Automatic Characterization of Block-In-Matrix Rock Outcrops through Segmentation Algorithms and Its Application to an Archaeo-Mining Case Study
Abstract
1. Introduction

2. Geological, Geomechanical and Computational Framework
2.1. The Archaeological Site under Study
2.2. Geological and Mining Features
2.3. Methods for Bimunit Characterization
2.4. Camera and Photo Database
2.5. Corner- and Edge-Detection and Watershed Algorithms
2.6. The Segment Anything Method Algorithm (SAM) and Its Implementation
3. Results
3.1. Results from Conventional Methods
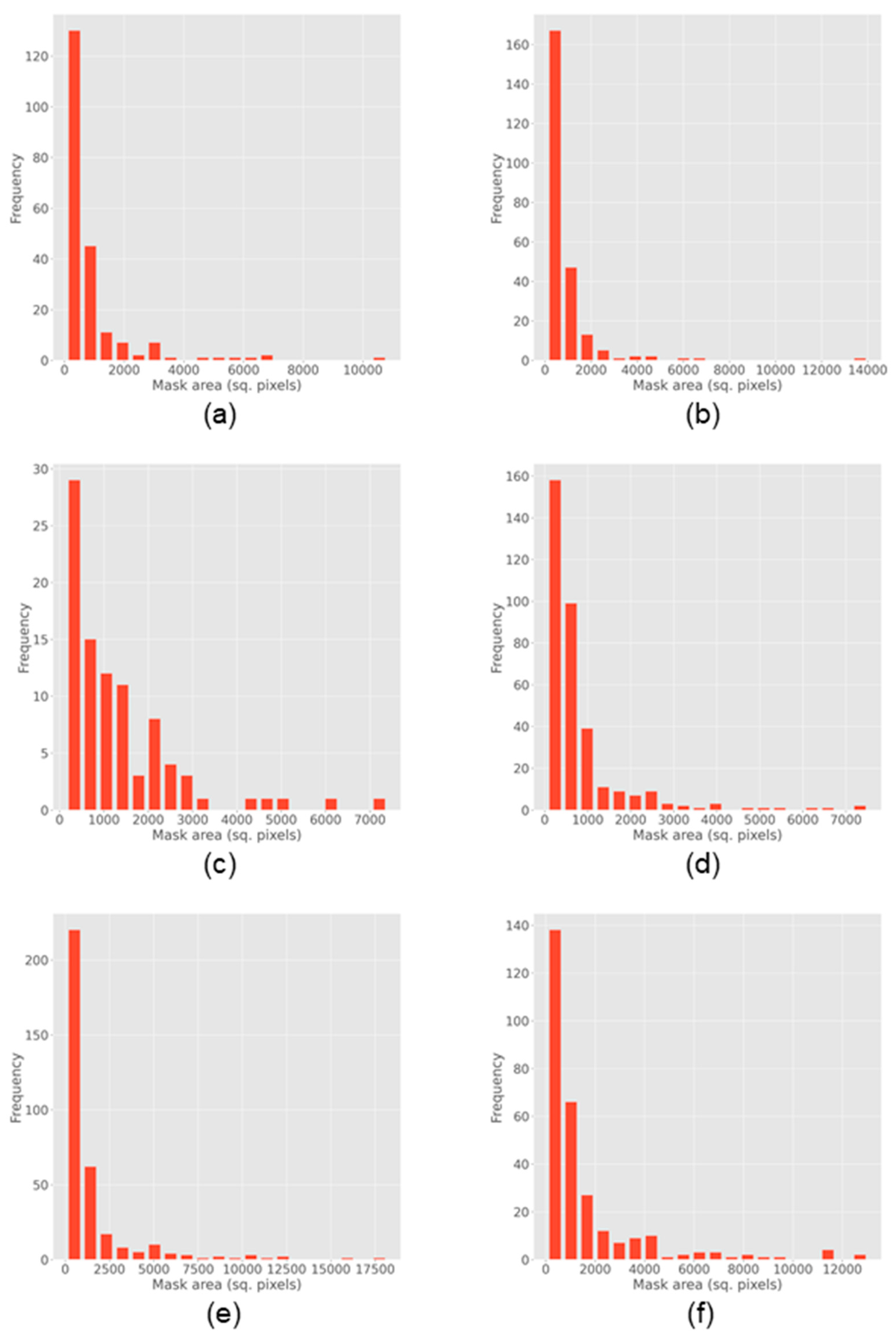
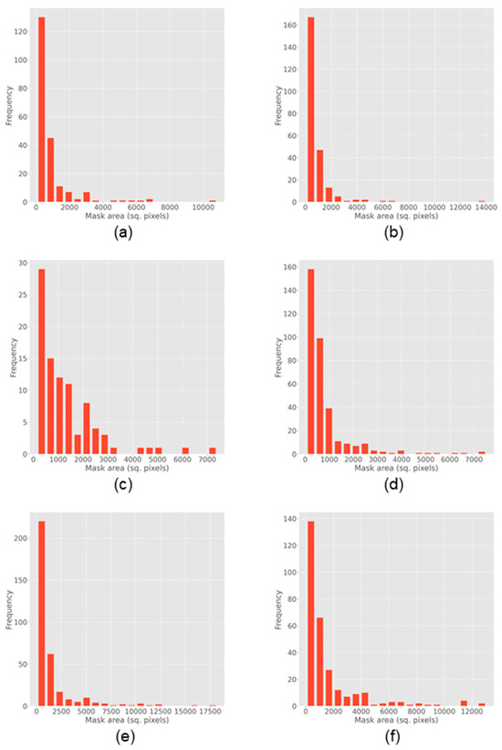
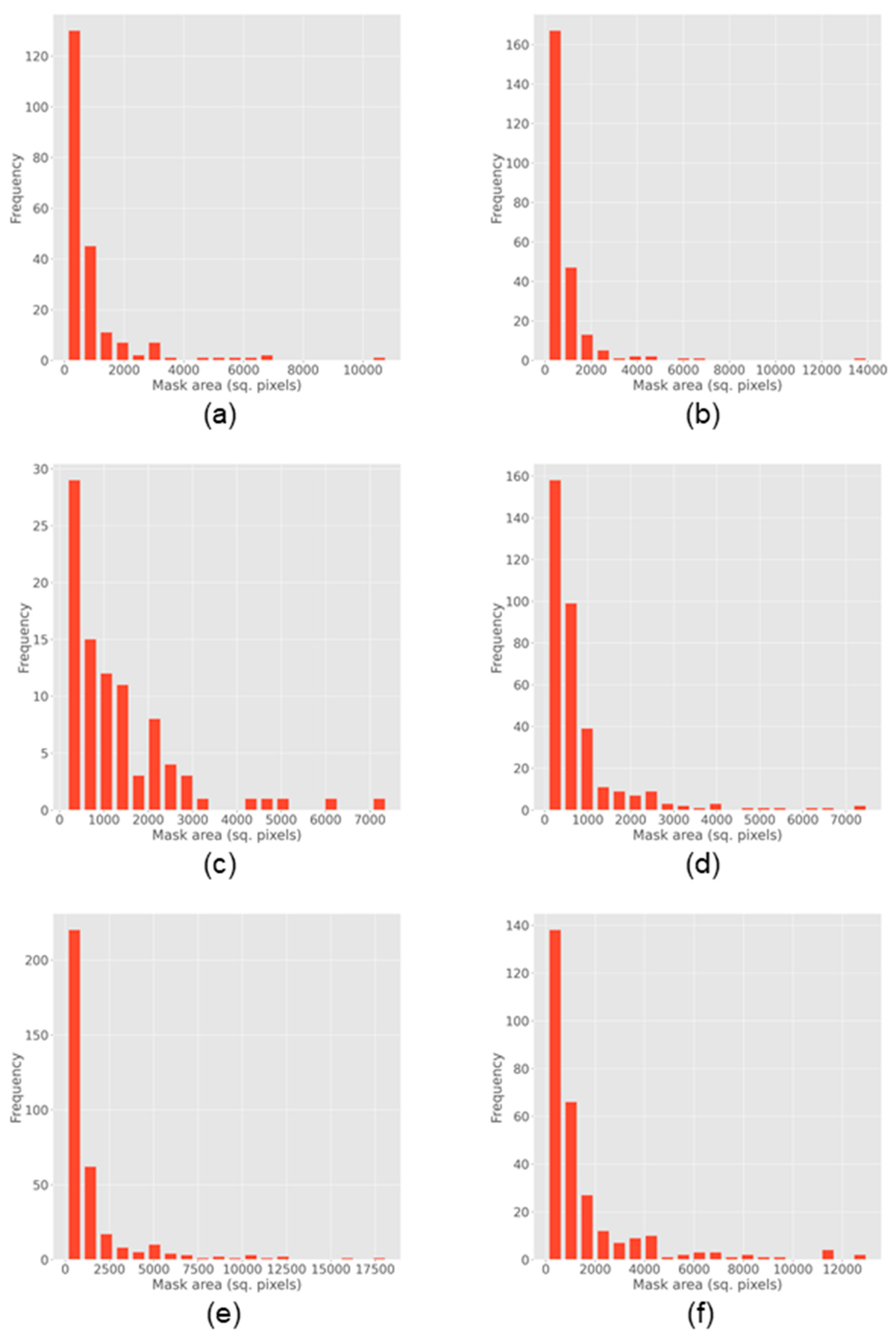
3.2. Results from SAM
4. Discussion
5. Application of the Approach to Understand the Mining Method at Las Médulas
5.1. Characterization of the Matrix
5.2. Characterization of the Bimrock Material
6. Conclusions
Author Contributions
Funding
Data Availability Statement
Acknowledgments
Conflicts of Interest
Appendix A
| Algorithm A1. Pseudocode corresponding to the function show_anns |
| Require: anns—masks, dictionary containing the seven elements of the masks (“segmentation”, “area”, “bbox”, “predicted_iou”, “point_cords”, “stability_score”, “crop_box”) Ensure: total_area—the sum of all the areas corresponding to each of the masks detected in the image 1: if len(anns) = 0 then ▷ (if anns is empty) 2: return 3: end if 4: sorted_anns: sort anns by “area” in anns 5: sorted_areas: extract “area” from sorted_anns 6: colors ← map_to_rainbow map sorted_areas to rainbow color map from Matplotlib library 7: ax: get current axes 8: total_area = 0 ▷ starts total_area to 0, to do the sum later 9: for i, anns in enumerate(sorted_anns) do 10: mask_area ← ann[′area′] and total_area + = mask_area ▷ (sum each mask area to the total area) 11: m ← ann[′segmentation′] 12: img: create an image with the same shape as m 13: set color values for each mask on the image 14: ax.imshow: stack all the masks in img 15: return total area ▷ the sum of each mask area 16: end for |
Appendix B


References
- Medley, E.W. The Engineering Characterization of Melanges and Similar Block-in-Matrix Rocks (Bimrocks); University of California: Berkeley, CA, USA, 1994. [Google Scholar]
- Raymond, L.A. Classification of Melanges. In Melanges: Their Nature, Origin, and Significance; Raymond, L.A., Ed.; Geological Society of America: Boulder, CO, USA, 1984; Volume 198, ISBN 97808-13721989. [Google Scholar]
- Medley, E.W.; Goodman, R.E. Estimating the Block Volumetric Proportions of Melanges and Similar Block-in-Matrix Rocks (Bimrocks). In Proceedings of the 1st North American Rock Mechanics Symposium, Austin, TX, USA, 1–3 June 1994; pp. 851–858. [Google Scholar]
- Kalender, A.; Sonmez, H.; Medley, E.; Tunusluoglu, C.; Kasapoglu, K.E. An Approach to Predicting the Overall Strengths of Unwelded Bimrocks and Bimsoils. Eng. Geol. 2014, 183, 65–79. [Google Scholar] [CrossRef]
- Sonmez, H.; Ercanoglu, M.; Kalender, A.; Dagdelenler, G.; Tunusluoglu, C. Predicting Uniaxial Compressive Strength and Deformation Modulus of Volcanic Bimrock Considering Engineering Dimension. Int. J. Rock Mech. Min. Sci. 2016, 86, 91–103. [Google Scholar] [CrossRef]
- Napoli, M.L.; Festa, A.; Barbero, M. Practical Classification of Geotechnically Complex Formations with Block-in-Matrix Fabrics. Eng. Geol. 2022, 301, 106595. [Google Scholar] [CrossRef]
- Irfan, T.Y.; Tang, K.Y. Effect of the Coarse Fractions on the Shear Strength of Colluvium. Geo Report 23; Geotechnical Engineering Office: Hong Kong, 1993. [Google Scholar]
- Lindquist, E.S. The Strength and Deformation Properties of Melange; University of California: Berkeley, CA, USA, 1994. [Google Scholar]
- Coli, N.; Berry, P.; Boldini, D. In Situ Non-Conventional Shear Tests for the Mechanical Characterisation of a Bimrock. Int. J. Rock Mech. Min. Sci. 2011, 48, 95–102. [Google Scholar] [CrossRef]
- Napoli, M.L. 3D Slope Stability Analyses of a Complex Formation with a Block-in-Matrix Fabric. In Proceedings of the International Conference of the International Association for Computer Methods and Advances in Geomechanics, IACMAG 2021, Torino, Italy, 5–8 May 2021; Barla, M., Di Donna, A., Sterpi, D., Eds.; Springer: Torino, Italy, 2021; pp. 744–750. [Google Scholar]
- Zhao, L.; Qiao, N.; Huang, D.; Zuo, S.; Zhang, Z. Numerical Investigation of the Failure Mechanisms of Soil–rock Mixture Slopes by Material Point Method. Comput. Geotech. 2022, 150, 104898. [Google Scholar] [CrossRef]
- Wang, F.; Du, X.; Li, P.; Hou, S. A Meso-Scale Numerical Modelling Method for the Stability Analysis of Tunnels in Sandy Cobble Stratum. Transp. Geotech. 2023, 38, 100921. [Google Scholar] [CrossRef]
- Hunt, S.W. Managing Risk of Tunneling in Cobbly, Bouldery Ground. In Proceedings of the TAC 2014: Tunnelling in a Resource Driven World; Tunnelling Association of Canada, Vancouver, BC, Canada, 26–28 October 2014. [Google Scholar]
- Russ, J.C.; Dehoff, R.T. Practical Stereology, 2nd ed.; Springer: New York, NY, USA, 2000. [Google Scholar]
- Medley, E.W. Orderly Characterization of Chaotic Franciscan Melanges. Felsbau 2001, 19, 20–33. [Google Scholar]
- Medley, E.W. Uncertainty in Estimates of Block Volumetric Proportions in Melange Bimrocks. In Proceedings of the Engineering Geology and the Environment: Proceedings of an International Symposium of the IAEG, Athens, Greece, 23–27 June 1997; pp. 267–272. [Google Scholar]
- Lu, Y.-C.; Tien, Y.-M.; Juang, C.H.; Lin, J.-S. Uncertainty of Volume Fraction in Bimrock Using the Scan-Line Method and Its Application in the Estimation of Deformability Parameters. Bull. Eng. Geol. Environ. 2020, 79, 1651–1668. [Google Scholar] [CrossRef]
- Napoli, M.L.; Milan, L.; Barbero, M.; Medley, E. Investigation of Virtual Bimrocks to Estimate 3D Volumetric Block Proportions from 1D Boring Measurements. Geosciences 2022, 12, 405. [Google Scholar] [CrossRef]
- Ramos-Cañón, A.M.; Castro-Malaver, L.C.; Padilla-Bello, N.V.; Vega-Posada, C.A. Incertidumbre En La Determinación Del Porcentaje Volumétrico de Bloques de BIMrocks/BIMsoil a Partir de Información Unidimensional. Rev. Boletín Geol. 2020, 42, 69–80. [Google Scholar] [CrossRef]
- Zhao, M.; Chen, J.; Song, S.; Li, Y.; Wang, F.; Wang, S.; Liu, D. Proposition of UAV Multi-Angle Nap-of-the-Object Image Acquisition Framework Based on a Quality Evaluation System for a 3D Real Scene Model of a High-Steep Rock Slope. Int. J. Appl. Earth Obs. Geoinf. 2023, 125, 103558. [Google Scholar] [CrossRef]
- Zhao, M.; Song, S.; Wang, F.; Zhu, C.; Liu, D.; Wang, S. A Method to Interpret Fracture Aperture of Rock Slope Using Adaptive Shape and Unmanned Aerial Vehicle Multi-Angle Nap-of-the-Object Photogrammetry. J. Rock Mech. Geotech. Eng. 2023; in press. [Google Scholar] [CrossRef]
- Wolcott, J.; Church, M. Strategies for Sampling Spatially Heterogeneous Phenomena; the Example of River Gravels. J. Sediment. Res. 1991, 61, 534–543. [Google Scholar] [CrossRef]
- Luthi, S.M. Textural Segmentation of Digital Rock Images into Bedding Units Using Texture Energy and Cluster Labels. Math. Geol. 1994, 26, 181–196. [Google Scholar] [CrossRef]
- Zhou, Y.; Starkey, J.; Mansinha, L. Identification of Mineral Grains in a Petrographic Thin Section Using Phi- and Max-Images. Math. Geol. 2004, 36, 781–801. [Google Scholar] [CrossRef]
- Ge, Y.; Xie, Z.; Tang, H.; Chen, H.; Lin, Z.; Du, B. Determination of Shear Failure Regions of Rock Joints Based on Point Clouds and Image Segmentation. Eng. Geol. 2019, 260, 105250. [Google Scholar] [CrossRef]
- Wang, Y.; Li, C.H.; Hu, Y.Z. 3D Image Visualization of Meso-Structural Changes in a Bimsoil under Uniaxial Compression Using X-Ray Computed Tomography (CT). Eng. Geol. 2019, 248, 61–69. [Google Scholar] [CrossRef]
- Kirillov, A.; Mintun, E.; Ravi, N.; Mao, H.; Rolland, C.; Gustafson, L.; Xiao, T.; Whitehead, S.; Berg, A.C.; Lo, W.-Y.; et al. Segment Anything. arXiv 2023, arXiv:2304.02643. [Google Scholar]
- Beer, A.J.; Stead, D.; Coggan, J.S. Technical Note Estimation of the Joint Roughness Coefficient (JRC) by Visual Comparison. Rock Mech. Rock Eng. 2002, 35, 65–74. [Google Scholar] [CrossRef]
- Pozo-Antonio, J.; Alejano, L.; Veiga, M.; Alberruche, E. Landscape Assessment of Engineered and Man-Made Slopes. Proc. Inst. Civ. Eng. Eng. Sustain. 2014, 167, 24–38. [Google Scholar] [CrossRef]
- Alejano Monge, L.R.; García Cortés, S.; García-Bastante, F.; Martínez Alegría, R. Study of a Rockfall in a Limy Conglomerate Canyon (Covarrubias, Burgos, N. Spain). Environ. Earth Sci. 2013, 70, 2703–2717. [Google Scholar] [CrossRef]
- Alejano, L.R.; Carranza-Torres, C. An Empirical Approach for Estimating Shear Strength of Decomposed Granites in Galicia, Spain. Eng. Geol. 2011, 120, 91–102. [Google Scholar] [CrossRef]
- Adam, D.; Markiewicz, R.; Brunner, M. Block-in-Matrix Structure and Creeping Slope: Tunneling in Hard Soil and/or Weak Rock. Geotech. Geol. Eng. 2014, 32, 1467–1476. [Google Scholar] [CrossRef]
- Sánchez-Palencia, F.J.; Pérez-García, L.C.; Orejas, A. Geomorphology and Archaeology in the Las Médulas Archaeological Zone (ZAM) (León, Spain): Evaluation of Wastes and Gold Production. In Proceedings of the Geoarchaeology of the Landscapes of Classical Antiquity; Vermeulen, F., de Papper, M., Eds.; Peeters: Leiden, The Netherlands, 2000; pp. 167–177. [Google Scholar]
- Pérez-Garcia, L.C.; Sánchez-Palencia, F.J.; Torres-Ruiz, J. Tertiary and Quaternary Alluvial Gold Deposits of Northwest Spain and Roman Mining (NW of Duero and Bierzo Basins). J. Geochemical Explor. 2000, 71, 225–240. [Google Scholar] [CrossRef]
- IGME Mapa Geológico de España. Serie Magna 1:50.000. Hoja 191. Silván. 1982. Available online: https://info.igme.es/cartografiadigital/geologica/Magna50.aspx (accessed on 17 December 2023).
- Pérez-García, L.C.; Sánchez-Palencia, F.J. El Yacimiento Aurífero de Las Médulas: Situación y Geología. In Las Médulas (León): Un Paisaje Cultural en la Asturia Augustana; Instituto Leonés de Cultura: León, Spain, 2000; pp. 144–157. [Google Scholar]
- Bailey, K.C. The Elder Pliny’s Chapters on Chemical Subjects; E. Arnold & Co.: London, UK, 1929. [Google Scholar]
- Afifipour, M.; Moarefvand, P. Failure Patterns of Geomaterials with Block-in-Matrix Texture: Experimental and Numerical Evaluation. Arab. J. Geosci. 2014, 7, 2781–2792. [Google Scholar] [CrossRef]
- Wen-Jie, X.; Qiang, X.; Rui-Lin, H. Study on the Shear Strength of Soil–rock Mixture by Large Scale Direct Shear Test. Int. J. Rock Mech. Min. Sci. 2011, 48, 1235–1247. [Google Scholar] [CrossRef]
- Sonmez, H.; Kasapoglu, K.E.; Coskun, A.; Tunusluoglu, C.; Medley, E.W.; Zimmermann, R.W. A Conceptual Empirical Approach for the Overall Strength of Unwelded Bimrocks. In Proceedings of the Rock Engineering in Difficult Ground Conditions—Soft Rocks and Karst, Proceedings of the Regional Symposium of the International Society for Rock Mechanics (ISRM)—EUROCK 2009, Dubrovnik, Croatia, 29–31 October 2009; Virkljan, I., Ed.; CRC Press (Taylor and Francis Group): Cavtat, Croatia, 2009; p. 860. [Google Scholar]
- Corradetti, A.; Seers, T.D.; Billi, A.; Tavani, S. Virtual Outcrops in a Pocket: The Smartphone as a Fully Equipped Photogrammetric Data Acquisition Tool. GSA Today 2021, 31, 4–9. [Google Scholar] [CrossRef]
- Riquelme, A.; Tomás, R.; Cano, M.; Pastor, J.L.; Jordá-Bordehore, L. Extraction of Discontinuity Sets of Rocky Slopes Using IPhone-12 Derived 3DPC and Comparison to TLS and SfM Datasets. IOP Conf. Ser. Earth Environ. Sci. 2021, 833, 12056. [Google Scholar] [CrossRef]
- Tavani, S.; Billi, A.; Corradetti, A.; Mercuri, M.; Bosman, A.; Cuffaro, M.; Seers, T.; Carminati, E. Smartphone Assisted Fieldwork: Towards the Digital Transition of Geoscience Fieldwork Using LiDAR-Equipped IPhones. Earth Sci. Rev. 2022, 227, 103969. [Google Scholar] [CrossRef]
- Bradski, G. The OpenCV Library. Dr. Dobb’s J. Softw. Tools 2000, 120, 122–125. [Google Scholar]
- Sobel, I.; Feldman, G. A 3×3 Isotropic Gradient Operator for Image Processing. Presented at the Stanford Artificial Intelligence Project (SAIL); 1968. [Google Scholar]
- Canny, J. A Computational Approach to Edge Detection. IEEE Trans. Pattern Anal. Mach. Intell. 1986, PAMI-8, 679–698. [Google Scholar] [CrossRef]
- Rosten, E.; Drummond, T. LNCS 3951—Machine Learning for High-Speed Corner Detection. In Computer Vision—ECCV 2006 9th European Conference on Computer Vision, Graz, Austria, 7–13 May 2006, Proceedings, Part I; Springer: Berlin/Heidelberg, Germany, 2006. [Google Scholar]
- Rosten, E.; Porter, R.; Drummond, T. Faster and Better: A Machine Learning Approach to Corner Detection. IEEE Trans. Pattern Anal. Mach. Intell. 2010, 32, 105–119. [Google Scholar] [CrossRef]
- Rublee, E.; Rabaud, V.; Konolige, K.; Bradski, G. ORB: An Efficient Alternative to SIFT or SURF. In Proceedings of the IEEE International Conference on Computer Vision, Barcelona, Spain, 6–13 November 2011; pp. 2564–2571. [Google Scholar]
- Beucher, S.; Lantuejoul, C. Use of Watersheds in Contour Detection. In Proceedings of the International Workshop on Image Processing, Real-Time Edge and Motion Detection, Rennes, France, 17–21 September 1979; pp. 2.2–2.12. [Google Scholar]
- Dosovitskiy, A.; Beyer, L.; Kolesnikov, A.; Weissenborn, D.; Zhai, X.; Unterthiner, T.; Dehgani, M.; Minderer, M.; Heigold, G.; Gelly, S.; et al. An Image Is Worth 16x16 Words: Transformers for Image Recognition at Scale. arXiv 2021, arXiv:2010.11929. [Google Scholar]
- Zhang, C.; Puspitasari, F.D.; Zheng, S.; Li, C.; Qiao, Y.; Kang, T.; Shan, X.; Zhang, C.; Qin, C.; Rameau, F.; et al. A Survey on Segment Anything Model (SAM): Vision Foundation Model Meets Prompt Engineering. arXiv 2023, arXiv:2306.06211. [Google Scholar]
- Tkachenko, M.; Malyuk, M.; Holmayuk, A.; Liubimov, N. Label Studio v. 1. 10. 1; Data Labeling Software; HumanSignal: San Francisco, CA, USA, 2022. [Google Scholar]
- Pedregosa, F.; Varoquaux, G.; Gramfort, A.; Michel, V.; Thirion, B.; Grisel, O.; Blondel, M.; Prettenhofer, P.; Weiss, R.; Dubourg, V.; et al. Scikit-Learn: Machine Learning in Python. J. Mach. Learn. Res. 2011, 12, 2825–2830. [Google Scholar]
- Napoli, M.L.; Barbero, M. Tunneling in Heterogeneous Ground: An Update of the PBE Code Accounting for the Uncertainty in Estimates of Block Quantities from Site Investigations. IOP Conf. Ser. Earth Environ. Sci. 2023, 1124, 12094. [Google Scholar] [CrossRef]
- Alejano, L.R.; Martín, E.; Pérez-Rey, I.; Currás-Refojos, B.X.; Sánchez-Palencia, F.J. Roman Gold Exploitation at the Archeological Site of Las Médulas (NW-Spain) by Means of Ruina Montium: A Rock and Fluid Mechanics Perspective. In Proceedings of the 15th ISRM Congress 2023 & 72nd Geomechanics Colloquium—Challenges in Rock Mechanics and Rock Engineering, Salzburg, Austria, 9–14 October 2023; Schubert, W., Kluckner, A., Eds.; Austrian Society for Rock Mechanics: Salzburg, Austria, 2023; pp. 800–806. [Google Scholar]
- Borgatti, L.; Guerra, C.; Nesci, O.; Romeo, R.W.; Veneri, F.; Landuzzi, A.; Benedetti, G.; Marchi, G.; Lucente, C.C. The 27 February 2014 San Leo Landslide (Northern Italy). Landslides 2015, 12, 387–394. [Google Scholar] [CrossRef]
- Sari, M. Secondary Toppling Failure Analysis and Optimal Support Design for Ignimbrites in the Ihlara Valley (Cappadocia, Turkey) by Finite Element Method (FEM). Geotech. Geol. Eng. 2021, 39, 5135–5160. [Google Scholar] [CrossRef]
- Jaeger, J.C.; Cook, N.G.W.; Zimmenrman, R.W. Fundamentals of Rock Mechanics, 4 ed.; Wiley: Hoboken, NJ, USA, 2007. [Google Scholar]
- Carter, M.; Bentley, S.P. Soil Properties and Their Correlation, 1st ed.; Pentech Press: London, UK, 1991. [Google Scholar]
- Napoli, M.L.; Milan, L.; Barbero, M.; Scavia, C. Identifying Uncertainty in Estimates of Bimrocks Volumetric Proportions from 2D Measurements. Eng. Geol. 2020, 278, 105831. [Google Scholar] [CrossRef]
- Hoek, E. Practical Rock Engineering. 2007. [Google Scholar]
- Hoek, E.; Bray, J. Rock Slope Engineering; Institution of Mining and Metallurgy: London, UK, 1974. [Google Scholar]
- Kirsch, E.G. Die Theorie Der Elastizit t Und Die Bed Rfnisse Der Festigkeitslehre. Zeitshrift Des Vereines Deutscher Ingenieure 1898, 42, 797–807. [Google Scholar]
- Brady, B.H.G.; Brown, E.T. Rock Mechanics for Underground Mining, 3rd ed.; Kluwer Academic Publishers: Dordrecht, The Netherlands, 2005. [Google Scholar]
- Rocscience RS2 2D Geotechnical Finite Element Analysis v. 11. 2022.













| Image | Location | ABP (%) |
|---|---|---|
| IMG_6648 | Figure 6a | 23.28 |
| IMG_6662 | Figure 6b | 25.35 |
| IMG_6666 | Figure 6c | 15.03 |
| IMG_6673 | Figure 7a | 35.26 |
| IMG_6701 | Figure 7b | 63.82 |
| IMG_6710 | Figure 7c | 57.90 |
| IMG_6716 | Figure 7d | 64.60 |
| IMG_6720 | Figure 8a | 17.23 |
| IMG_6750 | Figure 8b | 31.93 |
| IMG_6762 | Figure 8c | 88.71 |
| Image | Precision | Recall | F1-Score |
|---|---|---|---|
| IMG_6648 | 0.46 | 0.89 | 0.61 |
| IMG_6662 | 0.61 | 0.69 | 0.65 |
| IMG_6666 | 0.50 | 0.64 | 0.56 |
| IMG_6673 | 0.66 | 0.86 | 0.74 |
| IMG_6701 | 0.58 | 0.96 | 0.72 |
| IMG_6710 | 0.70 | 0.88 | 0.78 |
| IMG_6716 | 0.59 | 0.94 | 0.73 |
| IMG_6720 | 0.54 | 0.56 | 0.55 |
| IMG_6750 | 0.59 | 0.86 | 0.70 |
| IMG_6762 | 0.82 | 0.96 | 0.88 |
Disclaimer/Publisher’s Note: The statements, opinions and data contained in all publications are solely those of the individual author(s) and contributor(s) and not of MDPI and/or the editor(s). MDPI and/or the editor(s) disclaim responsibility for any injury to people or property resulting from any ideas, methods, instructions or products referred to in the content. |
© 2024 by the authors. Licensee MDPI, Basel, Switzerland. This article is an open access article distributed under the terms and conditions of the Creative Commons Attribution (CC BY) license (https://creativecommons.org/licenses/by/4.0/).
Share and Cite
Cristóbal, A.; Rigueira, X.; Pérez-Rey, I.; Estévez-Ventosa, X.; Pazo, M.; Napoli, M.L.; Currás, B.X.; Alejano, L.R. Automatic Characterization of Block-In-Matrix Rock Outcrops through Segmentation Algorithms and Its Application to an Archaeo-Mining Case Study. Geosciences 2024, 14, 29. https://doi.org/10.3390/geosciences14020029
Cristóbal A, Rigueira X, Pérez-Rey I, Estévez-Ventosa X, Pazo M, Napoli ML, Currás BX, Alejano LR. Automatic Characterization of Block-In-Matrix Rock Outcrops through Segmentation Algorithms and Its Application to an Archaeo-Mining Case Study. Geosciences. 2024; 14(2):29. https://doi.org/10.3390/geosciences14020029
Chicago/Turabian StyleCristóbal, Andrés, Xurxo Rigueira, Ignacio Pérez-Rey, Xian Estévez-Ventosa, María Pazo, Maria Lia Napoli, Brais X. Currás, and Leandro R. Alejano. 2024. "Automatic Characterization of Block-In-Matrix Rock Outcrops through Segmentation Algorithms and Its Application to an Archaeo-Mining Case Study" Geosciences 14, no. 2: 29. https://doi.org/10.3390/geosciences14020029
APA StyleCristóbal, A., Rigueira, X., Pérez-Rey, I., Estévez-Ventosa, X., Pazo, M., Napoli, M. L., Currás, B. X., & Alejano, L. R. (2024). Automatic Characterization of Block-In-Matrix Rock Outcrops through Segmentation Algorithms and Its Application to an Archaeo-Mining Case Study. Geosciences, 14(2), 29. https://doi.org/10.3390/geosciences14020029

