Abstract
Background/Objectives: Facial melasma is a common, chronic, and relapsing hyperpigmentation disorder, affecting up to 40% of adult women in Southeast Asia. Although most cases are mild, the condition may have a considerable psychological impact. Ocular photoaging diseases are also common and have been increasingly recognized in aging populations exposed to chronic sunlight. Ultraviolet (UV) radiation is implicated in both melasma and ocular photoaging; however, their relationship remains unclear. Methods: This cross-sectional study investigated the association between facial melasma and UV-induced ocular conditions among 315 participants aged 30–80 years at Walailak University Hospital, Thailand. Facial melasma was diagnosed clinically and dermoscopically, with severity assessed using the modified Melasma Area Severity Index. Ophthalmological examinations evaluated UV-related ocular conditions, including pinguecula, pterygium, climatic droplet keratopathy, cataracts, and age-related macular degeneration. Logistic regression analyses were performed, adjusting for age, sex, and sun exposure. Results: Facial melasma was identified in 66.0% of participants (n = 208), and nuclear cataracts were significantly associated with melasma (adjusted odds ratio, 2.590; 95% confidence interval, 1.410–4.770; p = 0.002). Additionally, melasma severity correlated with nuclear cataract severity (ρ = 0.186, p = 0.001). Other ocular conditions were not significantly associated with melasma. Conclusions: These findings suggest a shared UV-related pathogenesis between facial melasma and nuclear cataracts. Sun protection measures, including regular sunscreen use, UV-blocking eyewear, and wide-brimmed hats, may help mitigate the risk of both conditions. Further multicenter studies are warranted to confirm these findings and explore the underlying mechanisms.
1. Introduction
Melasma is a prevalent acquired hyperpigmentation disorder that primarily affects women, particularly those with a dark skin tone. It is characterized by symmetrical brown to grayish-blue patches, most commonly appearing on sun-exposed areas of the face [1,2]. The prevalence of melasma varies significantly, ranging from 1 to 50%, depending on the study population [1]. In Southeast Asia, melasma affects approximately 40% of adult women and 20% of adult men [3]. Du et al. reported that the prevalence of melasma in Indonesia reached 100% among individuals aged 41–50 years [4]. The risk factors for melasma include hormonal changes, genetic predisposition, thyroid disorders, psychological stress, air pollution, and ultraviolet (UV) radiation [5,6,7,8]. Ultraviolet radiation can be categorized into three regions: UVA (315–400 nm), UVB (280–320 nm), and UVC (100–280 nm) [9]. Ultraviolet radiation, particularly UVA and UVB, is a key trigger of melasma, driving increased melanogenesis and contributing to hyperpigmentation. It causes deoxyribonucleic acid (DNA) damage and induces skin inflammation by stimulating melanogenic cytokines and growth factors that enhance melanin production. UV radiation can induce up to 10,000 DNA lesions per cell per day. In response, cells activate the DNA damage checkpoint, leading to cell cycle arrest to facilitate repair. If the damage is irreparable, programmed cell death (apoptosis) may occur to maintain genomic integrity [10]. In melasma, ultraviolet-induced oxidative stress exacerbates pigmentation by upregulating melanocyte-specific genes and enhancing melanin synthesis [11,12,13]. Ultraviolet exposure significantly contributes to the key pathomechanisms of melasma, including the inappropriate activation of melanocytes, aggregation of melanin and melanosomes in the dermis and epidermis, increased mast cell count along with solar elastosis, alterations in the basement membrane, and enhanced vascularization [14].
Ultraviolet radiation not only causes photochemical damage to cellular DNA, leading to photo-related conditions such as melasma, but also contributes to ocular photoaging diseases. The cornea absorbs a substantial amount of UV radiation, particularly UVB and UVC [15]. Chronic UV exposure induces genetic instability and conjunctival inflammation, thereby disrupting the tear film. Additionally, UV radiation triggers oxidative stress, resulting in the accumulation of reactive oxygen species (ROS) and mitochondrial apoptosis in corneal epithelial cells, which contribute to the development of various corneal lesions [16,17]. Exposure to UV-B is a recognized risk factor for lens abnormalities, as the lens absorbs most of the UV radiation that reaches it. The anterior capsule filters approximately 60% of this radiation; however, prolong exposure can induce oxidative stress, apoptosis in lens epithelial cells, and the formation of cortical opacities [18]. Although the retina receives minimal UV radiation, approximately 1% below 340 nm and 2% between 340–360 nm, it remains vulnerable to damage. Ultraviolet-A radiation can penetrate deeper into the eye, causing oxidative stress and potentially contributing to degenerative diseases [19]. Common eye conditions or diseases associated with UV radiation exposure include those affecting the conjunctiva and cornea (e.g., pinguecula, pterygium, and climatic droplet keratopathy), lens (e.g., cataracts), and retina (e.g., age-related macular degeneration) [20,21,22].
As melasma and the aforementioned eye conditions or diseases share pathophysiological mechanisms involving UV radiation exposure, they are often observed together in clinical practice. However, few studies have investigated the relationship between these conditions. Therefore, researchers have initiated studies to explore the association between facial melasma and UV radiation-related eye diseases.
2. Materials and Methods
2.1. Study Design and Participants
This cross-sectional study was conducted between March 2024 and February 2025 at the Walailak University Hospital in Thailand following approval by the Walailak University Ethics Committee (WUEC-24-055-01). Written informed consent was obtained from all participants after a comprehensive explanation of the study. This study adhered to the principles of the Declaration of Helsinki and the International Conference on Harmonization of Good Clinical Practice. This study was registered with the Thai Clinical Trials Registry (TCTR20240409006). Participants were recruited at a general practitioner clinic by a non-physician investigator to minimize undue bias. Eligible participants aged 30–80 years underwent thorough skin examinations by a dermatologist and comprehensive eye assessments by an ophthalmologist. Exclusion criteria included a history of bilateral ocular surgery or laser treatment, pregnancy or lactation, recent treatment for facial melasma within the past six months, and current use of retinoids or hormone therapy.
2.2. Data Collection
Baseline characteristics, including sex, age, occupation, history of ocular trauma or microtrauma, comorbidities, current medications, smoking and drinking habits, family history of melasma, and frequency of wearing sunglasses, were collected. Additionally, factors related to photoaging diseases and the Sun Exposure and Protection Index (SEPI) [23] used to estimate sun-related habits were recorded. The SEPI includes two parts: Sun Exposure Habits (Part I), with scores between 0–32 indicating increased UV risk exposure, and the Propensity to Increase Sun Protection (Part II), with scores between 0–20, with higher scores reflecting a lower likelihood of adopting sun protection measures. Melasma was identified by a dermatologist (W.T.) based on clinical manifestations and dermoscopic findings [2,24]. Melasma was assessed using the modified Melasma Area Severity Index (mMASI), with scores between 0–24 [25]. Facial photographs were captured for documentation. Each participant underwent a comprehensive ophthalmological examination using a slit-lamp biomicroscope (Haag-Streit BQ900, Berne, Switzerland). The typical clinical presentations of facial melasma and ocular photoaging diseases are summarized in Supplementary Table S1 [1,2,26,27,28,29,30,31,32,33]. Severity of ocular conditions, including pinguecula, pterygium, climatic droplet keratopathy, nuclear cataract, cortical cataract, posterior subcapsular cataract, and age-related macular degeneration, was assessed and rated on scales between 0–2, 0–3, 0–3, 1–7, 0–5, 0–5, and 0–5, respectively [26,34,35,36,37]. The higher score from either eye was recorded for the analysis.
2.3. Sample Size Calculation
Sample size was calculated using the following formula to estimate an infinite population proportion in a two-tailed test:
Based on the study by Viso et al. [38], the parameters used for the calculation were a population proportion (p) of 0.25, margin of error (d) of 0.05, significance level (α) of 0.05, and Z-value (Z0.975) of 1.96. Using these values, the initial calculation yielded the required sample size of 289 participants. The sample size was increased to 332 participants to account for a potential loss of 15% at follow-up. This adjustment ensured that the study achieved a 95% confidence level and 80% statistical power, corresponding to an effect size of 0.22.
2.4. Statistical Analysis
Descriptive statistics, including frequency, percentage, mean, median, standard deviation, and interquartile range (IQR), were calculated. Relationships between variables were analyzed using odds ratios (ORs) with 95% confidence intervals (CIs). Correlations were assessed using the Pearson or Spearman correlation coefficients, depending on data distribution. Multivariate logistic regression analysis, adjusted for age, sex, and duration of sun exposure, was used to evaluate the association between facial melasma and sunlight-related ocular diseases. Receiver operating characteristic (ROC) curve analysis was performed to assess the discriminatory ability of facial melasma in predicting nuclear cataracts. Normality and multicollinearity assumptions were evaluated prior to the analysis. All statistical analyses were conducted using R version 4.3.2, except for the ROC curve analysis, which was performed using SPSS version 18 (IBM Corp., Armonk, NY, USA). Statistical significance was set at p < 0.05.
3. Results
A total of 316 participants were recruited in this study. One participant was excluded because of an incomplete questionnaire, leaving 315 participants for the final analysis. The study population was predominantly female (n = 226, 71.7%). Median age was 64.0 years (IQR: 17.0) and median body mass index (BMI) was 24.2 (IQR: 4.67). Details of the participants’ characteristics are presented in Table 1. Information on common medications associated with melasma and ocular photoaging diseases was collected, with statins being the most frequently used (n = 126, 40.0%). None of the participants reported the use of hormones, steroids, anticonvulsants, prolonged non-steroidal anti-inflammatory drugs, prolonged doxycycline, amiodarone, or hydroxychloroquine. Most of the participants were government employees (n = 165, 52.3%), followed by those engaged in agriculture (n = 55, 17.5%). Unemployed individuals (n = 38, 12.1%), business owners (n = 20, 6.3%), and the remaining participants, categorized under other occupations (n = 37, 11.8%), were also represented.
Table 1.
Demographic characteristics of the participants.
We found that the participants presented with the following conditions: pinguecula (n = 240, 76.2%), pterygium (n = 117, 37.1%), nuclear cataract (n = 216, 68.6%), cortical cataract (n = 59, 18.7%), posterior subcapsular cataract (n = 19, 6.0%), and age-related macular degeneration (n = 11, 3.5%). No climatic droplet keratopathy was detected in any participant. Melasma was observed in 208 (66.0%) participants. Participants without facial melasma and ocular photoaging diseases accounted for 107 cases (34.0%). Median severity scores for ocular and dermatological conditions were as follows: pinguecula, 1.0 (IQR: 1.0); pterygium, 0.0 (IQR: 2.0); nuclear cataract, 2.0 (IQR: 3.0); cortical cataract, 0.0 (IQR: 0.0); posterior subcapsular cataract, 0.0 (IQR: 0.0); age-related macular degeneration, 0.0 (IQR: 0.0); and melasma, based on mMASI, 1.8 (IQR: 3.6).
Univariate logistic regression analysis revealed a significant association between melasma and nuclear cataracts (OR: 3.239, 95% CI: 1.966–5.336, p < 0.001), whereas no significant associations were found with other ocular photoaging diseases (Table 2).
Table 2.
Univariate logistic regression analysis of the association between facial melasma and ocular photoaging diseases.
After the univariate logistic regression analysis of the presence of nuclear cataracts (Table 3), several significant associations were identified. Age was inversely associated with the presence of nuclear cataract (OR, 0.035; 95% CI, 0.010–0.119; p < 0.001). Higher BMI (OR: 0.393, 95% CI: 0.086–1.800, p = 0.027), hypertension (OR: 1.958, 95% CI: 1.153–3.324, p = 0.013), dyslipidemia (OR: 2.354, 95% CI: 1.411–3.926, p = 0.001), statin use (OR: 2.257, 95% CI: 1.345–3.786, p = 0.002), and the presence of melasma (OR: 3.238, 95% CI: 1.964–5.338, p < 0.001) were also significantly associated with the presence of nuclear cataract. Univariate and multivariate logistic regression analyses for other ocular photoaging diseases, including pinguecula, pterygium, cortical cataracts, posterior subcapsular cataracts, and age-related macular degeneration, are shown in Supplementary Tables S2–S10. Univariate and multivariate logistic regression analyses for facial melasma are shown in Supplementary Tables S11 and S12.
Table 3.
Univariate logistic regression analysis with respect to the presence of nuclear cataract.
As shown in Table 4, the multivariate logistic regression analysis identified three significant associations with the presence of nuclear cataracts. Age was positively associated (adjusted OR, 1.080; 95% CI, 1.050–1.110; p < 0.001) with the presence of nuclear cataract, whereas the presence of melasma was significantly associated with the presence of nuclear cataract (adjusted OR, 2.590; 95% CI, 1.410–4.770; p = 0.002). Additionally, wearing sunglasses outdoors was inversely associated with the presence of nuclear cataract (adjusted OR, 0.519; 95% CI, 0.268–0.978; p = 0.046). In the univariate analysis, wearing sunglasses outdoors was not significantly associated with nuclear cataracts; however, it became significant in the multivariate model after adjusting for potential confounders. Additionally, the Spearman’s rank correlation coefficient revealed a significant positive association (ρ = 0.186, p = 0.001, n = 315). This finding suggests that higher melasma severity is associated with greater nuclear cataract severity. Although the correlation coefficient indicates a modest relationship, the statistical significance highlights a meaningful link between the two conditions.
Table 4.
Multivariate logistic regression analysis with respect to the presence of nuclear cataract.
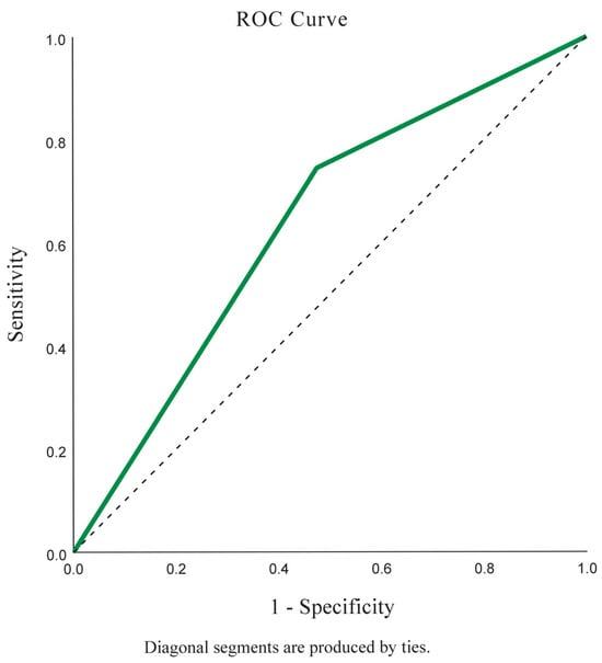
The ROC analysis assessing facial melasma as a predictor of nuclear cataracts yielded an Area Under the Curve of 0.635 (95% CI, 0.578–0.693), indicating fair discriminatory ability (Figure 1). The model demonstrated a sensitivity of 74.54%, specificity of 52.53%, and Youden index of 0.27, indicating good detection capability but a moderate false-positive rate. The positive predictive value was 77.4%, while the negative predictive value was 48.6%.
Figure 1.
Receiver operating characteristic (ROC) curve for facial melasma as a predictor of nuclear cataracts.
4. Discussion
Facial melasma and ocular photoaging diseases share a common risk factor: sun exposure [8,20,21,22]. However, studies exploring the link between these factors are limited. This study aimed to evaluate the relationship between facial melasma and UV-related eye diseases. Our findings showed that individuals with facial melasma had a 2.6-fold increased risk of developing nuclear cataracts, even after adjusting for age, sex, sun exposure, and other potential factors. Wearing sunglasses outdoors was associated with a 48% lower risk of nuclear cataract. Among individuals with melasma, the sensitivity for detecting nuclear cataracts was approximately 75%, whereas the specificity was approximately 53%.
Nuclear cataracts typically develop between the ages of 40 and 50, with their prevalence increasing significantly with age [39,40,41]. Similarly, our study demonstrated that for every one-year increase in age, the chance of developing a nuclear cataract significantly increases by 8%. This can be explained by a multifactorial process involving biochemical changes in the lens, oxidative stress, lifestyle factors, systemic health conditions, and environmental influences [41,42,43]. Exposomes, which include all the environmental factors experienced over a lifetime, play a crucial role in the development and progression of various health conditions. In cataracts and melasma, UV radiation is a major factor that drives disease development and contributes to its progression [44,45,46]. The UV index in Thailand is classified as extreme, exceeding 11 [47]. Among various locations, Southern Thailand has the highest UV index, averaging approximately 14 and potentially peaking at 15, especially during summer [48,49]. Thailand experiences consistently high temperatures owing to its geographical position within the tropics, where solar radiation is intense year-round. During summer, temperatures can reach up to 44 °C, with a rising trend over time [50,51]. Miyashita et al. found that eyes with high cumulative ocular UV exposure had significantly higher odds of developing nuclear cataracts (odds ratio, 5.35), posterior subcapsular cataracts (1.87), and retinal detachment (1.35) [52]. Prolonged exposure to sunlight exceeding 5 h per day was associated with a substantial increase in cataract prevalence, with 67.8% of cases classified as nuclear cataracts, followed by cortical (27.1%), anterior subcapsular (3.5%), and posterior subcapsular (1.6%) cataracts [53]. Kinoshita et al. reported a strong correlation between the prevalence of nuclear cataracts and combined effects of UV exposure and cumulative equivalent minutes at 43 °C, derived from computed lens temperature, with an adjusted coefficient of determination of 0.933 (p < 0.0001). Among the contributing factors, cumulative heat stress accounts for 52% of nuclear cataract prevalence, exceeding the impact of UV radiation (31%), and a decline in lens repair capacity (17%) [54]. Similarly, Kodera et al. demonstrated that cumulative heat exposure showed a stronger correlation with nuclear cataract prevalence, with an adjusted coefficient of determination of 0.920 when solar radiation was included and 0.850 without solar radiation [55]. The lens is exposed to UV radiation, with UVB and UVA being the most significant contributors to cataract formation [18,56]. In addition to UV radiation, short-wavelength visible lights, such as violet (407 nm) and blue (463 nm) lights, have been shown to induce cataract formation in ex vivo studies using porcine lenses [57]. The scattering of light within the lens varies depends on wavelength, with shorter wavelengths scattering more centrally and longer wavelengths scattering more towards the periphery. Notably, studies have suggested that shorter wavelengths experience greater scattering in the central region of the lens, which aligns with the characteristics of nuclear cataracts, in which central lens opacity is a defining feature [58]. Ultraviolet radiation contributes to cataract formation by generating ROS, which oxidize lens proteins, accelerate apoptosis, and promote protein aggregation, leading to opacity [59,60,61]. Key molecular changes include tryptophan oxidation, tyrosine crosslinking, and the accumulation of advanced glycation end products, which drive protein crosslinking and lens yellowing [56]. Additionally, ROS induce DNA damage and epigenetic modifications that impair repair mechanisms. Furthermore, epigenetic alterations disrupt stress response genes, whereas mitochondrial dysfunction activates apoptotic pathways and accelerates cataract progression [61,62,63].
Melasma is a multifactorial pigmentation disorder, with UV radiation and visible light—particularly blue light—being key contributing factors [64,65]. Heat also plays a significant role in melasma pathogenesis. One study found a significant association (p = 0.003) and positive correlation between prolonged exposure to cooking or occupational heat and increased melasma severity [66]. Ultraviolet radiation induces melasma through multiple molecular mechanisms, including the upregulation of MC1R, GDA, and NQO1, which enhances melanogenesis, while downregulating H19 and PPARA, thereby affecting p53 signaling and lipid metabolism. Additionally, 0WIF-1 modulation affects the Wnt/β-catenin pathway, further contributing to the development of melasma. Histologically, UV radiation promotes melanin production via fibroblast and keratinocyte signaling, degrades the basement membrane through matrix metalloproteinase activation, induces pendulous melanocytes, and disrupts lipid metabolism by altering sterol regulatory element-binding proteins and peroxisome proliferator-activated receptor gamma, leading to impaired skin barrier function [11]. Moreover, increased cutaneous temperature can act as a stimulus for melasma development, similar to UV exposure [67]. Heat exposure promotes melanocyte differentiation and activates signaling pathways involved in melanogenesis, including the mitogen-activated protein kinase pathway, which is a key mediator of UVB- and stress-induced melanogenesis. Specifically, heat activates extracellular signal-regulated kinases and p38, both of which are essential for melanocyte function and melanin production. Notably, when combined with UVB radiation, heat significantly enhances tyrosinase activation and melanogenesis compared with UVB exposure alone [68]. These findings highlight the complex interplay between UV radiation and heat in the pathogenesis of melasma.
To our knowledge, this is one of the first studies to systematically explore this association, providing valuable epidemiological insight into the broader effects of chronic UV exposure and photoaging. Our study demonstrated the co-occurrence of facial melasma and nuclear cataracts, along with a significant association between their severities. These findings highlight the importance of protection against the sun. Sun protection is the cornerstone of melasma management, preventing exacerbation and supporting treatment. Educating patients about the significance of sun protection and promoting adherence through accessible and affordable options can improve outcomes. Regular application of broad-spectrum sunscreen (sun protection factor ≥ 30), wearing hats, and seeking shade further enhance protection [9,69]. Similarly, sun protection is essential in preventing nuclear cataracts by reducing UV exposure. Approximately 41% of participants did not wear sunglasses outdoors, highlighting the need to raise awareness and promote the use of protective eyewear, particularly in regions with high UV index. Wearing sunglasses that block UVA and UVB, using hats and protective clothing, and avoiding direct sunlight during peak hours can significantly lower the risk of cataracts and other UV-related eye conditions [18,70]. Importantly, our findings suggest that facial melasma may serve as a visible marker of chronic UV exposure, potentially reflecting underlying or developing ocular changes such as nuclear cataracts. Recognizing this relationship supports the idea of integrated screening approaches and reinforces the importance of collaborative preventive strategies between dermatology and ophthalmology. Early evaluation of nuclear cataracts in individuals with facial melasma may be beneficial. Early detection enables timely surgical intervention, prevents cataract progression, improves postoperative visual outcomes, and enhances the quality of life [71,72]. Additionally, early management of nuclear cataracts can reduce the risk of postoperative complications, such as cystoid macular edema and hemorrhagic pigment epithelial detachment, which are more common in advanced nuclear cataracts [73].
This study has several limitations. First, the single-center study design may limit the generalizability of the findings, as differences in melasma and nuclear cataract prevalence across regions with varying UV indices could affect the observed associations. Multicenter studies have provided a broader perspective, particularly for populations with higher sun exposure. Second, the dynamic nature of facial melasma may affect its correlation with ocular photoaging diseases [74]. Melasma severity fluctuates due to seasonal and environmental factors, indicating that a single time-point assessment may not fully capture its relationship with ocular conditions. A prospective year-round study could help address this limitation. Third, unmeasured confounding factors, such as dietary habits, genetic predisposition, and cumulative sun exposure, were not accounted for and may have influenced the observed associations. Future studies should incorporate these variables to enhance the robustness of the findings. Fourth, the limited statistical power for certain ocular conditions is a limitation. Although facial melasma was significantly associated with nuclear cataracts, no significant association was observed with other ocular diseases. A larger sample size may be required to reliably detect such associations. Fifth, this study focused on the association between facial melasma and ocular photoaging diseases rather than developing a predictive model. A scoring system was not created due to the limited sample size and the risk of overfitting. Future studies with larger cohorts should explore predictive modeling to assess its clinical utility in identifying nuclear cataract risk, particularly in individuals with facial melasma.
5. Conclusions
This study demonstrated a significant association between facial melasma and nuclear cataracts, suggesting that cumulative UV exposure contributes to the pathogenesis of both conditions. Individuals with facial melasma have a 2.6-fold higher risk of developing nuclear cataracts independent of age, sex, and sun exposure habits. Additionally, a significant correlation was observed between melasma severity and nuclear cataracts. Protective measures, such as regular sunscreen use, UV-blocking eyewear, and wearing a wide-brimmed hat, were associated with a lower risk of nuclear cataracts, reinforcing the importance of comprehensive sun protection in preventing photoaging-related diseases. These findings highlight the need for further multicenter studies to confirm this relationship and investigate potential shared pathophysiological mechanisms.
Supplementary Materials
The following supporting information can be downloaded at: https://www.mdpi.com/article/10.3390/medsci13020061/s1, Table S1: Typical clinical presentations of facial melasma and ocular photoaging diseases; Table S2: Univariate logistic regression analysis with respect to the presence of pinguecula; Table S3: Multivariate logistic regression analysis with respect to the presence of pinguecula; Table S4: Univariate logistic regression analysis with respect to the presence of pterygium; Table S5: Multivariate logistic regression analysis with respect to the presence of pterygium; Table S6: Univariate logistic regression analysis with respect to the presence of cortical cataract; Table S7: Multivariate logistic regression analysis with respect to the presence of cortical cataract; Table S8: Univariate logistic regression analysis with respect to the presence of posterior subcapsular cataract; Table S9: Multivariate logistic regression analysis with respect to the presence of posterior subcapsular cataract; Table S10: Univariate logistic regression analysis with respect to the presence of age-related macular degeneration; Table S11: Univariate logistic regression analysis with respect to the presence of facial melasma; Table S12: Multivariate logistic regression analysis with respect to the presence of facial melasma.
Author Contributions
Conceptualization, W.T. and L.U.; methodology, W.T. and L.U.; validation, L.U., C.E. and W.T.; formal analysis, W.T. and L.U.; investigation, L.U., C.E. and W.T.; resources, L.U.; data curation, W.T. and L.U.; writing—original draft preparation, W.T. and L.U.; writing—review and editing, all authors; visualization, W.T.; project administration, W.T. and L.U. All authors have read and agreed to the published version of the manuscript.
Funding
This research received no external funding.
Institutional Review Board Statement
This study was approved by the Walailak University Ethics Committee (WUEC-24-055-01).
Informed Consent Statement
Written informed consent was obtained from all subjects involved in the study.
Data Availability Statement
All data supporting the reported results are included in this article.
Acknowledgments
We sincerely thank The Royal College of Physicians of Thailand (RCPT) for providing statistical expertise and valuable consultation on data analysis for this study.
Conflicts of Interest
The authors declare no conflicts of interest.
References
- Ogbechie-Godec, O.A.; Elbuluk, N. Melasma: An Up-to-Date Comprehensive Review. Dermatol. Ther. 2017, 7, 305–318. [Google Scholar] [CrossRef]
- Bostan, E.; Cakir, A. The dermoscopic characteristics of melasma in relation to different skin phototypes, distribution patterns and wood lamp findings: A cross-sectional study of 236 melasma lesions. Arch. Dermatol. Res. 2023, 315, 1927–1938. [Google Scholar] [CrossRef]
- Dessinioti, C.; Katsambas, A. Melasma. In Hyperpigmentation; Taylor & Francis Group: Abingdon, UK, 2017; pp. 23–29. [Google Scholar] [CrossRef]
- Du, Y.; Doraiswamy, C.; Mao, J.; Zhang, Q.; Liang, Y.; Du, Z.; Vasantharaghavan, R.; Joshi, M.K. Facial skin characteristics and concerns in Indonesia: A cross-sectional observational study. Ski. Res. Technol. 2022, 28, 719–728. [Google Scholar] [CrossRef]
- Jadotte, Y.T.; Schwartz, R.A. Melasma: Insights and perspectives. Acta Dermatovenerol. Croat. 2010, 18, 124–129. [Google Scholar]
- Holmo, N.F.; Ramos, G.B.; Salomão, H.; Werneck, R.I.; Mira, M.T.; Miot, L.D.B.; Miot, H.A. Complex segregation analysis of facial melasma in Brazil: Evidence for a genetic susceptibility with a dominant pattern of segregation. Arch. Dermatol. Res. 2018, 310, 827–831. [Google Scholar] [CrossRef]
- Roberts, W.E. Pollution as a risk factor for the development of melasma and other skin disorders of facial hyperpigmentation—Is there a case to be made? J. Drugs Dermatol. 2015, 14, 337–341. [Google Scholar]
- Handel, A.C.; Lima, P.B.; Tonolli, V.M.; Miot, L.D.B.; Miot, H.A. Risk factors for facial melasma in women: A case-control study. Br. J. Dermatol. 2014, 171, 588–594. [Google Scholar] [CrossRef]
- Al-Sadek, T.; Yusuf, N. Ultraviolet radiation biological and medical implications. Curr. Issues Mol. Biol. 2024, 46, 1924–1942. [Google Scholar] [CrossRef]
- Verma, N.; Franchitto, M.; Zonfrilli, A.; Cialfi, S.; Palermo, R.; Talora, C. DNA Damage Stress: Cui Prodest? Int. J. Mol. Sci. 2019, 20, 1073. [Google Scholar] [CrossRef]
- Yang, J.; Zeng, J.; Lu, J. Mechanisms of ultraviolet-induced melasma formation: A review. J. Dermatol. 2022, 49, 1201–1210. [Google Scholar] [CrossRef]
- Rodríguez-Arámbula, A.; Torres-Álvarez, B.; Cortés-García, D.; Fuentes-Ahumada, C.; Castanedo-Cázares, J.P. CD4, IL-17, and COX-2 are associated with subclinical inflammation in malar melasma. Am. J. Dermatopathol. 2015, 37, 761–766. [Google Scholar] [CrossRef]
- Liu, W.; Chen, Q.; Xia, Y. New Mechanistic Insights of Melasma. Clin. Cosmet. Investig. Dermatol. 2023, 16, 429–442. [Google Scholar] [CrossRef]
- Artzi, O.; Horovitz, T.; Bar-Ilan, E.; Shehadeh, W.; Koren, A.; Zusmanovitch, L.; Mehrabi, J.N.; Salameh, F.; Isman Nelkenbaum, G.; Zur, E.; et al. The pathogenesis of melasma and implications for treatment. J. Cosmet. Dermatol. 2021, 20, 3432–3445. [Google Scholar] [CrossRef]
- Golu, A.; Gheorghişor, I.; Bǎlǎşoiu, A.T.; Baltǎ, F.L.; Osiac, E.; Mogoantǎ, L.; Bold, A. The effect of ultraviolet radiation on the cornea—Experimental study. Rom. J. Morphol. Embryol. 2013, 54, 1115–1120. [Google Scholar]
- Balogun, M.M.; Ashaye, A.O.; Ajayi, B.G.K.; Osuntokun, O.O. Tear break-up time in eyes with pterygia and pingueculae in Ibadan. West Afr. J. Med. 2005, 24, 162–166. [Google Scholar] [CrossRef]
- Hua, Z.; Shi, R.; Han, X.; Li, G.; Lv, L.; Jianimuhan, N.; Ma, D.; Cai, L.; Hu, F.; Yang, J. miR-1273h-5p protects the human corneal epithelium against UVR-induced oxidative stress and apoptosis: Role of miR-1273h-5p in climatic droplet keratopathy. Exp. Eye Res. 2023, 233, 109536. [Google Scholar] [CrossRef]
- MacFarlane, E.R.; Donaldson, P.J.; Grey, A.C. UV light and the ocular lens: A review of exposure models and resulting biomolecular changes. Front. Ophthalmol. 2024, 4, 1414483. [Google Scholar] [CrossRef]
- Hamba, N.; Gerbi, A.; Tesfaye, S. Histopathological effects of ultraviolet radiation exposure on the ocular structures in animal studies—Literature review. Transl. Res. Anat. 2021, 22, 100086. [Google Scholar] [CrossRef]
- Gallagher, R.P.; Lee, T.K. Adverse effects of ultraviolet radiation: A brief review. Prog. Biophys. Mol. Biol. 2006, 92, 119–131. [Google Scholar] [CrossRef]
- Majdi, M.; Milani, B.Y.; Movahedan, A.; Wasielewski, L.; Djalilian, A.R. The Role of Ultraviolet Radiation in the Ocular System of Mammals. Photonics 2014, 1, 347–368. [Google Scholar] [CrossRef]
- Yam, J.C.; Kwok, A.K. Ultraviolet light and ocular diseases. Int. Ophthalmol. 2014, 34, 383–400. [Google Scholar] [CrossRef]
- Detert, H.; Hedlund, S.; Anderson, C.; Rodvall, Y.; Festin, K.; Whiteman, D.; Falk, M. Validation of sun exposure and protection index (SEPI) for estimation of sun habits. Cancer Epidemiol. 2015, 39, 986–993. [Google Scholar] [CrossRef]
- de Abreu, L.; Ramos-e-Silva, M.; Quintella, L.P.; Buçard, A.M.; Bravo, B.S.F.; de Almeida, A.M.; Moreira, A.C.M.S. Dermoscopic classification of melasma: Concordance study and correlation with the melanophages count. J. Cosmet. Dermatol. 2022, 21, 5887–5894. [Google Scholar] [CrossRef] [PubMed]
- Pandya, A.G.; Hynan, L.S.; Bhore, R.; Riley, F.C.; Guevara, I.L.; Grimes, P.; Nordlund, J.J.; Rendon, M.; Taylor, S.; Gottschalk, R.W. Reliability assessment and validation of the Melasma Area and Severity Index (MASI) and a new modified MASI scoring method. J. Am. Acad. Dermatol. 2011, 64, 78–83e72. [Google Scholar] [CrossRef]
- Serra, H.M.; Holopainen, J.M.; Beuerman, R.; Kaarniranta, K.; Suárez, M.F.; Urrets-Zavalía, J.A. Climatic droplet keratopathy: An old disease in new clothes. Acta Ophthalmol. 2015, 93, 496–504. [Google Scholar] [CrossRef]
- Jiryis, B.; Toledano, O.; Avitan-Hersh, E.; Khamaysi, Z. Management of Melasma: Laser and Other Therapies—Review Study. J. Clin. Med. 2024, 13, 1468. [Google Scholar] [CrossRef]
- Khunger, N.; Kandhari, R.; Singh, A.; Ramesh, V. A Clinical, Dermoscopic, Histopathological and Immunohistochemical Study of Melasma and Facial Pigmentary Demarcation Lines in the Skin of Color. Dermatol. Ther. 2020, 33, e14099. [Google Scholar] [CrossRef]
- Soliman, W.; Mohamed, T.A. Spectral Domain Anterior Segment Optical Coherence Tomography Assessment of Pterygium and Pinguecula. Acta Ophthalmol. 2012, 90, 461–465. [Google Scholar] [CrossRef]
- dos Reis, G.M.; de Júnior, A.P.R.; e Silva, K.S.F.; Rodrigues, D.A.; Gomes, M.C.S.; Martins, J.V.M.; da Costa, I.R.; Freitas, G.A.; Moura, K.K.O. Pterygium in Patients from Goiânia, Goiás, Brazil. Genet. Mol. Res. 2015, 14, 6182–6188. [Google Scholar] [CrossRef]
- Lam, D.; Rao, S.K.; Ratra, V.; Liu, Y.; Mitchell, P.; King, J.; Tassignon, M.-J.; Jonas, J.; Pang, C.P.; Chang, D.F. Cataract. Nat. Rev. Dis. Primers 2015, 1, 15014. [Google Scholar] [CrossRef]
- Cicinelli, M.V.; Buchan, J.C.; Nicholson, M.; Varadaraj, V.; Khanna, R.C. Eliminating Cataract Blindness: Progress and Challenges. Lancet 2023, 401, 377–389. [Google Scholar] [CrossRef]
- Yonekawa, Y.; Kim, I.K. Clinical Characteristics and Current Treatment of Age-Related Macular Degeneration. Cold Spring Harb. Perspect. Med. 2015, 5, a017178. [Google Scholar] [CrossRef]
- Chylack, L.T., Jr.; Wolfe, J.K.; Singer, D.M.; Leske, M.C.; Bullimore, M.A.; Bailey, I.L.; Friend, J.; McCarthy, D.; Wu, S.Y. The Lens Opacities Classification System III. The Longitudinal Study of Cataract Study Group. Arch. Ophthalmol. 1993, 111, 831–836. [Google Scholar] [CrossRef]
- Ferris, F.L.; Davis, M.D.; Clemons, T.E.; Lee, L.Y.; Chew, E.Y.; Lindblad, A.S.; Milton, R.C.; Bressler, S.B.; Klein, R. A simplified severity scale for age-related macular degeneration: AREDS Report No. 18. Arch. Ophthalmol. 2005, 123, 1570–1574. [Google Scholar] [CrossRef]
- Maheshwari, S. Pterygium-induced corneal refractive changes. Indian J. Ophthalmol. 2007, 55, 383–386. [Google Scholar] [CrossRef]
- Mimura, T.; Usui, T.; Mori, M.; Yamamoto, H.; Obata, H.; Yamagami, S.; Funatsu, H.; Noma, H.; Honda, N.; Amano, S. Pinguecula and contact lenses. Eye 2010, 24, 1685–1691. [Google Scholar] [CrossRef]
- Viso, E.; Gude, F.; Rodríguez-Ares, M.T. Prevalence of pinguecula and pterygium in a general population in Spain. Eye 2011, 25, 350–357. [Google Scholar] [CrossRef]
- Koo, E.; Chang, J.R.; Agrón, E.; Clemons, T.E.; Sperduto, R.D.; Ferris Iii, F.L.; Chew, E.Y. Ten-year incidence rates of age-related cataract in the Age-Related Eye Disease Study (AREDS): AREDS report no. 33. Ophthalmic Epidemiol. 2013, 20, 71–81. [Google Scholar] [CrossRef]
- Kuang, T.M.; Tsai, S.Y.; Liu, C.J.L.; Ko, Y.C.; Lee, S.M.; Chou, P. Seven-year incidence of age-related cataracts among an elderly Chinese population in Shihpai, Taiwan: The Shihpai Eye Study. Investig. Ophthalmol. Vis. Sci. 2013, 54, 6409–6415. [Google Scholar] [CrossRef]
- Ahmed, A.; Malik, T.G.; Kayani, H. Prevalence of different types of age related cataract: A hospital based study. Pak. J. Med. Health Sci. 2016, 10, 1088–1090. [Google Scholar]
- Vrensen, G.F.J.M. Early cortical lens opacities: A short overview. Acta Ophthalmol. 2009, 87, 602–610. [Google Scholar] [CrossRef]
- Israfilova, G.Z. “Important players” in the development of age-related cataracts (literature review). Oftalmologiya 2019, 16, 21–26. [Google Scholar] [CrossRef]
- Haddad, N.; Andrianou, X.D.; Makris, K.C. A scoping review on the characteristics of human exposome studies. Curr. Pollut. Rep. 2019, 5, 378–393. [Google Scholar] [CrossRef]
- Krutmann, J.; Bouloc, A.; Sore, G.; Bernard, B.A.; Passeron, T. The skin aging exposome. J. Dermatol. Sci. 2017, 85, 152–161. [Google Scholar] [CrossRef]
- Ding, E.; Wang, Y.; Liu, J.; Tang, S.; Shi, X. A review on the application of the exposome paradigm to unveil the environmental determinants of age-related diseases. Hum. Genom. 2022, 16, 54. [Google Scholar] [CrossRef]
- Sudhibrabha, S.; Exell, R.H.B.; Sukawat, D. Ultraviolet forecasting in Thailand. Sci. Asia 2006, 32, 107–114. [Google Scholar] [CrossRef]
- Buntoung, S.; Pattarapanitchai, S.; Wattan, R.; Masiri, I.; Promsen, W.; Tohsing, K.; Janjai, S. An investigation of solar erythemal ultraviolet radiation at two sites in tourist attraction areas of Thailand. In Proceedings of the AIP Conference Proceedings, Berlin, Germany, 6–10 August 2012; pp. 844–847. [Google Scholar]
- Janjai, S.; Kirdsiri, K.; Masiri, I.; Nunez, M. An investigation of solar erythemal ultraviolet radiation in the tropics: A case study at four stations in Thailand. Int. J. Climatol. 2010, 30, 1893–1903. [Google Scholar] [CrossRef]
- Christidis, N.; Manomaiphiboon, K.; Ciavarella, A.; Stott, P.A. 25. The Hot and Dry April of 2016 in Thailand. Am. Meteorol. Soc. 2018, 99, 25. [Google Scholar] [CrossRef]
- Rodchuen, M.; Chongcharoen, S.; Bunyatisai, W. Trend and Pattern in Average Monthly Maximum Temperatures in Thailand from 1986 to 2015. Am. J. Appl. Sci 2020, 17, 20–35. [Google Scholar] [CrossRef]
- Miyashita, H.; Hatsusaka, N.; Shibuya, E.; Mita, N.; Yamazaki, M.; Shibata, T.; Ishida, H.; Ukai, Y.; Kubo, E.; Sasaki, H. Association between ultraviolet radiation exposure dose and cataract in Han people living in China and Taiwan: A cross-sectional study. PLoS ONE 2019, 14, e0215338. [Google Scholar] [CrossRef]
- Jang, H.-J.; Kang, J.-G. Correlation Between Sunlight Exposure Time and Cataract Prevalence in Korean Adults. Appl. Sci. 2024, 14, 10707. [Google Scholar] [CrossRef]
- Kinoshita, K.; Kodera, S.; Hatsusaka, N.; Egawa, R.; Takizawa, H.; Kubo, E.; Sasaki, H.; Hirata, A. Association of nuclear cataract prevalence with UV radiation and heat load in lens of older people -five city study. Environ. Sci. Pollut. Res. 2023, 30, 123832–123842. [Google Scholar] [CrossRef] [PubMed]
- Kodera, S.; Hirata, A.; Miura, F.; Rashed, E.A.; Hatsusaka, N.; Yamamoto, N.; Kubo, E.; Sasaki, H. Model-based approach for analyzing prevalence of nuclear cataracts in elderly residents. Comput. Biol. Med. 2020, 126, 104009. [Google Scholar] [CrossRef]
- Borges-Rodríguez, Y.; Morales-Cueto, R.; Rivillas-Acevedo, L. Effect of the ultraviolet radiation on the lens. Curr. Protein Pept. Sci. 2023, 24, 215–228. [Google Scholar] [CrossRef]
- Zeller, K.; Mühleisen, S.; Shanmugarajah, P.; Fehler, N.; Haag, R.; Hessling, M. Influence of Visible Violet, Blue and Red Light on the Development of Cataract in Porcine Lenses. Medicina 2022, 58, 721. [Google Scholar] [CrossRef]
- Kelly-Pérez, I.; Bruce, N.C.; Berriel-Valdos, L.R. Effect of cataracts on scattering of light in the eye. In Proceedings of the SPIE—The International Society for Optical Engineering, Puebla, Mexico, 15–19 August 2011. [Google Scholar]
- Dhiyantari, N.P.A.R.; Hermawan, D. Apoptosis of The Lens Epithelial Cells After Ultraviolet-B Exposure as a Proposed Pathogenesis of Senile Cataract: Literature Review. Pharmacogn. J. 2024, 16, 989–992. [Google Scholar] [CrossRef]
- Francis Simpanya, M.; Ansari, R.R.; Leverenz, V.; Giblin, F.J. Measurement of lens protein aggregation in vivo using dynamic light scattering in a guinea Pig/UVA model for nuclear cataract. Photochem. Photobiol. 2008, 84, 1589–1595. [Google Scholar] [CrossRef]
- Ling, X.; Zhu, L.; Yan, Y.; Qian, H.; Kang, Z.; Ye, W.; Xie, Z.; Xue, C. Ferulic Acid Protects Human Lens Epithelial Cells Against UVA-Induced Oxidative Damage by Downregulating the DNA Demethylation of the Keap1 Promoter. J. Biochem. Mol. Toxicol. 2024, 38, e70031. [Google Scholar] [CrossRef]
- Ji, Y.; Cai, L.; Zheng, T.; Ye, H.; Rong, X.; Rao, J.; Lu, Y. The mechanism of UVB irradiation induced-apoptosis in cataract. Mol. Cell. Biochem. 2015, 401, 87–95. [Google Scholar] [CrossRef]
- Wang, Y.; Li, F.; Zhang, G.; Kang, L.; Guan, H. Ultraviolet-B induces ERCC6 repression in lens epithelium cells of age-related nuclear cataract through coordinated DNA hypermethylation and histone deacetylation. Clin. Epigenet. 2016, 8, 62. [Google Scholar] [CrossRef]
- Furukawa, J.Y.; Martinez, R.M.; Morocho-Jácome, A.L.; Castillo-Gómez, T.S.; Pereda-Contreras, V.J.; Rosado, C.; Velasco, M.V.R.; Baby, A.R. Skin impacts from exposure to ultraviolet, visible, infrared, and artificial lights—A review. J. Cosmet. Laser Ther. 2021, 23, 1–7. [Google Scholar] [CrossRef] [PubMed]
- Nahhas, A.F.; Abdel-Malek, Z.A.; Kohli, I.; Braunberger, T.L.; Lim, H.W.; Hamzavi, I.H. The potential role of antioxidants in mitigating skin hyperpigmentation resulting from ultraviolet and visible light-induced oxidative stress. Photodermatol. Photoimmunol. Photomed. 2019, 35, 420–428. [Google Scholar] [CrossRef]
- Sarkar, R.; Jagadeesan, S.; Basavapura Madegowda, S.; Verma, S.; Hassan, I.; Bhat, Y.; Minni, K.; Jha, A.; Das, A.; Jain, G.; et al. Clinical and epidemiologic features of melasma: A multicentric cross-sectional study from India. Int. J. Dermatol. 2019, 58, 1305–1310. [Google Scholar] [CrossRef]
- Willis, I. Cutaneous heat: A potential environmental factor in the development of melasma. Cosmet. Dermatol. 2004, 17, 387–390. [Google Scholar]
- Gu, W.J.; Ma, H.J.; Zhao, G.; Yuan, X.Y.; Zhang, P.; Liu, W.; Ma, L.J.; Lei, X.B. Additive effect of heat on the UVB-induced tyrosinase activation and melanogenesis via ERK/p38/MITF pathway in human epidermal melanocytes. Arch. Dermatol. Res. 2014, 306, 583–590. [Google Scholar] [CrossRef]
- Sarkany, R. Sun protection strategies. Medicine 2017, 45, 444–447. [Google Scholar] [CrossRef]
- Modenese, A.; Gobba, F. Cataract frequency and subtypes involved in workers assessed for their solar radiation exposure: A systematic review. Acta Ophthalmol. 2018, 96, 779–788. [Google Scholar] [CrossRef]
- Ahmad Essa, F.H.; Ahmed Issa, N.H.; Ahmad Jabali, H.M.; Abusharha, A.A.; Abduh Numan, F.S.; Omar Alaqsam, A.S.; Hadi Tomaihi, L.S.; Ahmad Erwi, H.A.; Mohmmed Rashed, M.A.; Dohal, G.Y.; et al. Advancements in Cataract Management: Innovations in Diagnosis, Treatment, and Outcomes-Nursing Interventions. Egypt. J. Chem. 2024, 67, 1851–1862. [Google Scholar] [CrossRef]
- Jansone-Langina, Z.; Solomatin, A.; Solomatins, M.; Krumina, G. Quality of life assessment for nuclear, cortical, posterior subcapsular patients before and after cataract surgery. J. Optom. 2024, 17, 100489. [Google Scholar] [CrossRef]
- Sever, Ö.; Horozoğlu, F. Early retinal changes after uncomplicated mild and hard cataract surgery. East. J. Med. 2018, 23, 1–5. [Google Scholar] [CrossRef]
- Getachew, E.; Kamal, K.; Young, K.; Xiang, D.; Semenov, Y.; Mostaghimi, A.; Theodosakis, N. Seasonal patterns in melasma incidence and correlation to Google Trends search volume: A cross-sectional analysis. Res. Sq. 2023. [Google Scholar] [CrossRef]
Disclaimer/Publisher’s Note: The statements, opinions and data contained in all publications are solely those of the individual author(s) and contributor(s) and not of MDPI and/or the editor(s). MDPI and/or the editor(s) disclaim responsibility for any injury to people or property resulting from any ideas, methods, instructions or products referred to in the content. |
© 2025 by the authors. Licensee MDPI, Basel, Switzerland. This article is an open access article distributed under the terms and conditions of the Creative Commons Attribution (CC BY) license (https://creativecommons.org/licenses/by/4.0/).
