Experimental Analysis of the Fire-Induced Effects on the Physical, Mechanical, and Hydraulic Properties of Sloping Pyroclastic Soils
Abstract
:1. Introduction
2. Background
3. Materials and Methods
3.1. Study Area
3.2. Sample Collection, Field and Remote Sensing Investigations
3.3. Laboratory Tests
4. Results
4.1. Changes in Soil GSDCs, Color, Gs
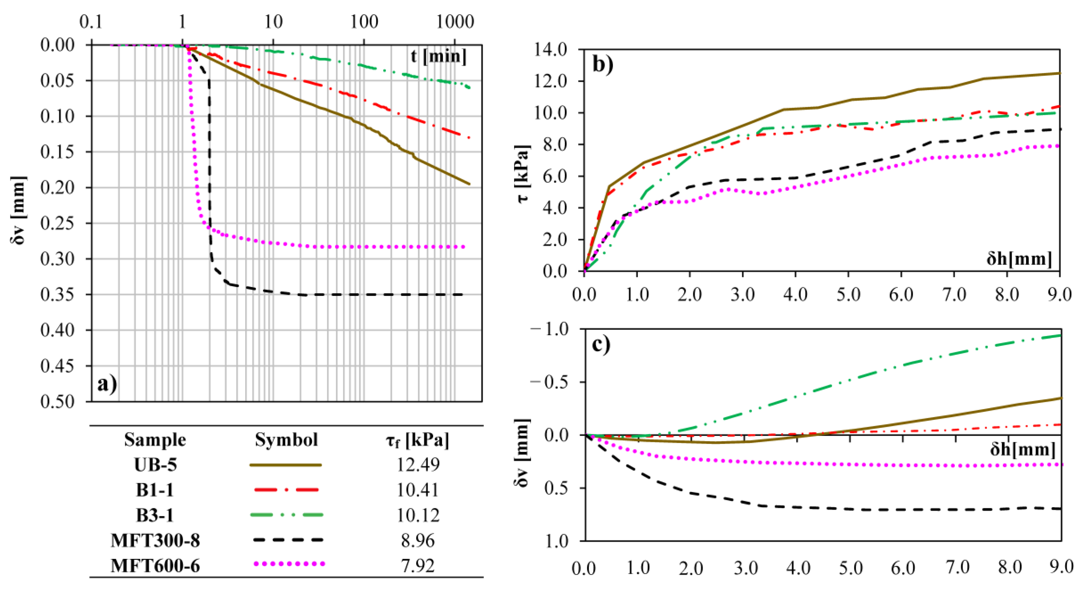
4.2. Changes in Soil Mechanical Properties–c, φ’
4.3. Changes in Soil Hydraulic Properties–SWRCs
5. Discussion
6. Conclusions
Author Contributions
Funding
Data Availability Statement
Acknowledgments
Conflicts of Interest
References
- Spano, D.; Camia, A.; Bacciu, V.; Masala, F.; Duguy, B.; Trigo, R.; Sousa, P.; Venäläinen, A.; Mouillot, F.; Curt, T.; et al. Recent trends in forest fires in Mediterranean areas and associated changes in fire regimes. In Forest Fires Under Climate, Social and Economic Changes in Europe, the Mediterranean and Other Fire-Affected Areas of the World: FUME: Lesson Learned and Outlook; Moreno, J.M., Arianoutsou, M., González-Cabán, A., Mouillot, F., Oechel, W.C., Spano, D., Thonicke, K., Vallejo, V.R., Vélez, R., Eds.; Calyptra Pty: Adelaïde, Australia, 2014; pp. 6–7. [Google Scholar]
- Williams, A.P.; Abatzoglou, J.T.; Gershunov, A.; Guzman-Morales, J.; Bishop, D.A.; Balch, J.K.; Lettenmaier, D.P. Observed Impacts of Anthropogenic Climate Change on Wildfire in California. Earth’s Future 2019, 7, 892–910. [Google Scholar] [CrossRef] [Green Version]
- Fonseca, M.G.; Alves, L.M.; Aguiar, A.P.D.; Arai, E.; Anderson, L.O.; Rosan, T.M.; Shimabukuro, Y.E.; De Aragão, L.E.O.E.C. Effects of climate and land-use change scenarios on fire probability during the 21st century in the Brazilian Amazon. Glob. Chang. Biol. 2019, 25, 2931–2946. [Google Scholar] [CrossRef] [PubMed]
- Nolan, R.H.; Boer, M.M.; Collins, L.; Resco de Dios, V.; Clarke, H.; Jenkins, M.; Kenny, B.; Bradstock, R.A. Causes and consequences of eastern Australia’s 2019–20 season of mega-fires. Glob. Chang. Biol. 2020, 26, 1039–1041. [Google Scholar] [CrossRef] [PubMed] [Green Version]
- Doerr, S.H.; Shakesby, R.A.; Walsh, R.P.D. Soil water repellency: Its causes, characteristics and hydro-geomorphological significance. Earth-Sci. Rev. 2000, 51, 33–65. [Google Scholar] [CrossRef]
- Robichaud, P.R.; Beyers, J.L.; Neary, D.G. Evaluating the Effectiveness of Postfire Rehabilitation Treatments; Gen. Tech. Rep. RMRS-GTR-63; U.S. Department of Agriculture, Forest Service, Rocky Mountain Research Station: Fort Collins, CO, USA, 2000; 85p. [Google Scholar]
- Neary, D.G. Post-wildland fire desertification: Can rehabilitation treatments make a difference? Fire Ecol. 2009, 5, 129–144. [Google Scholar] [CrossRef]
- Cannon, S.H.; Kirkham, R.M.; Parise, M. Wildfire-related debris-flow initiation processes, Storm King Mountain, Colorado. Geomorphology 2001, 39, 171–188. [Google Scholar] [CrossRef]
- Rengers, F.K.; McGuire, L.A.; Oakley, N.S.; Kean, J.W.; Staley, D.M.; Tang, H. Landslides after wildfire: Initiation, magnitude, and mobility. Landslides 2020, 17, 2631–2641. [Google Scholar] [CrossRef]
- Bordoloi, S.; Ng, C.W.W. The effects of vegetation traits and their stability functions in bio-engineered slopes: A perspective review. Eng. Geol. 2020, 275, 105742. [Google Scholar] [CrossRef]
- Flannigan, M.D.; Krawchuk, M.A.; De Groot, W.J.; Wotton, B.M.; Gowman, L.M. Implications of changing climate for global Wildland fire. Int. J. Wildland Fire 2009, 18, 483–507. [Google Scholar] [CrossRef]
- Turco, M.; Llasat, M.-C.; Von Hardenberg, J.; Provenzale, A. Climate change impacts on wildfires in a Mediterranean environment. Clim. Chang. 2014, 125, 369–380. [Google Scholar] [CrossRef]
- Mukherjee, S.; Aadhar, S.; Stone, D.; Mishra, V. Increase in extreme precipitation events under anthropogenic warming in India. Weather. Clim. Extrem. 2018, 20, 45–53. [Google Scholar] [CrossRef]
- Haile, G.G.; Tang, Q.; Hosseini-Moghari, S.; Liu, X.; Gebremicael, T.G.; Leng, G.; Kebede, A.; Xu, X.; Yun, X. Projected impacts of climate change on drought patterns over East Africa. Earth’s Future 2020, 8, e2020EF001502. [Google Scholar] [CrossRef]
- Halofsky, J.E.; Peterson, D.L.; Harvey, B.J. Changing wildfire, changing forests: The effects of climate change on fire regimes and vegetation in the Pacific Northwest, USA. Fire Ecol. 2020, 16, 4. [Google Scholar] [CrossRef] [Green Version]
- San-Miguel-Ayanz, J.; Durrant, T.; Boca, R.; Libertà, G.; Branco, A.; de Rigo, D.; Ferrari, D.; Maianti, P.; Artes, T.; Costa, H.; et al. Forest Fires in Europe, Middle East and North Africa 2018; Publications Office of the European Union: Luxembourg, 2019. [Google Scholar] [CrossRef]
- Cascini, L.; Cuomo, S.; Guida, D. Typical source areas of May 1998 flow-like mass movements in the Campania region, Southern Italy. Eng. Geol. 2008, 96, 107–125. [Google Scholar] [CrossRef]
- Esposito, G.; Matano, F.; Molisso, F.; Ruoppolo, G.; Di Benedetto, A.; Sacchi, M. Post-fire erosion response in a watershed mantled by volcaniclastic deposits, Sarno Mountains, Southern Italy. Catena 2017, 152, 227–241. [Google Scholar] [CrossRef] [Green Version]
- Cuomo, S.; Masi, E.B.; Tofani, V.; Moscariello, M.; Rossi, G.; Matano, F. Multiseasonal probabilistic slope stability analysis of a large area of unsaturated pyroclastic soils. Landslides 2021, 18, 1259–1274. [Google Scholar] [CrossRef]
- Keeley, J.E. Fire intensity, fire severity and burn severity: A brief review and suggested usage. Int. J. Wildland Fire 2009, 18, 116–126. [Google Scholar] [CrossRef]
- Sobrino, J.; Llorens, R.; Fernández, C.; Fernández-Alonso, J.M.; Vega, J.A. Relationship between Soil Burn Severity in Forest Fires Measured In Situ and through Spectral Indices of Remote Detection. Forests 2019, 10, 457. [Google Scholar] [CrossRef] [Green Version]
- Marcos, E.; Fernández-García, V.; Fernández-Manso, A.; Quintano, C.; Valbuena, L.; Tárrega, R.; Luis-Calabuig, E.; Calvo, L. Evaluation of Composite Burn Index and Land Surface Temperature for assessing soil burn severity in mediterranean fire-prone pine ecosystems. Forests 2018, 9, 494. [Google Scholar] [CrossRef] [Green Version]
- Key, C.H.; Benson, N.C. Landscape Assessment: Sampling and Analysis Methods: Firemon: Fire Effects Monitoring and Inventory System; General Technical Report RMRS-GTR-164-CD; USDA Forest Service, Rocky Mountain Research Station: Fort Collins, CO, USA, 2006. [Google Scholar]
- Ulery, A.L.; Graham, R.C. Forest Fire Effects on Soil Color and Texture. Soil Sci. Soc. Am. J. 1993, 57, 135–140. [Google Scholar] [CrossRef]
- Ketterings, Q.M.; Bigham, J.M. Soil Color as an Indicator of Slash-and-Burn Fire Severity and Soil Fertility in Sumatra, Indonesia. Soil Sci. Soc. Am. J. 2000, 64, 1826–1833. [Google Scholar] [CrossRef]
- Terefe, T.; Mariscal-Sancho, I.; Peregrina, F.; Espejo, R. Influence of heating on various properties of six Mediterranean soils. A laboratory study. Geoderma 2008, 143, 273–280. [Google Scholar] [CrossRef]
- Litton, C.M.; Santelices, R. Effect of wildfire on soil physical and chemical properties in a Nothofagus glauca forest, Chile. Rev. Chil. Hist. Natl. 2003, 76, 529–542. [Google Scholar] [CrossRef]
- Úbeda, X.; Outeiro, L.R. Physical and chemical effects of fire on soil. In Fire Effects on Soils and Restoration Strategies, 1st ed.; Cerdà, A., Robichaud, P.R., Eds.; CRC Press: Boca Raton, FL, USA, 2009; Volume 4, pp. 197–223. [Google Scholar]
- Hrelja, I.; Šestak, I.; Bogunović, I. Wildfire impacts on soil physical and chemical properties-A short review of recent studies. Agric. Conspec. Sci. 2020, 85, 293–301. [Google Scholar]
- Fernández-Raga, M.; Gutiérrez, E.G.; Keesstra, S.D.; Tárrega, R.; Nunes, J.P.; Marcos, E.; Rodrigo-Comino, J. Determining the potential impacts of fire and different land uses on splash erosion in the margins of drylands. J. Arid. Environ. 2021, 186, 104419. [Google Scholar] [CrossRef]
- Šestak, I.; Pereira, P.; Telak, L.; Perčin, A.; Hrelja, I.; Bogunović, I. Soil Chemical Properties and Fire Severity Assessment Using VNIR Proximal Spectroscopy in Fire-Affected Abandoned Orchard of Mediterranean Croatia. Agronomy 2022, 12, 129. [Google Scholar] [CrossRef]
- Schulze, D.G.; Nagel, J.L.; van Scoyoc, G.E.; Henderson, T.L.; Baumgardner, M.F.; Stott, D.E. Significance of organic matter in determining soil colors. In Soil Color; Bigham, J.M., Ciolkosz, E.J., Eds.; Soil Science Society of America, Special Publications: Madison, WI, USA, 1990; pp. 71–90. [Google Scholar] [CrossRef]
- Schwertmann, U. Relations between iron oxides, soil color, and soil formation. In Soil Color; Bigham, J.M., Ciolkosz, E.J., Eds.; Soil Science Society of America, Special Publications: Madison, WI, USA, 1990; pp. 51–69. [Google Scholar] [CrossRef]
- Eckmeier, E.; Mavris, C.; Krebs, R.; Pichler, B.; Egli, M. Black carbon contributes to organic matter in young soils in the Morteratsch proglacial area (Switzerland). Biogeosciences 2013, 10, 1265–1274. [Google Scholar] [CrossRef] [Green Version]
- Pereira, P.; Úbeda, X.; Martin, D.; Oliva, M.; Novara, A. Short-term spatio-temporal spring grassland fire effects on soil colour, organic matter and water repellency in Lithuania. Solid Earth Discuss. 2013, 5, 2119–2154. [Google Scholar] [CrossRef]
- Certini, G. Effects of fire on properties of forest soils: A review. Oecologia 2005, 143, 1–10. [Google Scholar] [CrossRef]
- Saha, M.V.; D’Odorico, P.; Scanlon, T.M. Albedo changes after fire as an explanation of fire-induced rainfall suppression. Geophys. Res. Lett. 2017, 44, 3916–3923. [Google Scholar] [CrossRef] [Green Version]
- Heydari, M.; Rostamy, A.; Najafi, F.; Dey, D.C. Effect of fire severity on physical and biochemical soil properties in Zagros oak (Quercus brantii Lindl.) forests in Iran. J. For. Res. 2017, 28, 95–104. [Google Scholar] [CrossRef]
- Zihms, S.G.; Switzer, C.; Karstunen, M.; Tarantino, A. Understanding the effects of high temperature processes on the engineering properties of soils. In Proceedings of the 18th International Conference on Soil Mechanics and Geotechnical Engineering, Paris, France, 2–6 September 2013; Volume 4, pp. 3427–3430. [Google Scholar]
- Stoof, C. Fire Effects on Soil and Hydrology. Ph.D. Thesis, Wageningen University, Wageningen, The Netherlands, 2015. [Google Scholar]
- DeBano, L.F.; Neary, D.G.; Ffolliott, P.F. Soil physical properties. In Wildland Fire in Ecosystems: Effects of Fire on Soil and Water; General Technical Report RMRS-GTR-42; Neary, D.G., Ryan, K.C., De Bano, L.F., Eds.; Department of Agriculture, Forest Service, Rocky Mountain Research Station: Ogden, UT, USA, 2005; Volume 4, pp. 29–52. [Google Scholar]
- Jiménez-Pinilla, P.; Mataix-Solera, J.; Arcenegui, V.; Delgado, R.; Martín-García, J.M.; Lozano, E.; Martínez-Zavala, L.; Jordán, A. Advances in the knowledge of how heating can affect aggregate stability in Mediterranean soils: A XDR and SEM-EDX approach. Catena 2016, 147, 315–324. [Google Scholar] [CrossRef]
- Thomaz, E.L. High fire temperature changes soil aggregate stability in slash-and-burn agricultural systems. Sci. Agric. 2017, 74, 157–162. [Google Scholar] [CrossRef] [Green Version]
- Jhariya, M.K.; Singh, L. Effect of fire severity on soil properties in a seasonally dry forest ecosystem of Central India. Int. J. Environ. Sci. Technol. 2021, 18, 3967–3978. [Google Scholar] [CrossRef]
- Michaletz, S.T.; Johnson, E.A. How forest fires kill trees: A review of the fundamental biophysical processes. Scand. J. For. Res. 2007, 22, 500–515. [Google Scholar] [CrossRef]
- Lei, M.; Cui, Y.; Ni, J.; Zhang, G.; Li, Y.; Wang, H.; Liu, D.; Yi, S.; Jin, W.; Zhou, L. Temporal evolution of the hydromechanical properties of soil-root systems in a forest fire in China. Sci. Total Environ. 2021, 809, 151165. [Google Scholar] [CrossRef]
- Vergani, C.; Werlen, M.; Conedera, M.; Cohen, D.; Schwarz, M. Investigation of root reinforcement decay after a forest fire in a Scots pine (Pinus sylvestris) protection forest. For. Ecol. Manag. 2017, 400, 339–352. [Google Scholar] [CrossRef]
- Debano, L.F. The role of fire and soil heating on water repellency in wildland environments: A review. J. Hydrol. 2000, 231, 195–206. [Google Scholar] [CrossRef]
- Movasat, M.; Tomac, I. Assessment of Physical Properties of Water-Repellent Soils. J. Geotech. Geoenviron. Eng. 2021, 147, 06021010. [Google Scholar] [CrossRef]
- Rasyid, B.; Oda, M.; Omae, H. Soil water retention and plant growth response on the soil affected by continuous organic matter and plastic mulch application. In IOP Conference Series: Earth and Environmental Science; IOP Publishing: Bristol, UK, 2018; Volume 157, p. 012008. [Google Scholar] [CrossRef]
- Silva, J.S.; Rego, F.C.; Mazzoleni, S. Soil water dynamics after fire in a Portuguese shrubland. Int. J. Wildland Fire 2006, 15, 99–111. [Google Scholar] [CrossRef]
- Panagea, I.S.; Berti, A.; Čermak, P.; Diels, J.; Elsen, A.; Kusá, H.; Piccoli, I.; Poesen, J.; Stoate, C.; Tits, M.; et al. Soil Water Retention as Affected by Management Induced Changes of Soil Organic Carbon: Analysis of Long-Term Experiments in Europe. Land 2021, 10, 1362. [Google Scholar] [CrossRef]
- Khanna, P.K.; Raison, R.J.; Falkiner, R.A. Chemical properties of ash derived from Eucalyptus litter and its effects on forest soils. For. Ecol. Manag. 1994, 66, 107–125. [Google Scholar] [CrossRef]
- Woods, S.W.; Balfour, V.N. The effect of ash on runoff and erosion after a severe forest wildfire, Montana, USA. Int. J. Wildland Fire 2008, 17, 535–548. [Google Scholar] [CrossRef]
- Cerdà, A.; Doerr, S.H. The effect of ash and needle cover on surface runoff and erosion in the immediate post-fire period. Catena 2008, 74, 256–263. [Google Scholar] [CrossRef]
- Silva, V.; Abrantes, N.; Costa, R.; Keizer, J.J.; Gonçalves, F.; Pereira, J.L. Effects of ash-loaded post-fire runoff on the freshwater clam Corbicula fluminea. Ecol. Eng. 2016, 90, 180–189. [Google Scholar] [CrossRef]
- Stoof, C.R.; Gevaert, A.I.; Baver, C.; Hassanpour, B.; Morales, V.L.; Zhang, W.; Martin, D.; Giri, S.K.; Steenhuis, T.S. Can pore-clogging by ash explain post-fire runoff? Int. J. Wildland Fire 2016, 25, 294–305. [Google Scholar] [CrossRef]
- Mallik, A.U.; Gimingham, C.H.; Rahman, A.A. Ecological Effects of Heather Burning: I. Water Infiltration, Moisture Retention and Porosity of Surface Soil. J. Ecol. 1984, 72, 767–776. [Google Scholar] [CrossRef]
- ISPRA. IFFI Database. 2014. Available online: https://www.isprambiente.gov.it/it/progetti/cartella-progetti-in-corso/suolo-e-territorio-1/iffi-inventario-dei-fenomeni-franosi-in-italia. (accessed on 7 January 2021).
- Di Nocera, S.; Matano, F.; Pescatore, T.; Pinto, F.; Torre, M.L. Geological characteristics of the external sector of the Campania-Lucania Apennines in the CARG maps [Caratteri geologici del settore esterno dell’Appennino campano-lucano nei Fogli CARG]. Rend. Online Soc. Geol. Ital. 2011, 12, 39–43. [Google Scholar]
- Rolandi, G.; Petrosino, P.; Mc Geehin, J. The interplinian activity at Somma–Vesuvius in the last 3500 years. J. Volcanol. Geotherm. Res. 1998, 82, 19–52, ISSN 0377-0273. [Google Scholar] [CrossRef]
- WRB. World Reference Base for Soil Resources 2006 Reports; FAO Press: Rome, Italy, 2006. [Google Scholar]
- Bilotta, E.; Cascini, L.; Foresta, V.; Sorbino, G. Geotechnical characterisation of pyroclastic soils involved in huge flowslides. Geotech. Geol. Eng. 2005, 23, 365–402. [Google Scholar] [CrossRef]
- Picarelli, L.; Olivares, L.; Damiano, E.; Darban, R.; Santo, A. The effects of extreme precipitations on landslide hazard in the pyroclastic deposits of Campania Region: A review. Landslides 2020, 17, 2343–2358. [Google Scholar] [CrossRef]
- Foresta, V.; Capobianco, V.; Cascini, L. The influence of grass roots on the shear strength of pyroclastic soils. Can. Geotech. J. 2019, 57, 1320–1334. [Google Scholar] [CrossRef] [Green Version]
- ASTM D422-63(2007)e2; Standard Test Method for Particle-Size Analysis of Soils (Withdrawn 2016). ASTM International: West Conshohocken, PA, USA, 2007.
- ASTM D854-14; Standard Test Methods for Specific Gravity of Soil Solids by Water Pycnometer. ASTM International: West Conshohocken, PA, USA, 2014.
- ASTM D3080/D3080M-11; Standard Test Method for Direct Shear Test of Soils Under Consolidated Drained Conditions (Withdrawn 2020). ASTM International: West Conshohocken, PA, USA, 2011.
- Aversa, S.; Nicotera, M.V. A triaxial and oedometer apparatus for testing unsaturated soils. Geotech. Test. J. 2002, 25, 3–15. [Google Scholar] [CrossRef]
- Fredlund, D.J.; Rahardjo, H. Soil Mechanics for Unsaturated Soils, 1st ed.; John Wiley & Sons Inc.: New York, NY, USA, 1993. [Google Scholar]
- Hilf, J.W. An Investigation of Pore Water Pressure in Compacted Cohesive Soils; US Bureau of Reclamation: Denver, CO, USA, 1956; p. 654. [Google Scholar]
- van Genuchten, M.T. A Closed-form Equation for Predicting the Hydraulic Conductivity of Unsaturated Soils. Soil Sci. Soc. Am. J. 1980, 44, 892–898. [Google Scholar] [CrossRef] [Green Version]
- Durner, W. Hydraulic conductivity estimation for soils with heterogeneous pore structure. Water Resour. Res. 1994, 30, 211–223. [Google Scholar] [CrossRef]
- Abdullahi, M. Characteristics of wood ash/OPC concrete. Leonardo Electron. J. Pract. Technol. 2006, 8, 9–16. [Google Scholar]
- Fonseca, F.; Leite, M.; Figueiredo, T. Soil properties in burned and unburned Mediterranean shrublands of Montesinho Natural Park, Northeast Portugal. In Proceedings of the 3rd International Meeting of Fire Effects on Soil Properties, Guimarães, Portugal, 15–19 March 2011; pp. 144–147, ISBN 978-989-97214-0-1. [Google Scholar]
- Wu, T.H. Investigation on Landslides on Prince of Wales Island Alaska Geotech; Rpt No. 5 Dpt Civ Eng; The Ohio State University: Columbus, OH, USA, 1976. [Google Scholar]
- Waldron, L.J. The shear stress resistance of root permeated homogeneous and stratified soil. Soil Sci. Soc. Am. J. 1977, 41, 843–849. [Google Scholar] [CrossRef]
- Wu, T.H.; Mckinnel, W.P.; Swanton, D.N. Strength of tree roots and landslides on Prince of Wales Island, Alaska. Can. Geotech. J. 1979, 16, 19–33. [Google Scholar] [CrossRef]
- De Graff, J.V. A rationale for effective post-fire debris flow mitigation within forested terrain. Geoenvironmental Disasters 2018, 5, 7. [Google Scholar] [CrossRef]
- Gehring, E.; Conedera, M.; Maringer, J.; Giadrossich, F.; Guastini, E.; Schwarz, M. Shallow landslide disposition in burnt European beech (Fagus sylvatica L.) forests. Sci. Rep. 2019, 9, 8638. [Google Scholar] [CrossRef]
- Lim, M.S.; Wijeyesekera, D.C.; Zainorabidin, A.; Bakar, I. The Effects of Particle Morphology (Shape and Sizes) Characteristics on its Engineering Behaviour and Sustainable Engineering Performance of Sand. Int. J. Integr. Eng. 2012, 4, 27–37. [Google Scholar]
- Yang, F.; Zhang, G.L.; Yang, J.L.; Li, D.C.; Zhao, Y.G.; Liu, F.; Yang, R.M.; Yang, F. Organic matter controls of soil water retention in an alpine grassland and its significance for hydrological processes. J. Hydrol. 2014, 519, 3086–3093. [Google Scholar] [CrossRef]
- Smith, C.W.; Johnston, M.A.; Lorentz, S.A. The effect of soil compaction on the water retention characteristics of soils in forest plantations. South Afr. J. Plant Soil 2001, 18, 87–97. [Google Scholar] [CrossRef]
- Zhang, L.M.; Li, X. Microporosity Structure of Coarse Granular Soils. J. Geotech. Geoenvironmental Eng. 2010, 136, 1425–1436. [Google Scholar] [CrossRef]
- Burger, C.A.; Shackelford, C.D. Evaluating dual porosity of pelletized diatomaceous earth using bimodal soil-water characteristic curve functions. Can. Geotech. J. 2001, 38, 53–66. [Google Scholar] [CrossRef]
- Tarantino, A. Unsaturated soils: Compacted versus reconstituted states. In Proceedings of the 5th International Conference on Unsaturated Soil, Barcelona, Spain, 6–8 September 2010; Volume 1, pp. 113–136. [Google Scholar]
- Ferlisi, S.; Foresta, V. Influence of net stress on the soil-water retention curves of a natural pyroclastic soil. Geotech. Lett. 2017, 7, 339–346. [Google Scholar] [CrossRef]
- Shakesby, R.A.; Doerr, S.H. Wildfire as a hydrological and geomorphological agent. Earth-Sci. Rev. 2006, 74, 269–307. [Google Scholar] [CrossRef]
- Wesseling, J.G.; Stoof, C.R.; Ritsema, C.J.; Oostindie, K.; Dekker, L.W. The effect of soil texture and organic amendment on the hydrological behaviour of coarsetextured soils. Soil Use Manag. 2009, 25, 274–283. [Google Scholar] [CrossRef]










| Sample 1 | Gs 2 | ni 3 | nc 4 | nf 5 | σ’vf 6 | τf 7 |
|---|---|---|---|---|---|---|
| [-] | [-] | [-] | [-] | [kPa] | [kPa] | |
| UB-1 | 2.48 | 0.69 | 0.69 | 0.70 | 10.6 | 12.9 |
| UB-2 | 2.53 | 0.59 | 0.58 | 0.59 | 34.1 | 29.2 |
| UB-3 | 2.60 | 0.66 | 0.66 | 0.66 | 17.6 | 17.1 |
| UB-4 | 2.57 | 0.62 | 0.62 | 0.67 | 10.6 | 11.7 |
| UB-5 a | 2.56 | 0.71 | 0.71 | 0.72 | 10.6 | 12.5 |
| B1-1 a | 2.41 | 0.66 | 0.66 | 0.66 | 10.6 | 10.4 |
| B1-2 | 2.45 | 0.64 | 0.63 | 0.63 | 17.6 | 16.1 |
| B1-3 | 2.30 | 0.67 | 0.66 | 0.67 | 23.5 | 20.4 |
| B1-4 | 2.42 | 0.67 | 0.66 | 0.66 | 34.1 | 27.0 |
| B3-1 a | 2.61 | 0.68 | 0.68 | 0.70 | 10.6 | 10.1 |
| B3-2 | 2.53 | 0.64 | 0.62 | 0.63 | 23.5 | 20.0 |
| B3-3 | 2.61 | 0.64 | 0.64 | 0.63 | 17.6 | 15.4 |
| B3-4 | 2.41 | 0.64 | 0.63 | 0.62 | 34.1 | 26.7 |
| B3-5 | 2.73 | 0.53 | 0.53 | 0.52 | 10.6 | 10.4 |
| MFT300-1 | 2.64 | 0.67 | 0.63 | 0.67 | 10.6 | 8.3 |
| MFT300-2 | 2.64 | 0.61 | 0.52 | 0.52 | 17.6 | 14.2 |
| MFT300-3 | 2.64 | 0.66 | 0.60 | 0.58 | 34.1 | 25.1 |
| MFT300-4 | 2.73 | 0.54 | 0.52 | 0.51 | 10.6 | 8.7 |
| MFT300-5 | 2.73 | 0.54 | 0.54 | 0.53 | 17.6 | 14.2 |
| MFT300-6 | 2.73 | 0.54 | 0.54 | 0.52 | 34.1 | 25.8 |
| MFT300-7 | 2.79 | 0.50 | 0.44 | 0.46 | 10.6 | 9.2 |
| MFT300-8 a | 2.79 | 0.50 | 0.49 | 0.48 | 10.6 | 9.0 |
| MFT300-9 | 2.79 | 0.50 | 0.50 | 0.47 | 17.6 | 14.6 |
| MFT300-10 | 2.66 | 0.53 | 0.53 | 0.53 | 17.6 | 13.8 |
| MFT300-11 | 2.66 | 0.53 | 0.53 | 0.52 | 34.1 | 25.0 |
| MFT600-1 | 2.72 | 0.53 | 0.53 | 0.52 | 1.2 | 1.7 |
| MFT600-2 | 2.72 | 0.53 | 0.49 | 0.49 | 10.6 | 8.3 |
| MFT600-3 | 2.72 | 0.53 | 0.49 | 0.48 | 17.6 | 12.1 |
| MFT600-4 | 2.72 | 0.53 | - | - | 23.5 | 15.8 |
| MFT600-5 | 2.72 | 0.53 | 0.48 | 0.47 | 34.1 | 22.9 |
| MFT600-6 a | 2.80 | 0.53 | 0.52 | 0.52 | 10.6 | 7.9 |
| MFT600-7 | 2.80 | 0.53 | 0.51 | 0.51 | 17.6 | 12.9 |
| MFT600-8 | 2.68 | 0.52 | 0.51 | 0.51 | 10.6 | 7.9 |
| MFT600-9 | 2.68 | 0.52 | 0.50 | 0.51 | 17.6 | 13.3 |
| MFT600-10 | 2.68 | 0.52 | 0.52 | 0.51 | 34.1 | 21.3 |
| Sample | D 1 | H0 2 | H1 3 | V1 4 | Gs 5 | n0 6 | S7r,0 | S8r,1 | n9f | S10r,f |
|---|---|---|---|---|---|---|---|---|---|---|
| [cm] | [cm] | [cm] | [cm3] | [-] | [-] | [-] | [-] | [-] | [-] | |
| UB-6 | 5.60 | 2.00 | 2.00 | 49.26 | 2.50 | 0.69 | 0.40 | 1.00 | 0.69 | 0.26 |
| B1-5 | 2.00 | 49.26 | 2.38 | 0.69 | 0.61 | 0.68 | 0.32 | |||
| B3-6 | 2.00 | 49.26 | 2.54 | 0.70 | 0.29 | 0.70 | 0.31 | |||
| MFT600-11 | 1.60 | 39.41 | 2.79 | 0.69 | 0.36 | 0.62 | 0.39 |
| ψ1 | ∆V2w | V3w | H4 | V5 | θ6w | n7 | S8r |
|---|---|---|---|---|---|---|---|
| [kPa] | [cm3] | [cm3] | [cm3] | [cm3] | [cm3/cm3] | [-] | [-] |
| UB-6 | |||||||
| 0 | 0.00 | 33.67 | 2.00 | 49.26 | 0.68 | 0.69 | 1.00 |
| 1 | −3.21 | 30.45 | 2.00 | 49.27 | 0.62 | 0.69 | 0.89 |
| 3 | −5.64 | 24.81 | 2.00 | 49.27 | 0.50 | 0.69 | 0.73 |
| 6 | −2.35 | 22.46 | 2.00 | 49.16 | 0.46 | 0.69 | 0.66 |
| 10 | −1.43 | 21.03 | 2.00 | 49.17 | 0.43 | 0.69 | 0.62 |
| 20 | −1.82 | 19.20 | 2.00 | 49.17 | 0.39 | 0.69 | 0.56 |
| 40 | −2.32 | 16.89 | 1.99 | 49.10 | 0.34 | 0.69 | 0.50 |
| 75 | −1.42 | 15.47 | 1.99 | 49.05 | 0.32 | 0.69 | 0.46 |
| 95 | −0.71 | 14.76 | 1.99 | 49.03 | 0.30 | 0.69 | 0.44 |
| B1-5 | |||||||
| 0 | 0.00 | 34.87 | 2.00 | 49.26 | 0.69 | 0.69 | 1.00 |
| 1 | −3.24 | 31.63 | 2.00 | 49.27 | 0.64 | 0.69 | 0.94 |
| 3 | −5.54 | 26.09 | 2.00 | 49.22 | 0.53 | 0.69 | 0.77 |
| 6 | −3.33 | 22.76 | 2.00 | 49.14 | 0.46 | 0.69 | 0.68 |
| 10 | −1.76 | 21.00 | 1.99 | 48.98 | 0.43 | 0.68 | 0.63 |
| 20 | −2.46 | 18.54 | 1.99 | 48.98 | 0.38 | 0.68 | 0.55 |
| 40 | −2.07 | 16.47 | 1.99 | 49.03 | 0.34 | 0.68 | 0.49 |
| 75 | −1.92 | 14.55 | 1.99 | 49.02 | 0.30 | 0.68 | 0.43 |
| 95 | −0.75 | 13.81 | 1.99 | 49.02 | 0.28 | 0.68 | 0.41 |
| B3-6 | |||||||
| 0 | 0.00 | 38.41 | 2.00 | 49.26 | 0.70 | 0.70 | 1.00 |
| 2 | −4.45 | 33.96 | 2.00 | 49.16 | 0.69 | 0.70 | 0.99 |
| 6 | −8.14 | 25.81 | 1.98 | 48.77 | 0.53 | 0.70 | 0.76 |
| 7 | −2.66 | 23.15 | 1.98 | 48.79 | 0.47 | 0.70 | 0.68 |
| 10 | −2.05 | 21.10 | 1.98 | 48.76 | 0.43 | 0.70 | 0.62 |
| 20 | −3.02 | 18.08 | 1.98 | 48.69 | 0.37 | 0.70 | 0.53 |
| 40 | −1.99 | 16.10 | 1.97 | 48.62 | 0.33 | 0.70 | 0.48 |
| 75 | −1.36 | 14.74 | 1.97 | 48.61 | 0.30 | 0.70 | 0.44 |
| 95 | −0.26 | 14.48 | 1.98 | 48.67 | 0.30 | 0.70 | 0.43 |
| MFT600-11 | |||||||
| 0 | 0.00 | 32.35 | 1.60 | 39.41 | 0.62 | 0.62 | 1.00 |
| 1 | −14.39 | 17.96 | 1.60 | 39.40 | 0.46 | 0.62 | 0.74 |
| 2 | −0.17 | 17.79 | 1.60 | 39.40 | 0.45 | 0.62 | 0.73 |
| 5 | −0.64 | 17.16 | 1.60 | 39.41 | 0.44 | 0.62 | 0.71 |
| 10 | −0.15 | 17.01 | 1.60 | 39.43 | 0.43 | 0.62 | 0.70 |
| 20 | −0.86 | 16.15 | 1.60 | 39.39 | 0.41 | 0.62 | 0.66 |
| 40 | −2.04 | 14.11 | 1.60 | 39.39 | 0.36 | 0.62 | 0.58 |
| 70 | −3.12 | 10.99 | 1.60 | 39.39 | 0.28 | 0.62 | 0.45 |
| 95 | −1.50 | 9.49 | 1.60 | 39.40 | 0.24 | 0.62 | 0.39 |
Publisher’s Note: MDPI stays neutral with regard to jurisdictional claims in published maps and institutional affiliations. |
© 2022 by the authors. Licensee MDPI, Basel, Switzerland. This article is an open access article distributed under the terms and conditions of the Creative Commons Attribution (CC BY) license (https://creativecommons.org/licenses/by/4.0/).
Share and Cite
Peduto, D.; Iervolino, L.; Foresta, V. Experimental Analysis of the Fire-Induced Effects on the Physical, Mechanical, and Hydraulic Properties of Sloping Pyroclastic Soils. Geosciences 2022, 12, 198. https://doi.org/10.3390/geosciences12050198
Peduto D, Iervolino L, Foresta V. Experimental Analysis of the Fire-Induced Effects on the Physical, Mechanical, and Hydraulic Properties of Sloping Pyroclastic Soils. Geosciences. 2022; 12(5):198. https://doi.org/10.3390/geosciences12050198
Chicago/Turabian StylePeduto, Dario, Luca Iervolino, and Vito Foresta. 2022. "Experimental Analysis of the Fire-Induced Effects on the Physical, Mechanical, and Hydraulic Properties of Sloping Pyroclastic Soils" Geosciences 12, no. 5: 198. https://doi.org/10.3390/geosciences12050198
APA StylePeduto, D., Iervolino, L., & Foresta, V. (2022). Experimental Analysis of the Fire-Induced Effects on the Physical, Mechanical, and Hydraulic Properties of Sloping Pyroclastic Soils. Geosciences, 12(5), 198. https://doi.org/10.3390/geosciences12050198

