.159 | accepted |
| PR→R→CE | 0.093 | 0.177 | 0.005 | 0.122 | accepted |
| PR→R→EE | 0.117 | 0.210 | 0.004 | 0.133 | accepted |
Disclaimer/Publisher’s Note: The statements, opinions and data contained in all publications are solely those of the individual author(s) and contributor(s) and not of MDPI and/or the editor(s). MDPI and/or the editor(s) disclaim responsibility for any injury to people or property resulting from any ideas, methods, instructions or products referred to in the content. |
© 2025 by the authors. Licensee MDPI, Basel, Switzerland. This article is an open access article distributed under the terms and conditions of the Creative Commons Attribution (CC BY) license (https://creativecommons.org/licenses/by/4.0/).
Share and Cite
Gao, Y.; Wang, X.; Reynolds, B.L. The Mediating Roles of Resilience and Flow in Linking Basic Psychological Needs to Tertiary EFL Learners’ Engagement in the Informal Digital Learning of English: A Mixed-Methods Study. Behav. Sci. 2025, 15, 85. https://doi.org/10.3390/bs15010085
Gao Y, Wang X, Reynolds BL. The Mediating Roles of Resilience and Flow in Linking Basic Psychological Needs to Tertiary EFL Learners’ Engagement in the Informal Digital Learning of English: A Mixed-Methods Study. Behavioral Sciences. 2025; 15(1):85. https://doi.org/10.3390/bs15010085
Chicago/Turabian StyleGao, Yang, Xiaochen Wang, and Barry Lee Reynolds. 2025. "The Mediating Roles of Resilience and Flow in Linking Basic Psychological Needs to Tertiary EFL Learners’ Engagement in the Informal Digital Learning of English: A Mixed-Methods Study" Behavioral Sciences 15, no. 1: 85. https://doi.org/10.3390/bs15010085
APA StyleGao, Y., Wang, X., & Reynolds, B. L. (2025). The Mediating Roles of Resilience and Flow in Linking Basic Psychological Needs to Tertiary EFL Learners’ Engagement in the Informal Digital Learning of English: A Mixed-Methods Study. Behavioral Sciences, 15(1), 85. https://doi.org/10.3390/bs15010085

