The Mobility of Major and Trace Elements in EOC Minerals on Parent Chondrite Bodies
Abstract
1. Introduction
2. Materials and Methods
3. Results and Discussion
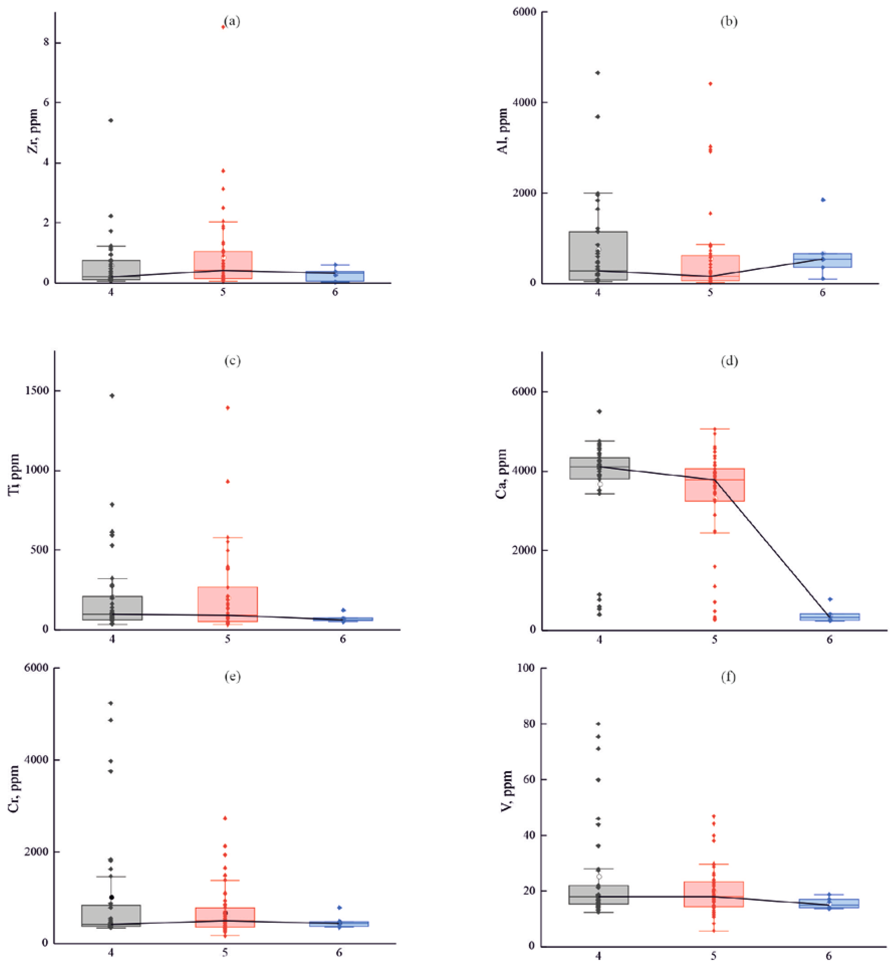
3.1. Major Element Mobility
3.2. Trace Element Mobility
4. Conclusions
Author Contributions
Funding
Data Availability Statement
Acknowledgments
Conflicts of Interest
References
- Grady, M.; Pratesi, G.; Moggi-Cecchi, V. Ordinary Chondrite; Cambridge University Press: Cambridge, UK, 2014; p. 373. [Google Scholar]
- Dodd, R.T.; Hutchison, R. Meteorites: A Petrologic, Chemical and Isotopic Synthesis; Cambridge University Press: Cambridge, UK, 2004; p. 506. [Google Scholar]
- Scott, E.; Krot, A. Chondrites and Their Components. In Treatise on Geochemistry, Vol. 1: Meteorites and Cosmo-Chemical Processes; Davis, A., Ed.; Elsevier: Oxford, UK, 2014; Volume 1, pp. 65–137. [Google Scholar]
- Ali, A.; Nasir, S.J.; Jabeen, I.; Al Rawas, A.; Banerjee, N.R.; Osinski, G.R. Chemical and oxygen isotopic properties of ordinary chondrites (H5, L6) from Oman: Signs of isotopic equilibrium during thermal metamorphism. Meteorit. Planet. Sci. 2017, 52, 2097–2112. [Google Scholar] [CrossRef]
- Schaefer, L.; Fegley, B. Volatile element chemistry during metamorphism of ordinary chondritic material and some of its implications for the composition of asteroids. Icarus 2010, 205, 483–496. [Google Scholar] [CrossRef]
- Grossman, J.N.; Brearley, A.J. The onset of metamorphism in ordinary and carbonaceous chondrites. Meteorit. Planet. Sci. 2005, 40, 87–122. [Google Scholar] [CrossRef]
- Simon, S.B.; Sutton, S.R.; Grossman, L. The valence and coordination of titanium in ordinary and enstatite chondrites. Geochim. Cosmochim. Acta 2016, 189, 377–390. [Google Scholar] [CrossRef]
- Miyamoto, M.; McKay, D.S.; McKay, G.A.; Duke, M.B. Chemical zoning and homogenization of olivines in ordinary chondrites and implications for thermal histories of chondrules. J. Geophys. Res. 1986, 91, 12804–12816. [Google Scholar] [CrossRef]
- Frank, D.R.; Zolensky, M.E.; Le, L. Olivine in terminal particles of Stardust aerogel tracks and analogous grains in chondrite matrix. Geochim. Cosmochim. Acta 2014, 142, 240–259. [Google Scholar] [CrossRef]
- Friedrich, J.M.; Bridges, J.C.; Wang, M.-S.; Lipschutz, M.E. Chemical studies of L chondrites. VI: Variations with petrographic type and shock-loading among equilibrated falls. Geochim. Cosmochim. Acta 2004, 68, 2889–2904. [Google Scholar] [CrossRef]
- Lewis, J.A.; Jones, R.H. Phosphate and feldspar mineralogy of equilibrated L chondrites: The record of metasomatism during metamorphism in ordinary chondrite parent bodies. Meteorit. Planet. Sci. 2016, 51, 1886–1913. [Google Scholar] [CrossRef]
- Lewis, J.A.; Jones, R.H.; Garcea, S.C. Chondrule porosity in the L4 chondrite Saratov: Dissolution, chemical transport, and fluid flow. Geochim. Cosmochim. Acta 2018, 240, 293–313. [Google Scholar] [CrossRef]
- Murrell, M.; Burnett, D. The behavior of actinides, phosphorus, and rare earth elements during chondrite metamorphism. Geochim. Cosmochim. Acta 1983, 47, 1999–2014. [Google Scholar] [CrossRef]
- Alexander, C.D. Trace element contents of chondrule rims and interchondrule matrix in ordinary chondrites. Geochim. Cosmochim. Acta 1995, 59, 3247–3266. [Google Scholar] [CrossRef]
- Jacquet, E.; Alard, O.; Gounelle, M. Chondrule trace element geochemistry at the mineral scale. Meteorit. Planet. Sci. 2012, 47, 1695–1714. [Google Scholar] [CrossRef]
- Jacquet, E.; Alard, O.; Gounelle, M. Trace element geochemistry of ordinary chondrite chondrules: The type I/type II chondrule dichotomy. Geochim. Cosmochim. Acta 2015, 155, 47–67. [Google Scholar] [CrossRef]
- Ruzicka, A.; Floss, C.; Hutson, M. Relict olivine grains, chondrule recycling, and implications for the chemical, thermal, and mechanical processing of nebular materials. Geochim. Cosmochim. Acta 2008, 72, 5530–5557. [Google Scholar] [CrossRef]
- Varela, M.E.; Sylvester, P.; Brandstätter, F.; Engler, A. Nonporphyritic chondrules and chondrule fragments in enstatite chondrites: Insights into their origin and secondary processing. Meteorit. Planet. Sci. 2015, 50, 1338–1361. [Google Scholar] [CrossRef]
- Varela, M.E.; Sylvester, P.; Engler, A.; Kurat, G. Nonporphyritic chondrules from equilibrated Rumuruti and ordinary chondrites: Chemical evidence of secondary processing. Meteorit. Planet. Sci. 2012, 47, 1537–1557. [Google Scholar] [CrossRef]
- Dutta, A.; Bhattacharya, A.; Mishra, M.; Sadiq, M.; Roy, S. Trace elements and REE geochemistry of olivine and enstatite chondrules in ordinary chondrites: Insights into their cosmochemical genesis. In Proceedings of the 80th Annual Meeting of the Meteoritical Society, Santa Fe, NM, USA, 23–28 July 2017; p. 6088. [Google Scholar]
- Sukhanova, K.; Skublov, S.; Gavrilchik, A.; Galankina, O. Trace Elements in Silicate Minerals of the Kargapole Meteorite. Minerals 2023, 13, 368. [Google Scholar] [CrossRef]
- Sukhanova, K.G.; Kuznetsov, A.B.; Galankina, O.L. Features of olivine crystallization in ordinary chondrites (Saratov meteorite): Geochemistry of trace and rare earth elements. J. Min. Inst. 2022, 254, 149–157. [Google Scholar] [CrossRef]
- Sukhanova, K.G.; Kuznetsov, A.B.; Skublov, S.G. Geochemical Features of Chondrules from Orlovka Meteorite (H5): Evidence of Melting Precursors. Dokl. Earth Sci. 2022, 504, 28–33. [Google Scholar] [CrossRef]
- Sukhanova, K.G.; Skublov, S.G.; Galankina, O.L.; Obolonskaya, E.V.; Kotova, E.L. Trace element composition of silicate minerals in the chondrules and matrix of the Buschhof meteorite. Geochem. Int. 2020, 58, 1321–1330. [Google Scholar] [CrossRef]
- Sukhanova, K.G.; Skublov, S.G.; Galankina, O.L.; Obolonskaya, E.V.; Kotova, E.L. Trace element composition of silicate minerals in the porphyritic and nonporphyritic chondrules of Elenovka (L5) and Knyahinya (L/LL5) meteorites. Geochemistry 2020, 82, 125920. [Google Scholar] [CrossRef]
- Bouvier, A.; Blichert-Toft, J.; Moynier, F.; Vervoort, J.D.; Albarède, F. Pb–Pb dating constraints on the accretion and cooling history of chondrites. Geochim. Cosmochim. Acta 2007, 71, 1583–1604. [Google Scholar] [CrossRef]
- Kleine, T.; Touboul, M.; Van Orman, J.A.; Bourdon, B.; Maden, C.; Mezger, K.; Halliday, A.N. Hf–W thermochronometry: Closure temperature and constraints on the accretion and cooling history of the H chondrite parent body. Earth Planet. Sci. Lett. 2008, 270, 106–118. [Google Scholar] [CrossRef][Green Version]
- Blackburn, T.; Alexander, C.M.O.D.; Carlson, R.; Elkins-Tanton, L.T. The accretion and impact history of the ordinary chondrite parent bodies. Geochim. Cosmochim. Acta 2017, 200, 201–217. [Google Scholar] [CrossRef]
- Wlotzka, F. Cr spinel and chromite as petrogenetic indicators in ordinary chondrites: Equilibration temperatures of petrologic types 3.7 to 6. Meteorit. Planet. Sci. 2005, 40, 1673–1702. [Google Scholar] [CrossRef]
- Portnyagin, M.; Almeev, R.; Matveev, S.; Holtz, F. Experimental evidence for rapid water exchange between melt inclusions in olivine and host magma. Earth Planet. Sci. Lett. 2008, 272, 541–552. [Google Scholar] [CrossRef]
- Nosova, A.; Narkisova, V.; Sazonova, L.; Simakin, S. Minor elements in clinopyroxene from Paleozoic volcanics of the Tagil island arc in the Central Urals. Geochem. Int. 2002, 40, 219–232. [Google Scholar]
- Batanova, V.; Suhr, G.; Sobolev, A. Origin of geochemical heterogeneity in the mantle peridotites from the Bay of Islands ophiolite, Newfoundland, Canada: Ion probe study of clinopyroxenes. Geochim. Cosmochim. Acta 1998, 62, 853–866. [Google Scholar] [CrossRef]
- Jochum, K.P.; Dingwell, D.B.; Rocholl, A.; Stoll, B.; Hofmann, A.W.; Becker, S.; Besmehn, A.; Bessette, D.; Dietze, H.J.; Dulski, P. The preparation and preliminary characterisation of eight geological MPI-DING reference glasses for in-situ microanalysis. Geostand. Newsl. 2000, 24, 87–133. [Google Scholar] [CrossRef]
- Bottazzi, P.; Ottolini, L.; Vannucci, R.; Zanetti, A. An accurate procedure for the quantification of rare earth elements in silicates. In SIMS 9th Proceedings; Wiley: New York, NY, USA, 1994; pp. 927–930. [Google Scholar]
- Jochum, K.P.; Stoll, B.; Herwig, K.; Willbold, M.; Hofmann, A.W.; Amini, M.; Aarburg, S.; Abouchami, W.; Hellebrand, E.; Mocek, B. MPI-DING reference glasses for in situ microanalysis: New reference values for element concentrations and isotope ratios. Geochem. Geophys. Geosyst. 2006, 7. [Google Scholar] [CrossRef]
- Rocholl, A.B.; Simon, K.; Jochum, K.P.; Bruhn, F.; Gehann, R.; Kramar, U.; Luecke, W.; Molzahn, M.; Pernicka, E.; Seufert, M. Chemical Characterisation of NIST Silicate Glass Certified Reference Material SRM 610 by ICP-MS, TIMS, LIMS, SSMS, INAA, AAS and PIXE. Geostand. Newsl. 1997, 21, 101–114. [Google Scholar] [CrossRef]
- Ottolini, L.; Bottazzi, P.; Vannucci, R. Quantification of lithium, beryllium, and boron in silicates by secondary-ion mass spectrometry using conventional energy filtering. Anal. Chem. 1993, 65, 1960–1968. [Google Scholar] [CrossRef]
- Palme, H.; Lodders, K.; Jones, A. Solar system abundances of the elements. In Planets, Asteriods, Comets and The Solar System. Vol. 2 of Treatise on Geochemistry, 2nd ed.; Davis, A.M., Ed.; Elsevier: Oxford, UK, 2014; Volume 2, pp. 15–36. [Google Scholar]
- Sukhanova, K.G.; Kuznetsov, A.B.; Skublov, S.G.; Galankina, O.L. Evaluation of thermal metamorphism temperature of equilibrated ordinary chondrites. Geodyn. Tectonophys. 2022, 13, 0618. [Google Scholar] [CrossRef]
- Bérczi, I.G.; Fürj, J.; Gucsik, A.; Nagy, S. Studies on petrography and shock stage of Nyírábrány LL5-chondrite from Hungary. Geochim. Cosmochim. Acta 2009, 55, 3845–3867. [Google Scholar]













| Meteorite | Mineral | SiO2 | Al2O3 | MgO | TiO2 | NiO | FeO | MnO | Cr2O3 | V2O3 | ZnO | Total | T, °C |
|---|---|---|---|---|---|---|---|---|---|---|---|---|---|
| Kargapole (H4) | Cr-Spl | 0.07 | 5.94 | 2.87 | 2.08 | b.d.l. | 28.29 | 0.90 | 58.88 | 0.64 | 0.31 | 99.98 | 691 |
| Ol | 39.32 | b.d.l. | 42.13 | b.d.l. | b.d.l. | 17.53 | 0.45 | b.d.l. | n.d. | n.d. | 99.42 | ||
| Orlovka (H5) | Cr-Spl | 0.19 | 6.22 | 2.83 | 2.00 | b.d.l. | 28.71 | 0.91 | 58.60 | 0.67 | 0.41 | 100.53 | 687 |
| Ol | 39.48 | b.d.l. | 41.72 | b.d.l. | b.d.l. | 17.66 | 0.46 | b.d.l. | n.d. | n.d. | 99.32 | ||
| Saratov (L4) | Cr-Spl | 0.14 | 3.60 | 1.70 | 1.51 | b.d.l. | 30.19 | 0.79 | 61.31 | 0.72 | 0.50 | 100.46 | 670 |
| Ol | 38.56 | b.d.l. | 38.84 | 0.06 | b.d.l. | 21.70 | 0.47 | b.d.l. | n.d. | n.d. | 99.63 | ||
| Elenovka (L5) | Cr-Spl | b.d.l. | 5.26 | 2.07 | 2.93 | b.d.l. | 30.66 | 0.73 | 57.56 | 0.71 | 0.33 | 100.26 | 691 |
| Ol | 38.63 | b.d.l. | 37.99 | b.d.l. | b.d.l. | 22.69 | 0.48 | b.d.l. | n.d. | n.d. | 99.79 | ||
| Buschhof (L6) | Cr-Spl | b.d.l. | 5.38 | 2.64 | 2.84 | b.d.l. | 29.88 | 0.69 | 57.85 | 0.64 | 0.26 | 100.17 | 734 |
| Ol | 38.43 | b.d.l. | 38.24 | b.d.l. | b.d.l. | 22.61 | 0.47 | 0.07 | n.d. | n.d. | 99.82 | ||
| Bjurbole (L/LL4) | Cr-Spl | 0.12 | 5.39 | 1.86 | 1.93 | 0.06 | 30.77 | 0.70 | 58.59 | 0.66 | 0.37 | 100.45 | 682 |
| Ol | 38.79 | b.d.l. | 37.56 | 0.05 | b.d.l. | 23.87 | 0.47 | b.d.l. | n.d. | n.d. | 100.75 | ||
| Knyahinya (L/LL5) | Cr-Spl | 0.05 | 5.58 | 2.22 | 2.55 | b.d.l. | 30.38 | 0.72 | 57.42 | 0.67 | 0.26 | 99.84 | 700 |
| Ol | 37.89 | b.d.l. | 38.03 | b.d.l. | b.d.l. | 22.56 | 0.46 | b.d.l. | n.d. | n.d. | 98.94 |
Disclaimer/Publisher’s Note: The statements, opinions and data contained in all publications are solely those of the individual author(s) and contributor(s) and not of MDPI and/or the editor(s). MDPI and/or the editor(s) disclaim responsibility for any injury to people or property resulting from any ideas, methods, instructions or products referred to in the content. |
© 2024 by the authors. Licensee MDPI, Basel, Switzerland. This article is an open access article distributed under the terms and conditions of the Creative Commons Attribution (CC BY) license (https://creativecommons.org/licenses/by/4.0/).
Share and Cite
Sukhanova, K.; Skublov, S. The Mobility of Major and Trace Elements in EOC Minerals on Parent Chondrite Bodies. Geosciences 2024, 14, 334. https://doi.org/10.3390/geosciences14120334
Sukhanova K, Skublov S. The Mobility of Major and Trace Elements in EOC Minerals on Parent Chondrite Bodies. Geosciences. 2024; 14(12):334. https://doi.org/10.3390/geosciences14120334
Chicago/Turabian StyleSukhanova, Kristina, and Sergey Skublov. 2024. "The Mobility of Major and Trace Elements in EOC Minerals on Parent Chondrite Bodies" Geosciences 14, no. 12: 334. https://doi.org/10.3390/geosciences14120334
APA StyleSukhanova, K., & Skublov, S. (2024). The Mobility of Major and Trace Elements in EOC Minerals on Parent Chondrite Bodies. Geosciences, 14(12), 334. https://doi.org/10.3390/geosciences14120334

