Clay Mineralogy and Geochemistry of the Pockmarked Surface Sediments from the Southwestern Xisha Uplift, South China Sea: Implications for Weathering and Provenance
Abstract
1. Introduction
2. Geological Setting
3. Materials and Methods
4. Results
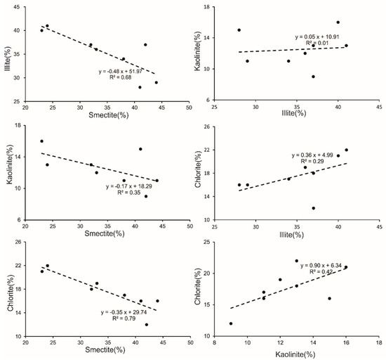
4.1. Principal Mineral Composition in Surface Sediments/Mineralogy
4.2. Geochemistry
5. Discussion
5.1. Sediment Provenance
5.2. Quantifying Weathering Intensity in the Xisha Uplift
5.3. Transport Mechanism of Clay Minerals in the Northern SCS
6. Conclusions
Author Contributions
Funding
Data Availability Statement
Acknowledgments
Conflicts of Interest
References
- Liu, Z.; Colin, C.; Huang, W.; Chen, Z.; Trentesaux, A.; Chen, J. Clay minerals in surface sediments of the Pearl River drainage basin and their contribution to the South China Sea. Chin. Sci. Bull. 2007, 52, 1101–1111. [Google Scholar] [CrossRef]
- Dou, Y.; Li, J.; Zhao, J.; Wei, H.; Yang, S.; Bai, F.; Zhang, D.; Ding, X.; Wang, L. Clay mineral distributions in surface sediments of the Liaodong Bay, Bohai Sea and surrounding river sediments: Source and transport patterns. Cont. Shelf Res. 2014, 73, 72–82. [Google Scholar] [CrossRef]
- Shi, X.; Liu, S.; Fang, X.; Qiao, S.; Khokiattiwong, S.; Kornkanitnan, N. Distribution of clay minerals in surface sediments of the western Gulf of Thailand: Sources and transport patterns. J. Asian Earth Sci. 2015, 105, 390–398. [Google Scholar] [CrossRef]
- Liu, Z.F.; Trentesaux, A.; Clemens, S.C.; Colin, C.; Wang, P.; Huang, B.; Boulay, S. Clay mineral assemblages in the northern South China Sea: Implications for East Asian monsoon evolution over the past 2 million years. Mar. Geol. 2003, 201, 133–146. [Google Scholar] [CrossRef]
- Liu, Z.; Colin, C.; Li, X.; Zhao, Y.; Tuo, S.; Chen, Z.; Siringan, F.; Liu, J.; Huang, C.; You, C.; et al. Clay mineral distribution in surface sediments of the northeastern South China Sea and surrounding fluvial drainage basins: Source and transport. Mar. Geol. 2010, 277, 48–60. [Google Scholar] [CrossRef]
- Piper, D.Z.; Ludington, S.; Duval, J.S.; Taylor, H.E. Geochemical of bed and suspend sediment in the Mississippi river system: Provenance versus weathering and winnowing. Sci. Total Environ. 2006, 362, 179–204. [Google Scholar] [CrossRef]
- Borges, J.B.; Huh, Y.; Moon, S.; Noh, H. Provenance and weathering control on river bed sediments of the eastern Tibetan Plateau and the Russian Far East. Chem. Geol. 2008, 254, 52–72. [Google Scholar] [CrossRef]
- Singh, P. Major, trace and REE geochemistry of the Ganga River sediments: Influence of provenance and sedimentary processes. Chem. Geol. 2009, 266, 251–264. [Google Scholar] [CrossRef]
- Perri, F.; Critelli, S.; Mongelli, G.; Cullers, R.L. Sedimentary evolution of the Mesozoic continental redbeds using geochemical and mineralogical tools: The case of Upper Triassic to Lowermost Jurassic Monte di Gioiosa mudrocks (Sicily, southern Italy). Int. J. Earth Sci. 2011, 100, 1569–1587. [Google Scholar] [CrossRef]
- Hu, B.; Li, J.; Cui, R.; Wei, H.; Zhao, J.; Li, G.; Fang, X.; Ding, X.; Zou, L.; Bai, F. Clay mineralogy of the riverine sediments of Hainan Island, South China Sea: Implications for weathering and provenance. J. Asian Earth Sci. 2014, 96, 84–92. [Google Scholar] [CrossRef]
- Li, J.; Liu, S.; Shi, X.; Feng, X.; Fang, X.; Cao, P.; Sun, X.; Wenxing, Y.; Khokiattiwong, S.; Kornkanitnan, N. Distributions of clay minerals in surface sediments of the middle Bay of Bengal: Source and transport pattern. Cont. Shelf Res. 2017, 145, 59–67. [Google Scholar] [CrossRef]
- Pang, H.; Pan, B.; Garzanti, E.; Gao, H.; Zhao, X.; Chen, D. Mineralogy and geochemistry of modern Yellow River sediments: Implications for weathering and provenance. Chem. Geol. 2018, 488, 76–86. [Google Scholar] [CrossRef]
- Critelli, S. Provenance of Mesozoic to Cenozoic Circum-Mediterranean sandstones in relation to tectonic setting. Earth Sci. Rev. 2018, 185, 624–648. [Google Scholar] [CrossRef]
- Malekzadeh, M.; Hosseini-Barzi, M.; Sadeghi, A.; Critelli, S. Geochemistry of Asara Shale member of Karaj Formation, Central Alborz, Iran: Provenance, Source Weathering and Tectonic Setting. Mar. Pet. Geol. 2020, 121, 104584. [Google Scholar] [CrossRef]
- Scarciglia, F.; Le Pera, E.; Critelli, S. The onset of sedimentary cycle in a mid-latitude upland environment: Weathering, pedogenesis and geomorphic processes on plutonic rocks (Sila Massif, Calabria). In Sedimentary Provenance: Petrographic and Geochemical Perspectives; Arribas, J., Critelli, S., Johnsson, M., Eds.; Geological Society of America Special Paper: Boulder, CO, USA, 2007; Volume 420, pp. 149–166. [Google Scholar]
- Scarciglia, F.; Critelli, S.; Borrelli, L.; Coniglio, S.; Muto, F.; Perri, F. Weathering profiles in granitoid rocks of the Sila Massif uplands, Calabria, southern Italy: New insights into their formation processes and rates. Sediment. Geol. 2016, 336, 46–67. [Google Scholar] [CrossRef]
- Milliman, J.D.; Farnsworth, K. River Discharge into the Coastal Ocean—AGlobal Synthesis, 1st ed.; Cambridge University Press: Cambridge, UK, 2011. [Google Scholar]
- Wang, L.; Sarnthein, M.; Erlenkeuser, H.; Grimalt, J.; Grootes, P.; Heilig, S.; Ivanova, E.; Kienast, M.; Pelejero, C.; Pflaumann, U. East Asian monsoon climate during the Late Pleistocene: High-resolution sediment records from the South China Sea. Mar. Geol. 1999, 156, 245–284. [Google Scholar] [CrossRef]
- Li, X.; Wei, G.; Shao, L.; Liu, Y.; Liang, X.; Jian, Z.; Sun, M.; Wang, P. Geochemical and Nd isotopic variations in sediments of the South China Sea: A response to Cenozoic tectonism in SE Asia. Earth Planet. Sci. Lett. 2003, 211, 207–220. [Google Scholar] [CrossRef]
- Boulay, S.; Colin, C.; Trentesaux, A.; Pluquet, F.; Bertaux, J.; Blamart, D.; Buehring, C.; Wang, P. Mineralogy and Sedimentology of Pleistocene Sediment in the South China Sea (ODP Site 1144). Prell, W., Wang, P., Blum, P., Rea, D., Clemens, S.C., Eds.; 2003. Available online: http://www-odp.tamu.edu/publications/184_SR/ (accessed on 18 February 2003).
- Boulay, S.; Colin, C.; Trentesaux, A.; Frank, N.; Liu, Z. Sediment sources and East Asian monsoon intensity over the last 450 ky. Mineralogical and geochem-ical investigations on South China Sea sediments. Palaeogeogr. Palaeoclimatol. Palaeoecol. 2005, 228, 260–277. [Google Scholar] [CrossRef]
- Liu, Z.F.; Tuo, S.; Colin, C.; Liu, J.T.; Huang, C.-Y.; Selvaraj, K.; Chen, C.-T.A.; Zhao, Y.; Siringan, F.P.; Boulay, S.; et al. Detrital fine-grained sediment contribution from Taiwan to the northern South China Sea and its relation to regional ocean circulation. Mar. Geol. 2008, 255, 149–155. [Google Scholar] [CrossRef]
- Liu, J.; Chen, M.; Chen, Z.; Yan, W. Clay mineral distribution in surface sediments of the South China Sea and its significance for sediment sources and transport. Chin. J. Oceanol. Limnol. 2010, 28, 407–415. [Google Scholar] [CrossRef]
- Wan, S.; Li, A.; Clift, P.; Stutt, J. Development of the East Asian monsoon: Mineralogical and sedimentologic records in the northern South China Sea since 20 Ma. Palaeogeogr. Palaeoclimatol. Palaeoecol. 2007, 254, 561–582. [Google Scholar] [CrossRef]
- Chen, M.; Zhang, L.; Zhang, L.; Xiang, R.; Lu, J. Preservation of radiolarian diversity and abundance in surface sediments of the South China Sea and its environmental implication. J. Chin. Univ. Geosci. 2008, 19, 217–229. [Google Scholar]
- Huang, E.; Tian, J.; Steinke, S. Millennial-scale dynamics of the winter cold tongue in the southern South China Sea over the past 26ka and the East Asian winter monsoon. Quat. Res. 2011, 75, 196–204. [Google Scholar] [CrossRef]
- Li, X.; Jian, Z.; Shi, X.; Liu, S.; Chen, Z.; Wu, Y.; Shi, F. A Holocene record of millennial-scale climate changes in the mud area on the inner shelf of the East China Sea. Quatern. Int. 2015, 384, 22–27. [Google Scholar] [CrossRef]
- Shao, L.; Qiao, P.J.; Pang, X.; Wei, G.J.; Li, Q.Y.; Miao, W.L.; Li, A. Nd isotopic variations and its implications in the recent sediments from the northern South China Sea. Chin. Sci. Bull. 2009, 54, 311–317. [Google Scholar] [CrossRef]
- Wei, G.J.; Liu, Y.; Ma, J.L.; Xie, L.H.; Chen, J.F.; Deng, W.F.; Tang, S. Nd, Sr isotopes and elemental geochemistry of surface sediments from the South China Sea: Implications for provenance tracing. Mar. Geol. 2012, 319–322, 21–34. [Google Scholar] [CrossRef]
- Webster, P.J. The role of hydrological processes in ocean-atmosphere interactions. Rev. Geophys. 1994, 32, 427–476. [Google Scholar] [CrossRef]
- Fang, G.; Fang, W.; Fang, Y.; Wang, K. A survey of studies on the South China Sea upper ocean circulation. Acta Oceanogr. Taiwan. 1998, 37, 1–16. [Google Scholar]
- Caruso, M.; Gawarkiewicz, G.; Beardsley, R.C. Interannual variability of the Kuroshio intrusion in the South China Sea. J. Oceanogr. 2006, 62, 559–575. [Google Scholar] [CrossRef]
- Zhu, W.; Huang, B.; Mi, L.; Wilkins, R.W.T.; Fu, N.; Xiao, X. Geochemistry, origin, and deep-water exploration potential of natural gases in the Pearl River Mouth and Qiongdongnan basins, South China Sea. Aapg Bull. 2009, 93, 741–761. [Google Scholar] [CrossRef]
- Huang, B.; Xiao, X.; Li, X. Geochemistry and origins of natural gases in the Yinggehai and Qiongdongnan basins, offshore South China Sea. Org. Geochem. 2003, 34, 1009–1025. [Google Scholar] [CrossRef]
- Sun, Q.L.; Wu, S.G.; Cartwright, J.; Lüdmann, T.; Yao, G.S. Focused fluid flow systems of the Zhongjiannan Basin and Guangle Uplift, South China Sea. Basin Res. 2013, 25, 97–111. [Google Scholar] [CrossRef]
- Sun, Q.L.; Wu, S.G.; Hovland, M.; Luo, P.; Lu, Y.T.; Qu, T.L. The morphologies and genesis of mega-pockmarks near the Xisha Uplift, South China Sea. Mar. Pet. Geol. 2011, 28, 1146–1156. [Google Scholar] [CrossRef]
- Wang, X.; Wu, S.; Yuan, S.; Wang, D.; Ma, Y.; Yao, G.; Gong, Y.; Zhang, G. Geophysical signatures associated with fluid flow and gas hydrate occurrence in a tectonically quiescent sequence, Qiongdongnan Basin, South China Sea. Geofluids 2010, 10, 351–368. [Google Scholar] [CrossRef]
- Luo, M.; Chen, L.; Wang, S.; Yan, W.; Wang, H.; Chen, D. Pockmark activity inferred from pore water geochemistry in shallow sediments of the pockmark field in southwestern Xisha Uplift, northwestern South China Sea. Mar. Pet. Geol. 2013, 48, 247–259. [Google Scholar] [CrossRef]
- Luo, M.; Chen, L.; Tong, H.; Yan, W.; Chen, D. Gas hydrate occurrence inferred from dissolved Cl− concentrations and δ18O values of pore water and dissolved sulfate in the shallow sediments of the pockmark field in southwestern Xisha Uplift, northern South China Sea. Energies 2014, 7, 3886–3899. [Google Scholar] [CrossRef]
- Wan, S.; Li, A.; Clift, P.; Jiang, H. Development of the East Asian summer monsoon: Evidence from the sediment record in the South China Sea since 8.5 Ma. Palaeogeogr. Palaeoclimatol. Palaeoecol. 2006, 241, 139–159. [Google Scholar] [CrossRef]
- Heiri, O.; Lotter, A.F.; Lemcke, G. Loss on ignition as a method for estimating organic and carbonate content in sediments: Reproducibility and comparability of results. J. Paleolimnol. 2001, 25, 101–110. [Google Scholar] [CrossRef]
- Taylor, S.R.; McLennan, S.M. The Continental Crust: Its Composition and Evolution; Blackwell, Malden, Mass: Oxford, UK, 1985. [Google Scholar]
- McLennan, S.M. Relationships between the trace element composition of sedimentary rocks and upper continental crust. Geochem. Geophys. Geosyst 2001, 2. [Google Scholar] [CrossRef]
- Nesbitt, H.W.; Young, G.M. Early Proterozoic climates and plate motions inferred from major element chemistry of lutites. Nature 1982, 299, 715–717. [Google Scholar] [CrossRef]
- Garzanti, E.; Resentini, A. Provenance control on chemical indices of weathering (Taiwan river sands). Sediment. Geol. 2016, 336, 81–95. [Google Scholar] [CrossRef]
- Huang, W. Sediment Distributional Patterns and Evolution in the South China Sea Since the Oligocene. Ph.D. Thesis, Tongji University, Shanghai, China, 2004; 113p. (In Chinese with English Abstract). [Google Scholar]
- Huang, W.; Wang, P. Sediment mass and distribution in the South China Sea since the Oligocene. Sci. China D 2006, 49, 1147–1155. [Google Scholar] [CrossRef]
- Liu, J.; Xiang, R.; Chen, Z.; Chen, M.H.; Yan, W.; Zhang, L.; Chen, H. Sources, transport and deposition of surface sediments from the South China Sea. Deep Sea Res. 2013, 71, 92–102. [Google Scholar] [CrossRef]
- Petschick, R.; Kuhn, G.; Gingele, F. Clay mineral distribution in surface sediments of the South Atlantic: Sources, transport, and relation to oceano- graphy. Mar. Geol. 1996, 130, 203–229. [Google Scholar] [CrossRef]
- Pettke, T.; Halliday, A.N.; Hall, C.M.; Rea, D.K. Dust production and deposition in Asia and the north Pacific Ocean over the past 12 Myr. Earth Planet. Sci. Lett. 2000, 178, 397–413. [Google Scholar] [CrossRef]
- Liu, J.; Milliman, J.; Gao, S.; Cheng, P. Holocene development of the Yellow River’s subaqueous delta, North Yellow Sea. Mar. Geol. 2004, 209, 45–67. [Google Scholar] [CrossRef]
- Liu, Z.; Zhao, Y.; Colin, C.; Siringan, F.; Wu, Q. Chemical weathering in Luzon, Philippines from clay mineralogy and major-element geochemistry of river sediments. Appl. Geochem. 2009, 24, 2195–2205. [Google Scholar] [CrossRef]
- Chen, C. Tracing tropical and intermediate waters from the South China Sea to the Okinawa Trough and beyond. J. Geophys. Res. 2005, 110, C05012. [Google Scholar] [CrossRef]
- Thiry, M. Palaeoclimatic interpretation of clay minerals in marine deposits: An outlook from the continental origin. Earth Sci. Rev. 2000, 49, 201–221. [Google Scholar] [CrossRef]
- Liu, Z.; Colin, C.; Trentesaux, A.; Siani, G.; Frank, N.; Blamart, D.; Farid, S. Late Quaternary climatic control on erosion and weathering in the eastern Tibetan Plateau and the Mekong Basin. Quat. Res. 2005, 63, 316–328. [Google Scholar] [CrossRef]
- Chen, P. Minerals in bottom sediments of the South China Sea. Geol. Soc. Am. Bull. 1978, 89, 211–222. [Google Scholar] [CrossRef]
- Wang, H.; Liu, Z.; Sathiamurthy, E.; Colin, C.; Li, J.; Zhao, Y. Chemical weathering in Malay Peninsula and North Borneo: Clay mineralogy and element geo-chemistry of river surface sediments. Sci. Ser. 2011, D54, 272–282. [Google Scholar] [CrossRef]
- Liu, J.; Xiang, R.; Chen, M.; Chen, Z.; Yan, W.; Liu, F. Influence of the Kuroshio current intrusion on depositional environment in the northern South China Sea: Evidence from surface sediment records. Mar. Geol. 2012, 285, 59–68. [Google Scholar] [CrossRef]
- Selvaraj, K.; Chen, C.-T.A. Moderate chemical weathering of subtropical Taiwan: Constraints from solid-phase geochemistry of sediments and sedimentary rocks. J. Geol. 2006, 114, 101–116. [Google Scholar] [CrossRef]
- Chamley, H. Clay Sedimentology; Springer: Berlin/Heidelberg, Germany; New York, NY, USA, 1989; 623p. [Google Scholar]
- Scarciglia, F.; Le Pera, E.; Critelli, S. The interplay of geomorphic processes and soil development in un upland environment, Calabria, South Italy. Geomorphology 2005, 64, 1–23. [Google Scholar]
- Fagel, N. Chapter four clay minerals, deep circulation and climate. In Developments in Marine Geology; Claude, H.M., De Anne, V., Eds.; Elsevier: Amsterdam, The Netherlands, 2007; pp. 139–184. [Google Scholar]
- Liu, Z.; Colin, C.; Huang, W.; Le, K.; Tong, S.; Chen, Z.; Trentesaux, A. Climatic and tectonic controls on weathering in South China and the Indochina Peninsula: Clay mineralogical and geochemical investigations from the Pearl, Red, and Mekong drainage basins. Geochem. Geophys. Geosyst. 2007, 8, Q05005. [Google Scholar] [CrossRef]
- Garzanti, E.; Padoan, M.; Setti, M.; López-Galindo, A.; Villa, I.M. Provenance versus weathering control on the composition of tropical river mud (Southern Africa). Chem. Geol. 2014, 366, 61–74. [Google Scholar] [CrossRef]
- Bluth, G.J.S.; Kump, L.R. Lithologic and climatic controls of river chemistry. Geochim. Cosmochim. Acta 1994, 58, 2341–2359. [Google Scholar] [CrossRef]
- Dessert, C.; Dupré, B.; Francois, L.M.; Schott, J.; Gaillardet, J.; Chakrapani, G.J.; Bajpai, S. Erosion of Deccan Traps determined by river geochemistry: Impact on the global climate and the 87Sr/86Sr ratio of seawater. Earth Planet. Sci. Lett. 2001, 188, 459–474. [Google Scholar] [CrossRef]
- Singh, M.; Sharma, M.; Tobschall, H.L. Weathering of the Ganga alluvial plain, northern India: Implications from fluvial geochemistry of the Gomati River. Appl. Geochem. 2005, 20, 1–21. [Google Scholar] [CrossRef]
- Hu, D.; Böning, P.; Köhler, C.M.; Hillier, S.; Pressling, N.; Wan, S.; Brumsack, H.J.; Clift, P.D. Deep sea records of the continental weathering and erosion response to East Asian monsoon intensification since 14 ka in the South China Sea. Chem. Geol. 2012, 326–327, 1–18. [Google Scholar] [CrossRef]
- Steinke, S.; Hanebuth, T.J.; Vogt, C.; Stattegger, K. Sea level induced variations in clay mineral composition in the southwestern South China Sea over the past 17,000 yr. Mar. Geol. 2008, 250, 199–210. [Google Scholar] [CrossRef]
- Wan, S.; Li, A.; Clift, P.D.; Wu, S.; Xu, K.; Li, T. Increased contribution of terrigenous supply from Taiwan to the northern South China Sea since 3 Ma. Mar. Geol. 2010, 278, 115–121. [Google Scholar] [CrossRef]
- Wan, S.; Li, A.; Xu, K.; Yin, X. Characteristics of clay minerals in the Northern South China Sea and its implications for evolution of East Asian Monsoon since Miocene. J. China Univ. Geosci. 2008, 19, 23–37. [Google Scholar]
- Wan, S.; Tian, J.; Steinke, S.; Li, A.; Li, T. Evolution and variability of the East Asian summer monsoon during the Pliocene: Evidence from clay mineral records of the South China Sea. Palaeogeogr. Palaeoclimatol. Palaeoecol. 2010, 293, 237–247. [Google Scholar] [CrossRef]
- Li, C.; Shi, X.; Kao, S.; Chen, M.; Liu, Y.; Fang, X.; Lü, H.; Zou, J.; Liu, S.; Qiao, S. Clay mineral composition and their sources for the fluvial sediments of Taiwanese rivers. Chin. Sci. Bull. 2012, 57, 673–681. [Google Scholar] [CrossRef]






| Samples | Water Depth | Quartz | K-Feldspar | Plagioclase | Calcite | Dolomite | Siderite | Pyrite | Amphiboles |
| s10 | 854 | 17.2 | 0.7 | 5 | 24.1 | 4 | 4.8 | 1.1 | 0.2 |
| s11 | 806 | 18.4 | 2.4 | 5.1 | 23.2 | 2.6 | 1.3 | 0.5 | |
| s15 | 918 | 15.9 | 0.5 | 4 | 22.4 | 7.3 | 6.1 | ||
| s18 | 999 | 16 | 0.5 | 4.6 | 21.3 | 7.4 | 5.8 | 1 | 0.3 |
| s13 | 864 | 16.9 | 0.3 | 4.4 | 23.4 | 7.2 | 5.7 | ||
| s9 | 811 | 17.5 | 0.6 | 5.2 | 23.6 | 4 | 1.3 | 0.8 | 0.3 |
| s19 | 1099 | 16.2 | 0.6 | 4.4 | 20.2 | 5.6 | 5.5 | 0.8 | 0.2 |
| s20 | 1307 | 18 | 0.8 | 5 | 20.2 | 4.3 | 1.5 | 1.5 | |
| Samples | Water Depth | Gypsum | Anhydrite | Pyroxene | Clay minerals | Smectite | Illite | Kaolinite | Chlorite |
| s10 | 854 | 2.6 | 3.8 | 36.5 | 33 | 36 | 12 | 19 | |
| s11 | 806 | 0.2 | 2 | 3.5 | 40.8 | 32 | 37 | 13 | 18 |
| s15 | 918 | 3.6 | 3.9 | 36.3 | 24 | 41 | 13 | 22 | |
| s18 | 999 | 2.6 | 3.3 | 37.2 | 23 | 40 | 16 | 21 | |
| s13 | 864 | 0.1 | 3.3 | 3.9 | 34.8 | 38 | 34 | 11 | 17 |
| s9 | 811 | 0.1 | 2.7 | 4 | 39.9 | 42 | 37 | 9 | 12 |
| s19 | 1099 | 2.9 | 3.9 | 39.7 | 44 | 29 | 11 | 16 | |
| s20 | 1307 | 2.2 | 3.6 | 42.9 | 41 | 28 | 15 | 16 |
| TFe2O3 | K2O | MgO | MnO | Na2O | P2O5 | SiO2 | TiO2 | Al2O3 | CaO | LOI | CIA | |
|---|---|---|---|---|---|---|---|---|---|---|---|---|
| s9 | 4.24 | 2.08 | 1.95 | 0.35 | 2.27 | 0.13 | 37.29 | 0.52 | 11.49 | 18.08 | 21.25 | 54 |
| s10 | 4.06 | 1.97 | 1.90 | 0.12 | 2.47 | 0.12 | 35.02 | 0.48 | 10.65 | 20.26 | 22.97 | 51 |
| s11 | 2.91 | 1.33 | 1.37 | 0.22 | 1.83 | 0.09 | 23.51 | 0.32 | 7.24 | 31.61 | 29.94 | 49 |
| s13 | 4.15 | 2.02 | 1.96 | 0.09 | 2.53 | 0.12 | 36.71 | 0.51 | 10.81 | 18.91 | 22.51 | 51 |
| s15 | 4.41 | 2.14 | 2.09 | 0.17 | 2.86 | 0.13 | 39.16 | 0.55 | 11.58 | 16.48 | 20.71 | 50 |
| s18 | 3.49 | 1.75 | 1.73 | 0.29 | 2.52 | 0.11 | 29.85 | 0.41 | 9.41 | 24.45 | 26.37 | 48 |
| s19 | 4.33 | 2.17 | 1.97 | 1.04 | 1.95 | 0.13 | 37.96 | 0.52 | 11.81 | 16.78 | 20.71 | 57 |
| s20 | 4.86 | 2.46 | 2.29 | 0.96 | 2.97 | 0.13 | 44.34 | 0.62 | 13.32 | 10.91 | 17.41 | 52 |
Publisher’s Note: MDPI stays neutral with regard to jurisdictional claims in published maps and institutional affiliations. |
© 2020 by the authors. Licensee MDPI, Basel, Switzerland. This article is an open access article distributed under the terms and conditions of the Creative Commons Attribution (CC BY) license (http://creativecommons.org/licenses/by/4.0/).
Share and Cite
Zhang, M.; Lu, H.; Chen, Q.; Bandara, G.; Zhang, H.; Luo, C.; Wu, N. Clay Mineralogy and Geochemistry of the Pockmarked Surface Sediments from the Southwestern Xisha Uplift, South China Sea: Implications for Weathering and Provenance. Geosciences 2021, 11, 8. https://doi.org/10.3390/geosciences11010008
Zhang M, Lu H, Chen Q, Bandara G, Zhang H, Luo C, Wu N. Clay Mineralogy and Geochemistry of the Pockmarked Surface Sediments from the Southwestern Xisha Uplift, South China Sea: Implications for Weathering and Provenance. Geosciences. 2021; 11(1):8. https://doi.org/10.3390/geosciences11010008
Chicago/Turabian StyleZhang, Mei, Hongfeng Lu, Qing Chen, Gayan Bandara, Hui Zhang, Chuanxiu Luo, and Nengyou Wu. 2021. "Clay Mineralogy and Geochemistry of the Pockmarked Surface Sediments from the Southwestern Xisha Uplift, South China Sea: Implications for Weathering and Provenance" Geosciences 11, no. 1: 8. https://doi.org/10.3390/geosciences11010008
APA StyleZhang, M., Lu, H., Chen, Q., Bandara, G., Zhang, H., Luo, C., & Wu, N. (2021). Clay Mineralogy and Geochemistry of the Pockmarked Surface Sediments from the Southwestern Xisha Uplift, South China Sea: Implications for Weathering and Provenance. Geosciences, 11(1), 8. https://doi.org/10.3390/geosciences11010008

