Antibiotic and Heavy Metal Resistance in Marine Bacteria from Terra Nova Bay (Ross Sea): Insights from Wild Fish and Environmental Samples
Simple Summary
Abstract
1. Introduction
2. Materials and Methods
2.1. Study Area
2.2. Samplings
2.3. Heterotrophic Bacterial Isolation
2.4. Antibiotic Susceptibility Tests
2.5. Multiple Antibiotic Resistance (MAR) Index
2.6. Heavy Metals Test in Antibiotic-Resistant Bacterial Strains
2.7. Multiple Heavy Metal Resistance (MHMR) Index
2.8. Screening of ARGs and Taxonomic Identification
3. Results
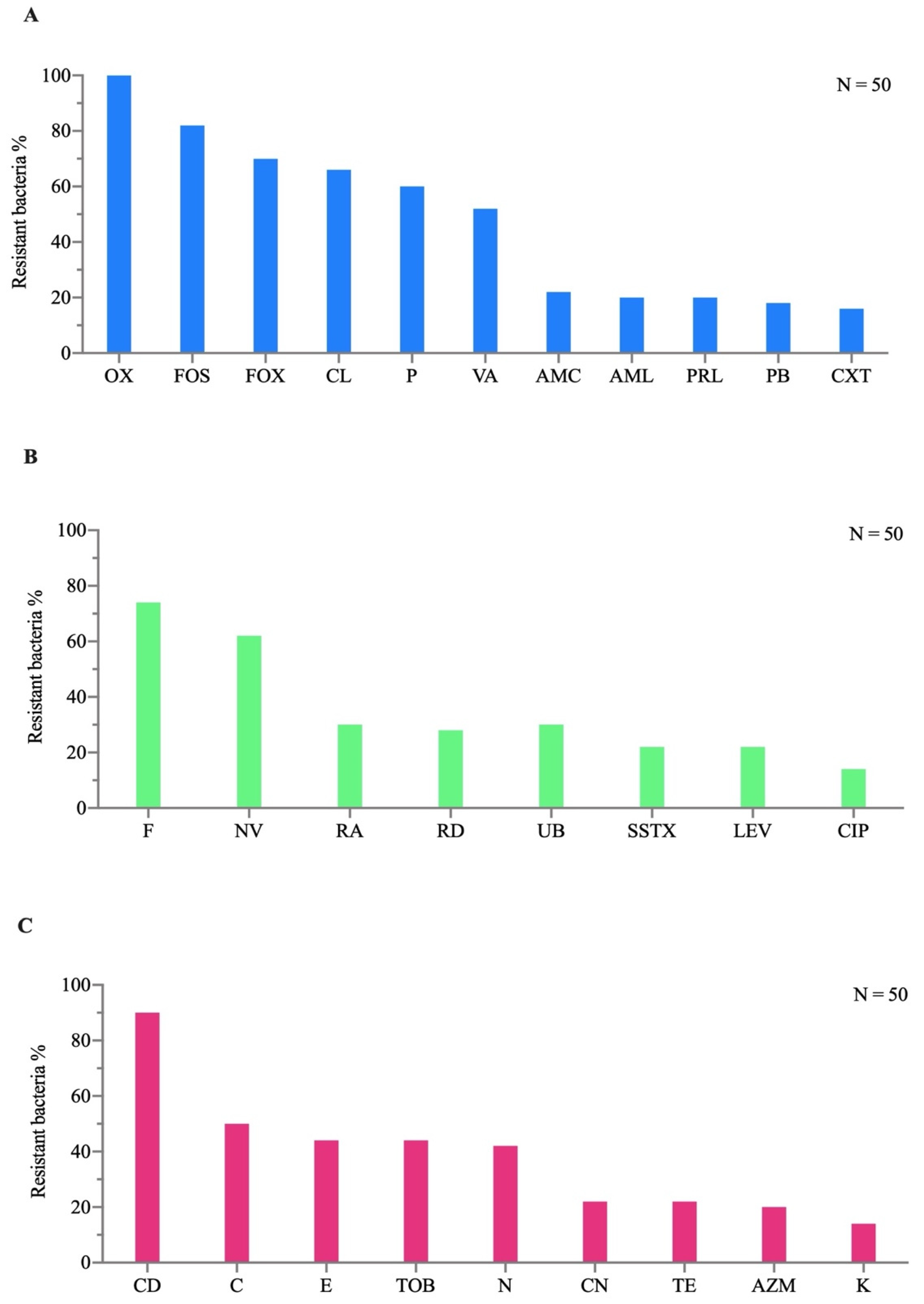
3.1. Antibiotic-Resistant Bacteria
3.2. Heavy Metals
3.3. Bacterial Taxonomy
3.4. Screening of AR Genes
3.5. Antibiotic and Heavy Metals Resistance Related to the Identified Bacterial Strains
4. Discussion
4.1. Antibiotic-Resistant Bacteria
4.2. Heavy Metal-Resistant Bacteria
4.3. Antibiotic Resistance Genes (ARGs)
5. Conclusions
Supplementary Materials
Author Contributions
Funding
Institutional Review Board Statement
Informed Consent Statement
Data Availability Statement
Acknowledgments
Conflicts of Interest
References
- Scott, L.C.; Lee, N.; Aw, T.J. Antibiotic resistance in minimally human-impacted environments. Int. J. Environ. Res. Public Health 2020, 17, 3939. [Google Scholar] [CrossRef]
- Szopinska, A.; Namiesnik, J.; Polkowska, Z. How important is research on pollution levels in Antarctica? Historical approach, difficulties and current trends. Environ. Contam. Toxicol. 2017, 239, 79–156. [Google Scholar] [CrossRef]
- Gutiérrez, J.; Gonzàles-Acuna, D.; Fuentes-Castillo, D.; Fierro, K.; Hernandez, C.; Zapata, L.; Verdugo, C. Antibiotic resistance in wildlife from Antarctic Peninsula. Sci. Total Environ. 2024, 916, 170340. [Google Scholar] [CrossRef]
- COMNAP (Council of Managers of National Antarctic Programs). Antarctic Station Catalogue; Council of Managers of National Antarctic Programs: Hobart, Australia, 2017. [Google Scholar]
- Tin, T.; Fleming, Z.L.; Hughes, K.A.; Ainley, D.G.; Convey, P.; Moreno, C.A.; Pfeiffer, S.; Scott, J.; Snape, I. Impacts of local human activities on the Antarctic environment. Antarct. Sci. 2009, 21, 3–33. [Google Scholar] [CrossRef]
- Aronson, R.B.; Thatje, S.; McClintock, J.B.; Hughes, K.A. Anthropogenic impacts on marine ecosystems in Antarctica. Ann. N. Y. Acad. Sci. 2011, 1223, 82–107. [Google Scholar] [CrossRef]
- Fryirs, K.A.; Hafsteinsdóttir, E.G.; Stark, S.C.; Gore, D.B. Metal and petroleum hydrocarbon contamination at Wilkes Station, East Antarctica. Antarct. Sci. 2015, 27, 118–133. [Google Scholar] [CrossRef]
- Cabrita, M.T.; Padeiro, A.; Amaro, E.; dos Santos, M.C.; Leppe, M.; Verkulich, S.; Hughes, K.A.; Peter, H.U.; Canário, J. Evaluating trace element bioavailability and potential transfer into marine food chains using immobilised diatom model species Phaeodactylum tricornutum on King George Island, Antarctica. Mar. Pollut. Bull. 2017, 121, 192–200. [Google Scholar] [CrossRef]
- Sfriso, A.A.; Tomio, Y.; Rosso, B.; Gambaro, A.; Barbante, C.; Corami, F.; Rastelli, E.; Corinaldesi, C.; Mistri, M.; Munari, C. Microplastic accumulation in benthic invertebrates in Terra Nova Bay (Ross Sea, Antarctica). Environ. Int. 2020, 137, 105587. [Google Scholar] [CrossRef]
- Webb, A.L.; Hughes, K.A.; Grand, M.M.; Lohan, M.C.; Peck, L.S. Sources of elevated heavy metal concentrations in sediments and benthic marine invertebrates of the western Antarctic Peninsula. Sci. Total Environ. 2020, 698, 134268. [Google Scholar] [CrossRef]
- Mancuso, M.; Conti-Nibali, V.; Porcino, N.; Branca, C.; Natale, S.; Smedile, F.; Azzaro, M.; D’Angelo, G.; Bottari, T. Monitoring of anthropogenic microplastic pollution in Antarctic fish (Emerald rockcod) from the Terranova Bay after a quarter of century. Sci. Total Environ. 2023, 904, 167244. [Google Scholar] [CrossRef]
- Stark, J.S.; Johnstone, G.J.; King, C.; Raymond, T.; Rutter, A.; Stark, S.C.; Townsend, A.T. Contamination of the marine environment by Antarctic research stations: Monitoring marine pollution at Casey station from 1997 to 2015. PLoS ONE 2023, 18, e0288485. [Google Scholar] [CrossRef]
- Bargagli, R. Environmental contamination in Antarctic ecosystems. Sci. Total Environ. 2008, 400, 212–226. [Google Scholar] [CrossRef]
- Tomova, I.; Stoilova-Disheva, M.; Lazarkevich, I.; Vasileva-Tonkova, E. Antimicrobial activity and resistance to heavy metals and antibiotics of heterotrophic bacteria isolated from sediment and soil samples collected from two Antarctic islands. Front. Life Sci. 2015, 8, 348–357. [Google Scholar] [CrossRef]
- Ahn, I.Y.; Kim, K.W.; Choi, H.J. A baseline study on metal concentrations in the Antarctic limpet Nacella concinna (Gastropoda: Patellidae) on King George Island: Variations with sex and body parts. Mar. Pollut. Bull. 2002, 44, 424–431. [Google Scholar] [CrossRef]
- Bargagli, R. Trace metals in Antarctica related to climate change and increasing human impact. Rev. Environ. Contam. Toxicol. 2000, 166, 125–169. [Google Scholar]
- Choi, H.J.; Ahn, I.Y.; Kim, K.W.; Lee, Y.S.; Lee, I.S. Subcellular accumulation of Cu in the Antarctic bivalve Laternula elliptica from a naturally Cu-elevated Bay of King George Island. Polar Biol. 2003, 26, 601–609. [Google Scholar] [CrossRef]
- Grotti, M.; Pizzini, S.; Abelmoschi, M.L.; Cozzi, G.; Piazza, R.; Soggia, F. Retrospective biomonitoring of chemical contamination in the marine coastal environment of Terra Nova Bay (Ross Sea, Antarctica) by environmental specimen banking. Chemosphere 2016, 165, 418–426. [Google Scholar] [CrossRef]
- Lohan, M.C.; Statham, P.J.; Peck, L. Trace metals in the Antarctic soft-shelled clam Laternula elliptica: Implications for metal pollution from Antarctic research stations. Polar Biol. 2001, 24, 808–817. [Google Scholar] [CrossRef]
- Sanchez-Hernandez, J.C. Trace elements contamination in Antarctic ecosystems. Rev. Environ. Contam. Toxicol. 2000, 166, 83–127. [Google Scholar]
- Trevizani, T.H.; Petti, M.A.V.; Portella Ribeiro, A.; Navajas Corbisier, T.; Lopes Figueira, R.C. Heavy metal concentrations in the benthic trophic web of Martel Inlet, Admiralty Bay (King George Island, Antarctica). Mar. Pollut. Bull. 2018, 130, 198–205. [Google Scholar] [CrossRef]
- Darham, S.; Zakaria, N.N.; Zulkharnain, A.; Sabri, S.; Khalil, K.A.; Merican, F.; Gomez-Fuentes, C.; Lim, S.; Ahmad, S.A. Antarctic heavy metal pollution and remediation efforts: State of the art of research and scientific publications. Braz. J. Microbiol. 2023, 54, 2011–2026. [Google Scholar] [CrossRef]
- Bottari, T.; Conti Nibali, V.; Branca, C.; Grotti, M.; Savoca, S.; Romeo, T.; Spano, N.; Azzaro, M.; Greco, S.; D’Angelo, G.; et al. Anthropogenic microparticles in the emerald rockcod Trematomus bernacchii (Nototheniidae) from Antarctica. Sci. Rep. 2022, 12, 17214. [Google Scholar] [CrossRef]
- Caruso, G.; Bergami, E.; Singh, N.; Corsi, I. Plastic occurrence, sources, and impacts in Antarctic environment and biota. Water Biol. Secur. 2022, 1, 100034. [Google Scholar] [CrossRef]
- Hwengwere, K.; Nair, H.P.; Hughes, K.A.; Peck, L.S.; Clark, M.S.; Walker, C.A. Antimicrobial resistance in Antarctica: Is it still a pristine environment? Microbiome 2022, 10, 70. [Google Scholar] [CrossRef]
- Rota, E.; Bergami, E.; Corsi, I.; Bargagli, R. Macro- and microplastics in the Antarctic environment: Ongoing assessment and perspectives. Environments 2022, 9, 93. [Google Scholar] [CrossRef]
- Micalizzi, G.; Chiaia, V.; Mancuso, M.; Bottari, T.; Mghili, B.; D’Angelo, G.; Falco, F.; Mondello, L. Investigating the effects of microplastics on the metabolism of Trematomus bernacchii from the Ross Sea (Antarctica). Sci. Total Environ. 2024, 955, 176766. [Google Scholar] [CrossRef]
- García-Laviña, C.X.; Morel, M.A.; García-Gabarrot, G.; Castro-Sowinski, S. Phenotypic and resistome analysis of antibiotic and heavy metal resistance in the Antarctic bacterium Pseudomonas sp. AU10. Braz. J. Microbiol. 2023, 54, 2903–2913. [Google Scholar] [CrossRef]
- De Souza, M.J.; Nair, S.; Loka Bharathi, P.A.; Chandramohan, D. Metal and antibiotic-resistance in psychrotrophic bacteria from Antarctic marine waters. Ecotoxicology 2006, 15, 379–384. [Google Scholar] [CrossRef]
- Hernández, F.; Calisto-Ulloa, N.; Gómez-Fuentes, C.; Gómez, M.; Ferrer, J.; González-Rocha, G.; Bello-Toledo, H.; Botero-Coy, A.M.; Boix, C.; Ibáñez, M.; et al. Occurrence of antibiotics and bacterial resistance in wastewater and sea water from the Antarctic. J. Hazard. Mater. 2019, 363, 447–456. [Google Scholar] [CrossRef]
- Vecchiato, M.; Gregoris, E.; Barbaro, E.; Barbante, C.; Piazza, R.; Gambaro, A. Fragrances in the seawater of Terra Nova Bay, Antarctica. Sci. Total Environ. 2017, 593–594, 375–379. [Google Scholar] [CrossRef]
- Bauer, A.; Kirby, W.M.; Sherris, J.C.; Turck, M. Antibiotic susceptibility testing by a standardized single disc method. Am. J. Clin. Pathol. 1966, 45, 493–496. [Google Scholar] [CrossRef]
- NCCLS. Methods for Dilution Antimicrobial Susceptibility Tests for Bacteria That Grow Aerobically; Approved Standard-Sixth Edition; NCCLS Document M7-A6; NCCLS: Wayne, PA, USA, 2003. [Google Scholar]
- Laganà, P.; Votano, L.; Caruso, G.; Azzaro, M.; Lo Giudice, A.; Delia, S. Bacterial isolates from the Arctic region (Pasvik River, Norway): Assessment of biofilm production and antibiotic susceptibility profiles. Environ. Sci. Pollut. Res. 2018, 25, 1089–1102. [Google Scholar] [CrossRef]
- Arcadi, E.; Rastelli, E.; Tangherlini, M.; Rizzo, C.; Mancuso, M.; Sanfilippo, M.; Esposito, V.; Andaloro, F.; Romeo, T. Shallow-water hydrothermal vents as natural accelerators of bacterial antibiotic resistance in marine coastal areas. Microorganisms 2022, 10, 479. [Google Scholar] [CrossRef]
- Kalkan, S. Heavy metal resistance of marine bacteria on the sediments of the Black Sea. Mar. Pollut. Bull. 2022, 179, 113652. [Google Scholar] [CrossRef]
- Klindworth, A.; Pruesse, E.; Schweer, T.; Peplies, J.; Quast, C.; Horn, M.; Glöckner, F.O. Evaluation of general 16S ribosomal RNA gene PCR primers for classical and next-generation sequencing-based diversity studies. Nucleic Acids Res. 2013, 41, e1. [Google Scholar] [CrossRef]
- Ashelford, K.E.; Chuzhanova, N.A.; Fry, J.C.; Jones, A.J.; Weightman, A.J. At least 1 in 20 16S rRNA sequence records currently held in public repositories is estimated to contain substantial anomalies. Appl. Environ. Microbiol. 2005, 71, 7724–7736. [Google Scholar] [CrossRef]
- Altschul, S.F.; Madden, T.L.; Schäffer, A.A.; Zhang, J.; Zhang, Z.; Miller, W.; Lipman, D.J. Gapped BLAST and PSI-BLAST: A new generation of protein database search programs. Nucleic Acids Res. 1997, 25, 3389–3402. [Google Scholar] [CrossRef]
- Sievers, F.; Higgins, D.G. The Clustal Omega Multiple Alignment Package. Methods Mol. Biol. 2021, 2231, 3–16. [Google Scholar] [CrossRef]
- Gouy, M.; Guindon, S.; Gascuel, O. Sea View Version 4: A Multiplatform Graphical User Interface for Sequence Alignment and Phylogenetic Tree Building. Mol. Biol. Evol. 2020, 27, 221–224. [Google Scholar] [CrossRef]
- Rabbia, V.; Bello-Toledo, H.; Jimenez, S.; Quezada, M.; Dominguez, M.; Vergara, L.; Gómez-Fuentes, C.; Calisto-Ulloa, N.; González-Acuña, D.; López, J.; et al. Antibiotic resistance in Escherichia coli strains isolated from Antarctic bird feces, water from inside a wastewater treatment plant, and seawater samples collected in the Antarctic Treaty area. Polar Sci. 2016, 10, 123–131. [Google Scholar] [CrossRef]
- Rizzo, L.; Manaia, C.; Merlin, C.; Schwartz, T.; Dagot, C.; Ploy, M.C.; Michael, I.; Fatta-Kassinos, D. Urban wastewater treatment plants as hotspots for antibiotic resistant bacteria and genes spread into the environment: A review. Sci. Total Environ. 2013, 447, 345–360. [Google Scholar] [CrossRef]
- Mangano, S.; Michaud, L.; Caruso, C.; Lo Giudice, A. Metal and antibiotic resistance in psychrotrophic bacteria associated with the Antarctic sponge Hemigellius pilosus (Kirkpatrick, 1907). Polar Biol. 2014, 37, 227–235. [Google Scholar] [CrossRef]
- González-Aravena, M.; Urtubia, R.; Del Campo, K.; Lavín, P.; Wong, C.M.V.L.; Cárdenas, C.A.; González-Rocha, G. Antibiotic and metal resistance of cultivable bacteria in the Antarctic Sea urchin. Antarct. Sci. 2016, 28, 261–268. [Google Scholar] [CrossRef]
- Retamal, P.; Llanos-Soto, S.; Salas, L.M.; López, J.; Vianna, J.; Hernández, J.; Medina-Vogel, G.; Castaneda, F.; Fresno, M.; González-Acuna, D. Isolation of drug-resistant Salmonella enterica serovar enteritidis strains in gentoo penguins from Antarctica. Polar Biol. 2017, 40, 2531–2536. [Google Scholar] [CrossRef]
- Na, G.S.; Zhang, W.L.; Gao, H.; Wang, C.X.; Li, R.J.; Zhao, F.Q.; Zhang, K.; Hou, C. Occurrence and antibacterial resistance of culturable antibiotic-resistant bacteria in the Fildes Peninsula, Antarctica. Mar. Pollut. Bull. 2021, 162, 111829. [Google Scholar] [CrossRef]
- Hernández, J.; Stedt, J.; Bonnedahl, J.; Molin, Y.; Drobni, M.; Calisto-Ulloa, N.; Gomez-Fuentes, C.; Astorga-España, M.S.; González-Acuña, D.; Waldenström, J.; et al. Human-associated extended-spectrum beta-lactamase in the Antarctic. Appl. Environ. Microbiol. 2012, 78, 2056–2058. [Google Scholar] [CrossRef]
- Mirete, S.; Morgante, V.; González-Pastor, J.E. Functional metagenomics of extreme environments. Curr. Opin. Biotechnol. 2016, 38, 143–149. [Google Scholar] [CrossRef]
- Na, G.S.; Wang, C.X.; Gao, H.; Li, R.J.; Jin, S.C.; Zhang, W.L.; Zong, H. The occurrence of sulfonamide and quinolone resistance genes at the Fildes Peninsula in Antarctica. Mar. Pollut. Bull. 2019, 149, 110503. [Google Scholar] [CrossRef]
- Lo Giudice, A.; Casella, P.; Bruni, V.; Michaud, L. Response of bacterial isolates from Antarctic shallow sediments towards heavy metals, antibiotics and polychlorinated biphenyls. Ecotoxicology 2013, 22, 240–250. [Google Scholar] [CrossRef]
- Bell, T.H.; Callender, K.L.; Whyte, L.G.; Greer, C.W. Microbial competition in polar soils: A review of an understudied but potentially important control on productivity. Biology 2013, 2, 533–554. [Google Scholar] [CrossRef]
- Tam, H.K.; Wong, C.M.V.L.; Yong, S.T.; Blamey, J.; González, M. Multiple-antibiotic-resistant bacteria from the maritime Antarctic. Polar Biol. 2015, 38, 1129–1141. [Google Scholar] [CrossRef]
- Jara, D.; Bello-Toledo, H.; Domìnguez, M.; Cigarroa, C.; Fernàdez, P.; Vergara, L. Antibiotic resistance in bacterial isolates from freshwater samples in Fildes Peninsula, King George Island, Antarctica. Sci. Rep. 2020, 10, 3145. [Google Scholar] [CrossRef]
- Chu, L.; Dang, L.; Kok, Y.; Yap, C.S.I.; Phang, S.M.; Convey, P. Heavy metal pollution in Antarctica and its potential impacts on algae. Polar Sci. 2019, 20, 75–83. [Google Scholar] [CrossRef]
- Suttie, E.D.; Wolff, E.W. The local deposition of heavy metal emissions from point sources in Antarctica. Atmos. Environ. Part A 1993, 27, 1833–1841. [Google Scholar] [CrossRef]
- Kennicutt, M.C.; Klein, A.; Montagna, P.; Sweet, S.; Wade, T.; Palmer, T.; Sericano, J.; Denoux, G. Temporal and spatial patterns of anthropogenic disturbance at McMurdo Station, Antarctica. Environ. Res. Lett. 2010, 5, 034010. [Google Scholar] [CrossRef]
- Bargagli, R.; Nelli, L.; Ancora, S.; Focardi, S. Elevated cadmium accumulation in marine organisms from Terra Nova Bay (Antarctica). Polar Biol. 1996, 16, 513–520. [Google Scholar] [CrossRef]
- Grotti, M.; Soggia, F.; Lagomarsino, C.; Riva, S.D.; Goessler, W.; Francesconi, K.A. Natural variability and distribution of trace elements in marine organisms from Antarctic coastal environments. Antarct. Sci. 2008, 20, 39–52. [Google Scholar] [CrossRef]
- Allen, H.K.; Donato, J.; Wang, H.H.; Cloud-Hansen, K.A.; Davies, J.; Handelsman, J. Call of the wild: Antibiotic resistance genes in natural environments. Nat. Rev. Microbiol. 2010, 8, 251–259. [Google Scholar] [CrossRef]
- Baker-Austin, C.; Wright, M.S.; Stepanauskas, R.; McArthur, J.V. Co-selection of antibiotic and metal resistance. Trends Microbiol. 2006, 14, 176–182. [Google Scholar] [CrossRef]
- Cowan, D.A.; Chown, S.L.; Convey, P.; Tuffin, M.; Hughes, K.; Pointing, S.; Vincent, W.F. Non-indigenous microorganisms in the Antarctic: Assessing the risks. Trends Microbiol. 2011, 19, 540–548. [Google Scholar] [CrossRef]
- D’Costa, V.M.; King, C.E.; Kalan, L.; Morar, M.; Sung, W.W.; Schwarz, C.; Froese, D.; Zazula, G.; Calmels, F.; Debruyne, R.; et al. Antibiotic resistance is ancient. Nature 2011, 477, 457–461. [Google Scholar] [CrossRef]
- Gillings, M.R. Integrons: Past, present, and future. Microbiol. Mol. Biol. Rev. 2014, 78, 257–277. [Google Scholar] [CrossRef]
- Hughes, K.A.; Thompson, A. Distribution of sewage pollution around a maritime Antarctic research station indicated by faecal coliforms, Clostridium perfringens and faecal sterol markers. Environ. Pollut. 2004, 127, 315–321. [Google Scholar] [CrossRef] [PubMed]
- Nies, D.H. Efflux-mediated heavy metal resistance in prokaryotes. FEMS Microbiol. Rev. 2003, 27, 313–339. [Google Scholar] [CrossRef]
- Pal, C.; Asiani, K.; Arya, S.; Rensing, C.; Stekel, D.J.; Larsson, D.G.J.; Hobman, J.L. Metal resistance and its association with antibiotic resistance. Adv. Microb. Physiol. 2017, 70, 261–313. [Google Scholar] [CrossRef]
- Poole, K. Efflux-mediated antimicrobial resistance. J. Antimicrob. Chemother. 2005, 56, 20–51. [Google Scholar] [CrossRef]
- Seiler, C.; Berendonk, T.U. Heavy metal driven co-selection of antibiotic resistance in soil and water bodies. FEMS Microbiol. Ecol. 2012, 3, 399. [Google Scholar] [CrossRef]
- Dimov, S.G.; Strateva, T. Detection of clinically relevant antimicrobial resistance determinants in warm-blooded marine animals in Livingston Island (South Shetland Islands, Antarctica): A field-based molecular genetics study. Mar. Pollut. Bull. 2022, 180, 113751. [Google Scholar] [CrossRef]
- Segawa, T.; Takahashi, A.; Kokubun, N.; Ishii, S. Spread of antibiotic resistance genes to Antarctica by migratory birds. Sci. Total Environ. 2024, 923, 171345. [Google Scholar] [CrossRef]
- Van Goethem, M.W.; Makhalanyane, T.P.; Cowan, D.A.; Valverde, A. Cyanobacteria and Alphaproteobacteria may facilitate cooperative interactions in niche communities. Front. Microbiol. 2018, 9, 2999. [Google Scholar] [CrossRef]
- Marcoleta, A.E.; Arros, P.; Varas, M.A.; Costa, J.; Rojas-Salgado, J.; Berríos-Pastén, C.; Tapia-Fuentes, S.; Silva, D.; Fierro, J.; Canales, N.; et al. The highly diverse Antarctic Peninsula soil microbiota as a source of novel resistance genes. Sci. Total Environ. 2022, 810, 152003. [Google Scholar] [CrossRef] [PubMed]
- Hughes, K.A.; Cowan, D.A.; Wilmotte, A. Protection of Antarctic microbial communities—‘Out of sight, out of mind’. Front. Microbiol. 2020, 6, 151. [Google Scholar] [CrossRef]
- Martínez, J.L. Antibiotics and antibiotic resistance genes in natural environments. Science 2015, 321, 365–367. [Google Scholar] [CrossRef] [PubMed]






| Source | Strain n. | Bacterial Genus | TET | VAN | SULF | qacB | qnrA | oqxB |
|---|---|---|---|---|---|---|---|---|
| Trematomus bernacchii | RB67 | Pseudomonas Versuta | − | + | − | + | + | + |
| Trematomus bernacchii | RB68 | Pseudomonas versuta | − | + | − | + | + | + |
| Trematomus bernacchii | RB139 | Pseudoalteromonas translucida | − | + | + | + | + | + |
| Trematomus bernacchii | RB161 | Pseudoalteromonas translucida | − | + | + | + | − | + |
| Trematomus bernacchii | RB170 | Pseudoalteromonas translucida | − | + | − | + | + | + |
| Trematomus bernacchii | RB206 | Psychrobacter sp. | − | + | + | − | + | + |
| Trematomus bernacchii | TB341 | Psychrobacter sp. | − | + | − | + | − | + |
| Surface water | RB4 | Psychrobacter sp. | + | + | + | + | − | + |
| Surface water | RB5 | Metaplanococcus flavidum | − | + | − | − | − | + |
| Column Water | RB52 | Metaplanococcus Flavidum | − | + | − | + | − | + |
| Column Water | RB242 | Psychrobacter sp. | + | + | + | + | − | + |
| Sediment | TB188 | Pseudoalteromonas translucida | + | − | − | + | + | + |
Disclaimer/Publisher’s Note: The statements, opinions and data contained in all publications are solely those of the individual author(s) and contributor(s) and not of MDPI and/or the editor(s). MDPI and/or the editor(s) disclaim responsibility for any injury to people or property resulting from any ideas, methods, instructions or products referred to in the content. |
© 2025 by the authors. Licensee MDPI, Basel, Switzerland. This article is an open access article distributed under the terms and conditions of the Creative Commons Attribution (CC BY) license.
Share and Cite
Gugliandolo, E.; Mghili, B.; Fabrizi, F.; Gunasekaran, K.; Smedile, F.; Inferrera, F.; Natale, S.; Romeo, T.; Arcadi, E.; Habib, S.S.; et al. Antibiotic and Heavy Metal Resistance in Marine Bacteria from Terra Nova Bay (Ross Sea): Insights from Wild Fish and Environmental Samples. Animals 2026, 16, 51. https://doi.org/10.3390/ani16010051
Gugliandolo E, Mghili B, Fabrizi F, Gunasekaran K, Smedile F, Inferrera F, Natale S, Romeo T, Arcadi E, Habib SS, et al. Antibiotic and Heavy Metal Resistance in Marine Bacteria from Terra Nova Bay (Ross Sea): Insights from Wild Fish and Environmental Samples. Animals. 2026; 16(1):51. https://doi.org/10.3390/ani16010051
Chicago/Turabian StyleGugliandolo, Enrico, Bilal Mghili, Francesca Fabrizi, Kannan Gunasekaran, Francesco Smedile, Francesca Inferrera, Sabrina Natale, Teresa Romeo, Erika Arcadi, Syed Sikandar Habib, and et al. 2026. "Antibiotic and Heavy Metal Resistance in Marine Bacteria from Terra Nova Bay (Ross Sea): Insights from Wild Fish and Environmental Samples" Animals 16, no. 1: 51. https://doi.org/10.3390/ani16010051
APA StyleGugliandolo, E., Mghili, B., Fabrizi, F., Gunasekaran, K., Smedile, F., Inferrera, F., Natale, S., Romeo, T., Arcadi, E., Habib, S. S., Azzaro, M., Bottari, T., & Mancuso, M. (2026). Antibiotic and Heavy Metal Resistance in Marine Bacteria from Terra Nova Bay (Ross Sea): Insights from Wild Fish and Environmental Samples. Animals, 16(1), 51. https://doi.org/10.3390/ani16010051

