Abstract
The paper presents results of observations of a light structure damaged by irregular vertical and horizontal deformations on Neogene expansive clays, typical for area in Central Poland. The sensitivity to environmental changes of humidity in such subsoils can activate volume changes, which causes the destruction of many objects susceptible to deformation. Detailed geotechnical investigations, including seasonal fluctuations of natural moisture content, were carried out for over a year, describing the dynamism of conditions of clays in the foundation zone. Parallel geodetic measurements of vertical and horizontal displacements were carried out, using classical precision leveling and the coordinate method of the Leica TDRA 6000 laser station. The network of measurement points has been specially designed and implemented to follow the spatial displacements of the structure. The network points were placed at the bottom of pillars and on the flooring of the structure located in the upper part. In the paper, the results of the vertical and horizontal periodical measurement of displacements of an investigated construction over the year were discussed to identify the main factors influencing the mechanism of damage of the observed structure.
1. Introduction
Geodetic monitoring of displacements of damaged buildings is often the most effective method of investigating the causes of their cracks and failures [1,2,3]. This approach can give satisfactory results also in the case of damage having a geotechnical background. One of the most problematic subsoils causing numerous cases is expansive clay soil [4,5,6].
Expansive soils experience significant volume change associated with changes in water content. These volume changes can either be in the form of swell or in the form of shrinkage. The mechanism of expansivity is strongly related to the mineralogical composition. The content of layered aluminosilicates from the montmorillonite group is pivotal. The swelling pressures and the swell ratio are considered to be the primary parameters defining the swelling in clays when subjected to moisture changes [7,8].
The moisture fluctuations in these reactive subsoils can induce significant ground movements and, in consequence, construction displacements due to the reduction of evaporation under buildings, seasonal and long-term effects of tree roots as well as infrastructure, especially heat pipes, and leaks from the water supply [9,10]. These movements usually include subsidence as a result of clay shrinkage and, alternately, heave through of its swelling upon the water content changing. Such displacements in the temperate climate zone are often periodic and depend on the influence of weather factors on clay and they are often intensified by the influence of vegetation [11,12]. Geodetic monitoring of building objects shows that fluctuations in the range of a few millimeters are typical, and their size mostly depends on the rigidity and weight of the structure [13]. Such movements, mainly occurring repeatedly, can in particular damage the influenced construction.
The article presents the method of monitoring an example structure, located on expansive soil in Bydgoszcz (Poland) and considerations of the causes of its damage. Results of the geotechnical investigation over a year, especially seasonal fluctuations of natural moisture content, were analyzed to detect if the volume changes of expansive subsoil are the main factors influencing the displacements of the observed structure. For this purpose, we also consider in detail the vertical and horizontal periodical displacements of an investigated construction. The comprehensive analysis allows us to verify whether the most probable cause that appears at first sight, i.e., the volume changes of the expansive clay, is the actual reason for structural damage.
2. Investigated Object and Methods
The analyzed object is an overhead passage (Figure 1). It is a relatively light structure with a low rigidity of construction due to its slenderness. The overhead part is a reinforced concrete frame structure filled with hollow brick, supported on 12 pillars with lengths from 1.0 and 3.6 at the edge to 4.7 m in the middle part. The foundation footings, one for every two neighboring pillars, are located from 1.7 m b.g.l. (below ground level) to a maximum of 4.0 m b.g.l.
Figure 1.
A view of the investigated object.
Since the completion of the construction process in 2000–2001, and despite ongoing repairs, increasing damage has occurred (Figure 2a,b). The reasons were seen in geotechnical conditions, mainly in the soil sensitive to changes in the natural water content. In particular, several dozen year-old poplars growing under the passage were able to dry the ground. The entire row of these trees was removed a few years after the construction had been completed. A detailed description of the object and the history of its failure can be found in reference [14].
Figure 2.
Typical damage: (a) internal cracks on the contact between frame concrete construction and filling walls (b) cracks in the corner of the window (c) cracks in dilatation zone.
After general repairs in 2016, internal cracks developed, indicating further movements to the structure. In this case, the damage was less significant, and it appeared mainly in the dilatation zone, where the passage is connected to the main building (Figure 2c).
Systematic monitoring of the investigated object was initiated in July 2017 and continued over the year. Geodetic monitoring included both vertical displacements of supports as well as the vertical and horizontal displacements of the flooring of the overhead part of the passage. The terms of geodetic measurement and the thermal conditions of the object’s external environment are presented in Table 1. The arrangement of the measurement network is shown in Figure 3.
Table 1.
Terms of geodetic measurements.
Figure 3.
The network of control points.
As part of geotechnical monitoring, the properties of expansive soils were investigated and analyzed. Samples of the clayey soil were periodically taken from two test boreholes in the foundation zone in terms of close to geodetic measurements, presented in Table 1. Natural water content in the soil was determined by the oven drying method in accordance with EN ISO 17892-1: 2015 [15]. The plastic limit was tested in November 2017 in accordance with EN ISO 17892-12: 2004 [16]. The localization of testing boreholes is shown in Figure 3.
The vertical displacements of the control points located at the base of the pillars were made by using classical precision leveling. A view of the marks is shown in Figure 4a.
Figure 4.
Measurement marks: (a) stabilization of outdoor marks at the base of the pillar; (b) stabilization of indoor marks on the floor of overhead passage; (c) view 1.5" RRR prism on the floor mar3. Results.
However, for the pillar vertices, which were defined as the pillar axis projections on the overhead passage floor, both vertical and horizontal displacements were examined. These points were marked permanently on the passage floor in the form of special sockets, adapted for mounting the measuring instrument, a precise measuring reflector. For measuring the displacement of the points network we used the Leica TDRA6000 coordinate laser station. A view of the marks is shown in Figure 4b. The use of precise measurement in the 1.5" RRR (Red-Ring Reflector) prism mode (Figure 4c) enabled the displacement determination of control points with the required accuracy. Previous studies have shown that this method is an excellent tool for monitoring engineering structures [17,18].
2.1. Results of Geotechnical Monitoring
In the foundation level of the investigated object, expansive clays were found (Figure 5). These clays represent the Neogene clays, which occur in a large area of Poland, and are also typical for Bydgoszcz subsoil. These are calcium sodium montmorillonite clays, characterized by high and very high expansivity [13,19,20]. Swelling parameters in a natural state (liquidity index IL = 0.01) for standard clayey samples from Bydgoszcz are presented in Table 2.
Figure 5.
Geotechnical cross-section under the investigated overhead passage.
Table 2.
Swelling pressure value (pc) and swelling ratio (εp) for clays in a natural state from Bydgoszcz (after [20]).
Results of the field and laboratory tests for clays are presented in Figure 6. In November 2017, the plastic limit was marked (Figure 6a). Natural water content seasonal fluctuations of the clayey soil in the foundation zone were investigated in the A-borehole in June and November 2017 and in March and September 2018 (Figure 6b,c). Tests were performed in accordance with [15,16].
Figure 6.
The monitored boreholes: (a) plastic limit in monitored boreholes (A, C), (b) fluctuations of the natural water content in the monitored period in borehole A, (c) wn-wp index in monitored boreholes.
The values of plasticity limits (wp) depending on the depth varied in the range of 17%–42%. This variability is reflected in the natural water content (wn) graphs, so the wn-wp value (the difference between natural water content and plastic limit) was almost unchanged for the most of the studied profiles. During the monitoring period, noticeable fluctuations of natural water content (up to 10%) we noted at a depth of about 1.0 m b.g.l., near the clay surface. Below this level, the moisture of the subsoil did not show noticeable changes.
2.2. Results of Geodetic Measurements
The applied geodetic method allowed us to measure the values of the vertical (Figure 7) and horizontal displacements (Figure 8) of the network of control points on the supports (columns) and of top control points on the flooring of the overhead part of the passage. The measurement taken at 21.07.2017 (measurement No. 0) was establish as a reference state. In Figure 7 and Figure 8, all displacements were presented with reference to measurement No. 0.
Figure 7.
Vertical displacements of the control points.
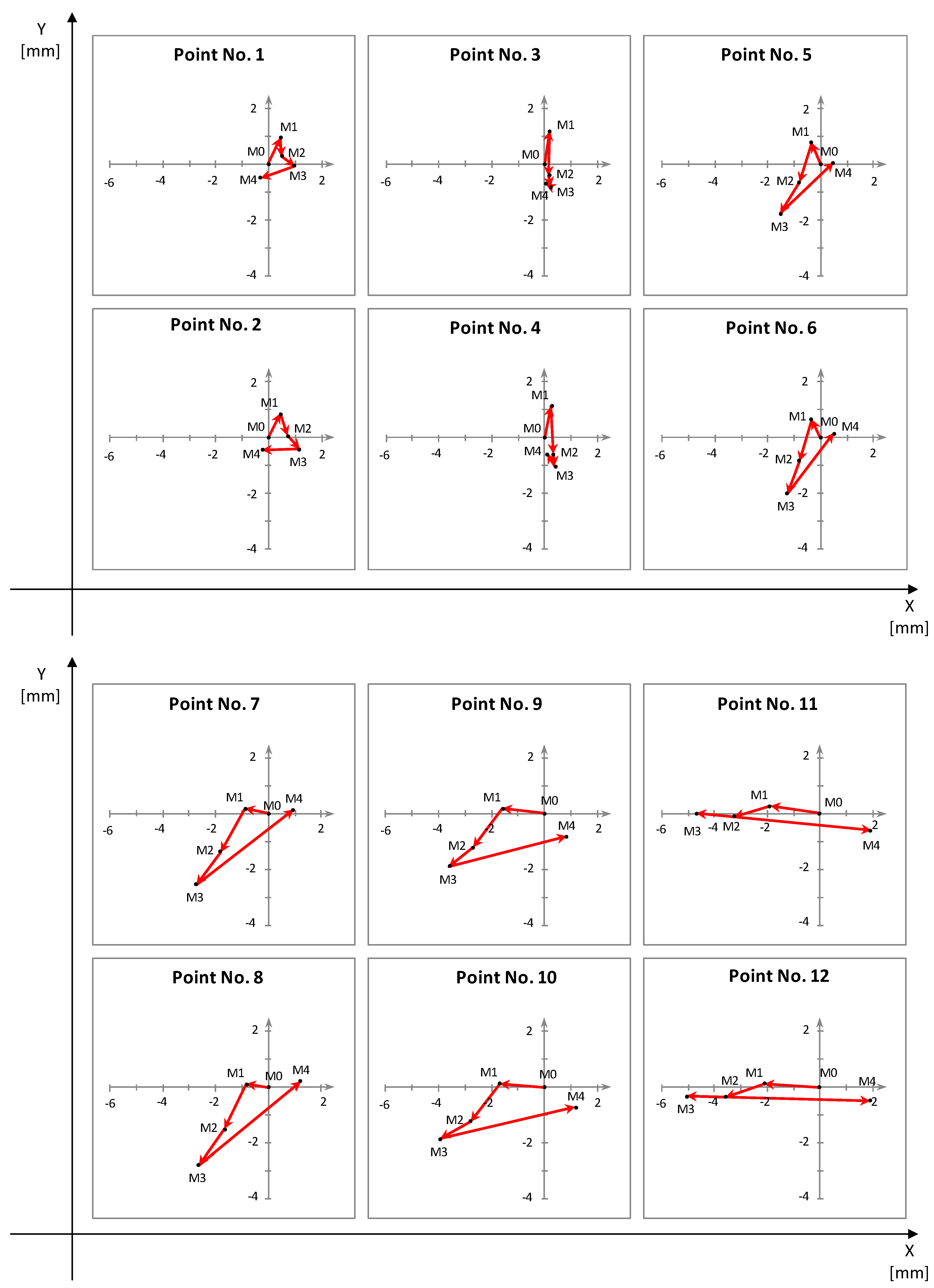
Figure 8.
Horizontal displacements of top control points in the flooring of overhead part of passage.
The vertical displacements shown in Figure 7 amounted to a maximum of just over 1 mm for bottom control points on pillars and over 2 mm for the overhead part of the structure whereas relative displacements (the difference between the support and the top control points) were up to 1.8 mm (at control point No. 9).
During all-year tests, the maximum temperature difference occurred between measurements No. 3 and 4. It was 24 degrees Celsius. Maximum vertical displacements were also recorded between these observations. The results of the calculations for these displacements are presented in Table 3.
Table 3.
Vertical displacements and changing length of the pillars between measurements 3 and 4.
According to Table 3, the displacements of the bottom of pillars also do not exceed 1 mm (max. 0.79 mm for pole No. 8) whereas the vertical displacements of points located in the flooring of the overhead structure take the value max. 2.46 for pole No. 5. The most significant changes in length were observed for the longest pillars (with numbers from 3 to 10), and the maximum value occurs for pole No. 7 and was 2.66 mm.
There were also significant horizontal displacements of the flooring of the structure in the direction of the main axis, reaching up to 5.0 mm (Figure 8). Due to the characteristic shape of the structure (geometry breakdown at points 7, 8, 9, and 10), there were also displacements in the transverse direction, up to 2.8 mm at point 8. The maximum extension towards the X-axis was observed for the maximum temperature difference (between measurements 3 and 4) and was 8.2 mm.
3. Discussion
Based on the results obtained, we stated that over the year the water content observation in the monitored profile, below the level of the pillars’ foundations (46.30 m a.s.l.), did not show any changes that can activate intensive expansive processes. Generally, the distribution of water content corresponds to the depth and values of the plastic limit in the tested profile. During the analyzed period, significant water content occurred only in the thin zone at the clay surface about 1.0 m b.g.l., where the changes in natural water content reach even 10% but without any regular and seasonal fluctuations (Figure 6). Although slightly more significant changes were observed at a depth of about 1.6–2.0 m b.g.l., there is a silt interbedding of lower plasticity and lower expansiveness. At a depth of approximately 2.0 m b.g.l. (46.74 m a.s.l.) the moisture content of the clay in the borehole stabilizes. Below the foundation level, water content fluctuations are sporadic and do not show clear tendencies.
This is similar to previous studies in other cases [13] which have shown that moisture changes in the clay subsoil due to weather effects are usually more significant in similar soil and climatic conditions. Natural water content fluctuations occur up to 2–2.5 m b.g.l. and reach 6–10%, often showing a strong tendency to periodicity—a decrease after the dry summer season and an increase after the spring thaws. These changes clearly cause the displacements of buildings founded on such reactive soils, depending on the weight and stiffness of the objects. For single-story buildings with low stiffness (comparable to the analyzed object), 4–7 mm cyclic seasonal displacements were observed.
In the analyzed case, any significant vertical displacements of the control points located on the supports are not observed (Figure 7). The vertical displacements of control points on the pillars do not show outstanding values. Higher dynamics of position changes were observed for benchmarks placed in the flooring of the overhead part of the object. This is shown for the points 5 and 7 in the near distance from the monitored geotechnical profile (Figure 9). This clearly indicates other than geotechnical reasons for the displacements and damage of the tested object.
Figure 9.
Vertical relative displacements’ dependence on the ambient temperature.
The analyses of the control points observations show the significant differences between relative displacements of top control points to bottom ones. Furthermore, both the vertical and horizontal displacements of top control points show a strong dependence on the ambient temperature. This may indicate the thermal expansion of the supporting pillars and also the overhead part of the passage. Thermal expansion can be the cause of significant horizontal displacement of the overhead construction in the direction of the main axis, and in the transverse direction. The dimensions change of the structure, following the temperature influence, is evidenced by the controlled points’ displacements along the X-axis (points No. 11. and No. 12). It is also visible almost the return of control points to the original position in the annual cycle in the horizontal plane (Figure 10).
Figure 10.
Horizontal displacements of top control points at different temperatures (measure terms), shown in Table 1.
The significant effect of temperature on the displacements and, consequently, damage to the examined object may be the result of its specific construction. The analyzed construction is relatively light and slender.
4. Conclusions
Due to the frequent occurrence of various types of structural damage, the displacements caused by swelling or shrinkage of the building object founded on expansive soils, are usually the first cause of failure. In particular, this applies to light objects that exert only a low pressure on the subsoil. As shown for the presented object, causes that are not always apparent are responsible for the damage to the structure. The leading cause of observed damage, like cracks in the corners of the windows, cracks in the dilatation zones, is the thermal expansion of construction. In this case, displacements of the clayey subsoil do not occur and, consequently, cannot affect the structure. The presented case shows how important are the comprehensive monitoring of the damaged building and individual approach to each case.
In the future, the displacement results obtained should be confronted with theoretical values determined by finite element method (FEM) numerical modeling. It would be beneficial to take into account the expansive parameters of the subsoil, depending on its humidity, in such considerations. For this purpose, an unsaturated soil model with appropriate suction parameters and characteristics could be applied.
Author Contributions
Conceptualization, A.G. and J.S.; methodology, A.G., S.T. and J.S.; software, A.B.; validation, A.G., and S.T.; formal analysis, J.S.; investigation, A.G., J.S., A.B. and S.T.; resources, A.G. and A.B.; data curation, J.S.; writing—original draft preparation, A.G.; writing—review and editing, A.G. and S.T.; visualization, S.T. and A.B.; supervision, A.G., J.S., A.B. and S.T.; project administration, A.G.; All authors have read and agreed to the published version of the manuscript.
Funding
This research received no external funding.
Acknowledgments
The study was supported by RCI Laboratories of the UTP University of Science and Technology in Bydgoszcz.
Conflicts of Interest
The authors declare no conflict of interest.
References
- Mrówczyńska, M.; Gibowski, S. Indicating vertical deviation of historical buildings using geodetic methods-case study of brick and wood tower in Nowe Miasteczko. Civ. Environ. Eng. Rep. 2016, 22, 127–136. [Google Scholar] [CrossRef][Green Version]
- Li, H.; Dong, S.; El-Tawil, S.; Kamat, V.R. Relative displacement sensing techniques for postevent structural damage assessment. J. Struct. Eng. 2012, 139, 1421–1434. [Google Scholar] [CrossRef]
- Abbas, S.; Pawłowski, W. Cyclic observations of geometric structure of a building construction in hazardous conditions and construction works carried out in its immediate vicinity. Rep. Geod. 2011, 1/90, 9–16. [Google Scholar]
- Al-Rawas, A.A.; Qamaruddin, M. Construction problems of engineering structures founded on expansive soils and rocks in northern Oman. Build. Environ. 1998, 33, 159–171. [Google Scholar] [CrossRef]
- Bell, F.G.; Maud, R.R. Expansive clays and construction, especially of low-rise structures: A viewpoint from Natal, South Africa. Environ. Eng. Geosci. 1995, 1, 41–59. [Google Scholar] [CrossRef]
- Dafalla, M.; Al-Shamrani, M.; Al-Mahbashi, A. Expansive Soil Foundation Practice in a Semiarid Region. J. Perform. Constr. Facil. 2017, 31, 04017084. [Google Scholar] [CrossRef]
- Seed, H.B.; Lundgren, R. Prediction of swelling potential for compacted clays. J. Soil Mech. Found. Div. 1962, 88, 53–87. [Google Scholar]
- Chen, F.H. Foundations on Expansive Soils; Elsevier: Amsterdam, The Netherlands, 1988. [Google Scholar]
- Przystański, J. (Ed.) Foundations of Buildings on Expansive Soils; Rozprawy nr 244, WPP: Poznań, Poland, 1991; p. 87. (In Polish)
- Nelson, J.; Miller, D.J. Expansive Soils: Problems and Practice in Foundation and Pavement Engineering; John Wiley & Sons: Hoboken, NJ, USA, 1997. [Google Scholar]
- Biddle, P.G. Tree root damage to buildings. Expansive clay soils and vegetative influence on shallow foundations. ASCE Geotech. Spec. Publ. 2001, 116, 1–23. [Google Scholar]
- Driscoll, R. The influence of vegetation on the swelling and shrinking of clay soils in Britain. Geotechnique 1983, 33, 93–105. [Google Scholar] [CrossRef]
- Gorączko, A. An Investigation of Vertical Movements of Expansive Soil in Bydgoszcz for Selected Objects. Ph.D. Thesis, UTP University of Science and Technology, Bydgoszcz, Poland, 2007; p. 123. (In Polish). [Google Scholar]
- Topoliński, S.; Gorączko, A.; Sztubecki, J.; Bujarkiewicz, A. The Displacement of Structures Founded on Expansive Soils–Unapparent Causes. Available online: https://www.researchgate.net/publication/326688364_The_displacement_of_structures_founded_on_expansive_soils_-_unapparent_causes (accessed on 23 April 2020).
- EN ISO 17892-1: 2015 Geotechnical Investigation and Testing—Laboratory Testing of Soil—Part 1: Determination of Water Content; Polish Committee for Standardization: Warszawa, Poland, 2014.
- EN -ISO 17892-12:2004 Geotechnical Investigation and Testing—Laboratory Testing of Soil—Part 12: Determination of Liquid and Plastic Limits; Polish Committee for Standardization: Warszawa, Poland, 2004.
- Sztubecki, J.; Bujarkiewicz, A.; Sztubecka, M. Measuring displacements in engineering structures by means of a coordinate laser station. Civ. Environ. Eng. Rep. 2016, 23, 145–160. [Google Scholar] [CrossRef][Green Version]
- Sztubecki, J.; Bujarkiewicz, A.; Derejczyk, K.; Przytuła, M.A. Hybrid method of determining deformations of engineering structures with a laser station and a 3d scanner. Civ. Environ. Eng. Rep. 2018, 28. [Google Scholar] [CrossRef]
- Kaczyński, R.; Grabowska-Olszewska, B. Soil mechanics of the potentially expansive clays in Poland. Appl. Sci. 1997, 11, 337–355. [Google Scholar] [CrossRef]
- Gorączko, A.; Kumor, M.K. Swelling of mio-pliocene clays from the region of Bydgoszcz in comparison to their lithology. Biuletyn Państwowego Instytutu Geologicznego 2011, 446, 305–314. (In Polish) [Google Scholar]
- ASTM D 4546: 2014-04, Test Methods for One-dimensional Swell or Collapse of Soils. American Society for Testing and Materials; American Society for Testing and Materials: West Conshohocken, PA, USA, 2014.
© 2020 by the authors. Licensee MDPI, Basel, Switzerland. This article is an open access article distributed under the terms and conditions of the Creative Commons Attribution (CC BY) license (http://creativecommons.org/licenses/by/4.0/).









