Genomic Analysis of Latvian Brown Old Type and Latvian Blue Local Dairy Cattle Breeds Using SNP Data
Simple Summary
Abstract
1. Introduction
2. Materials and Methods
2.1. Animals’ Data
2.2. SNP Typing and Quality Control
2.3. Between-Breed and Within-Breed Variation Analysis
2.4. ROH and Genomic Inbreeding Evaluation
2.5. Effect of Inbreeding on Cows’ Productivity
3. Results
3.1. Genetic Variability and Clustering of Latvian Dairy Breeds
3.2. Heterozygosity and Minor Allele Frequency
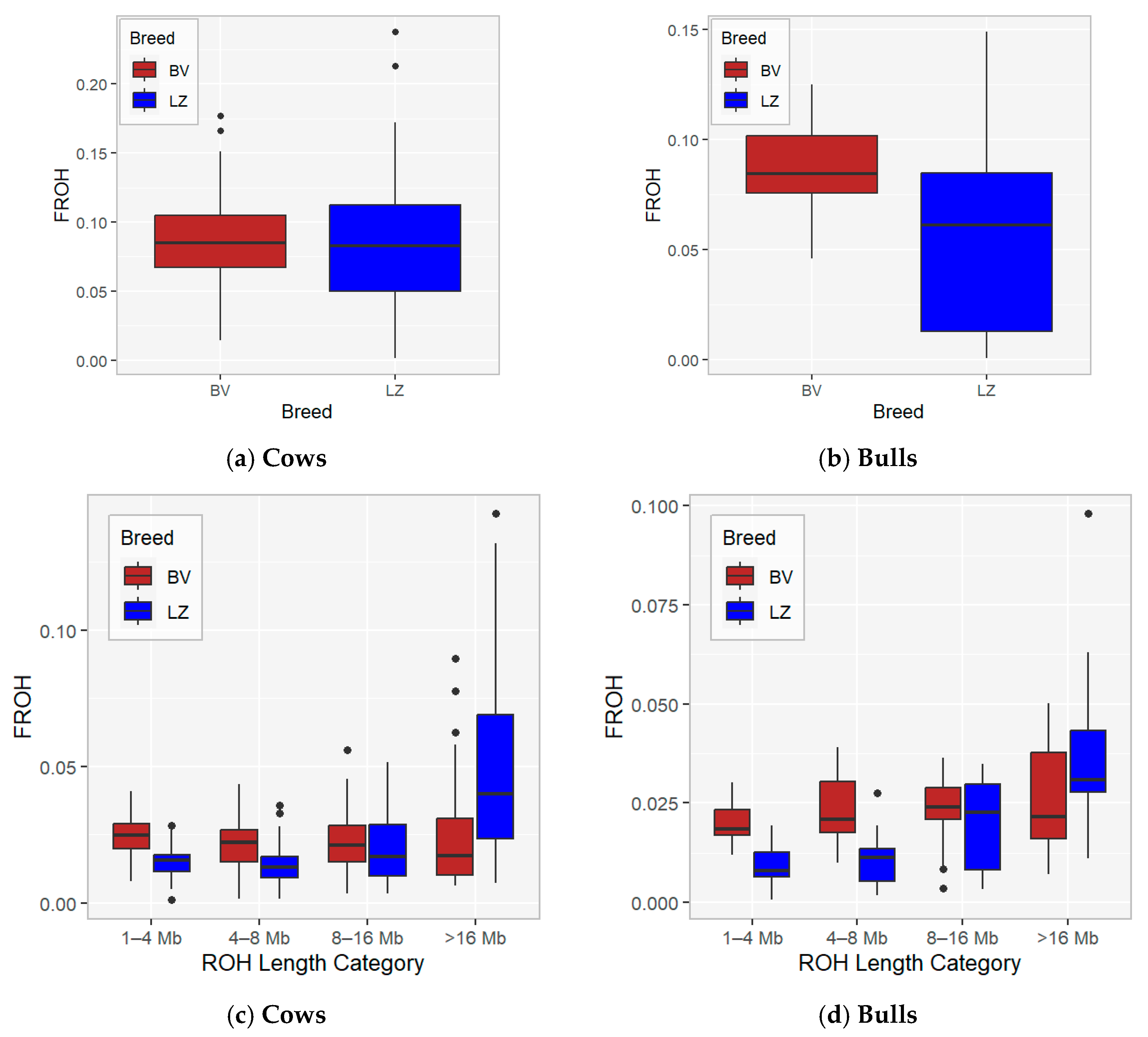
3.3. Runs of Homozygosity (ROH)
3.4. Genomic Inbreeding
3.5. Cows’ Productivity and the Effect of Inbreeding on Cows’ Productivity
4. Discussion
5. Conclusions
Supplementary Materials
Author Contributions
Funding
Institutional Review Board Statement
Informed Consent Statement
Data Availability Statement
Acknowledgments
Conflicts of Interest
References
- Regulation (EU) 2016/1012 of the European Parliament and of the Council of 8 June 2016 Clause 24 of Article 2. Available online: https://eur-lex.europa.eu/legal-content/EN/TXT/PDF/?uri=CELEX:32016R1012&qid=1689913000067 (accessed on 24 October 2025).
- Breed Societies Maintaining Breeding Books for Purebred Breeding Animals. Available online: https://www.lad.gov.lv/lv/media/11452/download?attachment (accessed on 24 October 2025).
- Domestic Animal Diversity Information System (DAD-IS). Available online: https://www.fao.org/dad-is/browse-by-country-and-species/en/ (accessed on 23 November 2025).
- European Regional Focal Point for Animal Genetic Resources (ERFP). Available online: https://www.animalgeneticresources.net/index.php/country/latvia/#1589182530764-d1c43160-c850 (accessed on 24 October 2025).
- Latvian Brown Cow’s Conservation Program from 2019 and on (In Latvian). Available online: https://drive.google.com/file/d/1AMcfGytj9pJcqjllyEMNiIEDQrM8wX7-/view (accessed on 17 December 2025).
- Breeding Program of the Latvian Blue Cow Breed 2019–2029 (In Latvian). Available online: https://www.lad.gov.lv/lv/normativie-akti-par-dzivnieku-registraciju (accessed on 24 October 2025).
- FAO. The Second Report on the State of the World’s Animal Genetic Resources for Food and Agriculture; Food and Agriculture Organization of the United Nations: Rome, Italy, 2015. [CrossRef]
- Notter, D.R. The importance of genetic diversity in livestock populations of the future. J. Anim. Sci. 1999, 77, 61–69. [Google Scholar] [CrossRef]
- Reljanovic, M.; Ristov, S.; Curik, C.V.; Cacic, M.; Ferencakovic, M.; Curik, I. Genealogical decomposition of the effective population size: A case study on croatian autochthonous cattle breeds. Poljoprivreda 2015, 21, 52–55. [Google Scholar] [CrossRef]
- Biscarini, F.; Mastrangelo, S.; Catillo, G.; Senczuk, G.; Ciampolini, R. Insights into Genetic Diversity, Runs of Homozygosity and Heterozygosity-Rich Regions in Maremmana Semi-Feral Cattle Using Pedigree and Genomic Data. Animals 2020, 10, 2285. [Google Scholar] [CrossRef] [PubMed]
- Fabbri, M.C.; Dadousis, C.; Bozzi, R. Estimation of Linkage Disequilibrium and Effective Population Size in Three Italian Autochthonous Beef Breeds. Animals 2020, 10, 1034. [Google Scholar] [CrossRef]
- Nyman, S.; Johansson, A.M.; Palucci, V.; Schönherz, A.A.; Guldbrandtsen, B.; Hinrichs, D.; de Koning, D.J. Inbreeding and pedigree analysis of the European red dairy cattle. Genet. Sel. Evol. 2022, 54, 70. [Google Scholar] [CrossRef]
- Marašinskienė, Š.; Šveistienė, R.; Razmaitė, V.; Račkauskaitė, A.; Juškienė, V. Genetic Variability and Conservation Challenges in Lithuanian Dairy Cattle Populations. Animals 2023, 13, 3506. [Google Scholar] [CrossRef]
- Paura, L.; Jonkus, D. Inbreeding Evaluation in Latvian Local Cattle Breeds. Acta Fytotech. Zootech. 2020, 23, 52–57. [Google Scholar] [CrossRef]
- Gudra, D.; Valdovska, A.; Jonkus, D.; Galina, D.; Kairisa, D.; Ustinova, M.; Viksne, K.; Fridmanis, D.; Kalnina, I. Genomic Characterization and Initial Insight into Mastitis-Associated SNP Profiles of Local Latvian Bos taurus Breeds. Animals 2023, 13, 2776. [Google Scholar] [CrossRef]
- Chang, C.C.; Chow, C.C.; Tellier, L.C.; Vattikuti, S.; Purcell, S.M.; Lee, J.J. Second-Generation PLINK: Rising to the Challenge of Larger and Richer Datasets. GigaScience 2015, 4, s13742-015-0047-8. [Google Scholar] [CrossRef]
- PLINK: Whole Genome Data Analysis Toolset. Available online: http://zzz.bwh.harvard.edu/plink/ (accessed on 17 December 2025).
- Meyermans, R.; Gorssen, W.; Buys, N.; Janssens, S. How to Study Runs of Homozygosity Using PLINK? A Guide for Analyzing Medium Density SNP Data in Livestock and Pet Species. BMC Genom. 2020, 21, 94. [Google Scholar] [CrossRef] [PubMed]
- R Core Team. R: A Language and Environment for Statistical Computing; R Foundation for Statistical Computing: Vienna, Austria, 2025; Available online: https://www.R-project.org/ (accessed on 17 December 2025).
- Purfield, D.C.; Berry, D.P.; McParland, S.; Bradley, D.G. Runs of Homozygosity and Population History in Cattle. BMC Genet. 2012, 13, 70. [Google Scholar] [CrossRef]
- McQuillan, R.; Leutenegger, A.-L.; Abdel-Rahman, R.; Franklin, C.S.; Pericic, M.; Barac-Lauc, L.; Smolej-Narancic, N.; Janicijevic, B.; Polasek, O.; Tenesa, A.; et al. Runs of Homozygosity in European Populations. Am. J. Hum. Genet. 2008, 83, 359–372. [Google Scholar] [CrossRef]
- Ferenčaković, M.; Hamzic, E.; Gredler, B.; Curik, I.; Solkner, J. Runs of homozygosity reveal genome-wideautozygosity in the Austrian fleckvieh cattle. Agric. Conspec. Sci. 2011, 76, 325–328. [Google Scholar]
- Marras, G.; Gaspa, G.; Sorbolini, S.; Dimauro, C.; Ajmone-Marsan, P.; Valentini, A.; Williams, J.L.; Macciotta, N.P.P. Analysis of Runs of Homozygosity and Their Relationship with Inbreeding in Five Cattle Breeds Farmed in Italy. Anim. Genet. 2014, 46, 110–121. [Google Scholar] [CrossRef]
- Curik, I.; Ferenčaković, M.; Sölkner, J. Inbreeding and Runs of Homozygosity: A Possible Solution to an Old Problem. Livest. Sci. 2014, 166, 26–34. [Google Scholar] [CrossRef]
- Mastrangelo, S.; Ciani, E.; Marsan, P.A.; Bagnato, A.; Battaglini, L.; Bozzi, R.; Carta, A.; Catillo, G.; Cassandro, M.; Casu, S.; et al. Conservation status and historical relatedness of Italian cattle breeds. Genet. Sel. Evol. 2018, 50, 35. [Google Scholar] [CrossRef]
- Kasarda, R.; Vostrý, L.; Vostrá-Vydrová, H.; Candráková, K.; Moravčíková, N. Food Resources Biodiversity: The Case of Local Cattle in Slovakia. Sustainability 2021, 13, 1296. [Google Scholar] [CrossRef]
- Bayraktar, M.; Cebeci, Z.; Gökçe, G. Analysing the Genetic Diversity and Population Structure of Five Native Turkish Cattle Breeds Using SNP Data. Reprod. Domest. Anim. 2024, 59, 14545. [Google Scholar] [CrossRef] [PubMed]
- Ferenčaković, M.; Hamzić, E.; Gredler, B.; Solberg, T.R.; Klemetsdal, G.; Curik, I.; Sölkner, J. Estimates of Autozygosity Derived from Runs of Homozygosity: Empirical Evidence from Selected Cattle Populations. J. Anim. Breed. Genet. 2012, 130, 286–293. [Google Scholar] [CrossRef]
- Fontanesi, L.; Calò, D.G.; Galimberti, G.; Negrini, R.; Marino, R.; Nardone, A.; Ajmone-Marsan, P.; Russo, V. A candidate gene association study for nine economically important traits in Italian Holstein cattle. Anim. Genet. 2014, 45, 576–580. [Google Scholar] [CrossRef] [PubMed]
- Jiang, J.; Liu, L.; Gao, Y.; Shi, L.; Li, Y.; Liang, W.; Sun, D. Determination of genetic associations between indels in 11 candidate genes and milk composition traits in Chinese Holstein population. BMC Genet. 2019, 20, 48. [Google Scholar] [CrossRef]
- Ristanic, M.; Zorc, M.; Glavinic, U.; Stevanovic, J.; Blagojevic, J.; Maletic, M.; Stanimirovic, Z. Genome-Wide Analysis of Milk Production Traits and Selection Signatures in Serbian Holstein-Friesian Cattle. Animals 2024, 14, 669. [Google Scholar] [CrossRef]
- Szmatoła, T.; Gurgul, A.; Jasielczuk, I.; Ząbek, T.; Ropka-Molik, K.; Litwińczuk, Z.; Bugno-Poniewierska, M. A Comprehensive Analysis of Runs of Homozygosity of Eleven Cattle Breeds Representing Different Production Types. Animals 2019, 9, 1024. [Google Scholar] [CrossRef]
- Wirth, A.; Duda, J.; Emmerling, R.; Götz, K.U.; Birkenmaier, F.; Distl, O. Analyzing Runs of Homozygosity Reveals Patterns of Selection in German Brown Cattle. Genes 2024, 15, 1051. [Google Scholar] [CrossRef] [PubMed] [PubMed Central]
- Zhang, Q.; Calus, M.P.; Guldbrandtsen, B.; Lund, M.S.; Sahana, G. Estimation of Inbreeding Using Pedigree, 50k SNP Chip Genotypes and Full Sequence Data in Three Cattle Breeds. BMC Genet. 2015, 16, 88. [Google Scholar] [CrossRef]
- Senczuk, G.; Mastrangelo, S.; Ciani, E.; Battaglini, L.; Cendron, F.; Ciampolini, R.; Crepaldi, P.; Mantovani, R.; Bongioni, G.; Pagnacco, G.; et al. The Genetic Heritage of Alpine Local Cattle Breeds Using Genomic SNP Data. Genet. Sel. Evol. 2020, 52, 40. [Google Scholar] [CrossRef]
- Värv, S.; Põlluäär, T.; Sild, E.; Viinalass, H.; Kaart, T. Genetic Variation and Composition of Two Commercial Estonian Dairy Cattle Breeds Assessed by SNP Data. Animals 2024, 14, 1101. [Google Scholar] [CrossRef] [PubMed]
- Schmidtmann, C.; Schönherz, A.A.; Guldbrandtsen, B.; Marjanovic, J.; Calus, M.P.L.; Hinrichs, D.; Thaller, G. Assessing the Genetic Background and Genomic Relatedness of Red Cattle Populations Originating from Northern Europe. Genet. Sel. Evol. 2021, 53, 23. [Google Scholar] [CrossRef] [PubMed]
- Mészáros, G.; Boison, S.A.; Pérez O’Brien, A.M.; Ferenčaković, M.; Curik, I.; Da Silva, M.V.; Utsunomiya, Y.T.; Garcia, J.F.; Sölkner, J. Genomic Analysis for Managing Small and Endangered Populations: A Case Study in Tyrol Grey Cattle. Front. Genet. 2015, 6, 173. [Google Scholar] [CrossRef]
- Jonkus, D.; Paura, L.; Cielava, L. Longevity and Milk Production Efficiency of Latvian Local Breeds during Last Decades. Agron. Res. 2020, 18, 1316–1322. [Google Scholar] [CrossRef]
- Gandini, G.; Maltecca, C.; Pizzi, F.; Bagnato, A.; Rizzi, R. Comparing Local and Commercial Breeds on Functional Traits and Profitability: The Case of Reggiana Dairy Cattle. J. Dairy Sci. 2007, 90, 2004–2011. [Google Scholar] [CrossRef]
- Bieber, A.; Wallenbeck, A.; Leiber, F.; Fuerst-Waltl, B.; Winckler, C.; Gullstrand, P.; Walczak, J.; Wójcik, P.; Neff, A.S. Production Level, Fertility, Health Traits, and Longevity in Local and Commercial Dairy Breeds under Organic Production Conditions in Austria, Switzerland, Poland, and Sweden. J. Dairy Sci. 2019, 102, 5330–5341. [Google Scholar] [CrossRef]
- Bjelland, D.W.; Weigel, K.A.; Vukasinovic, N.; Nkrumah, J.D. Evaluation of Inbreeding Depression in Holstein Cattle Using Whole-Genome SNP Markers and Alternative Measures of Genomic Inbreeding. J. Dairy Sci. 2013, 96, 4697–4706. [Google Scholar] [CrossRef]
- Dezetter, C.; Leclerc, H.; Mattalia, S.; Barbat, A.; Boichard, D.; Ducrocq, V. Inbreeding and Crossbreeding Parameters for Production and Fertility Traits in Holstein, Montbéliarde, and Normande Cows. J. Dairy Sci. 2015, 98, 4904–4913. [Google Scholar] [CrossRef]
- Bezdicek, J.; Nesvadbová, A.; Louda, F. Relationship between inbreeding and daily milk production in Holstein cows. Slovak J. Anim. Sci. 2020, 53, 78–85. [Google Scholar]
- Mugambe, J.; Ahmed, R.; Thaller, G.; Schmidtmann, C. Impact of Inbreeding on Production, Fertility, and Health Traits in German Holstein Dairy Cattle Utilizing Various Inbreeding Estimators. J. Dairy Sci. 2024, 107, 4714–4725. [Google Scholar] [CrossRef] [PubMed]
- Doekes, H.P.; Veerkamp, R.F.; Bijma, P.; de Jong, G.; Hiemstra, S.J.; Windig, J.J. Inbreeding Depression due to Recent and Ancient Inbreeding in Dutch Holstein–Friesian Dairy Cattle. Genet. Sel. Evol. 2019, 51, 54. [Google Scholar] [CrossRef]
- Ablondi, M.; Summer, A.; Stocco, G.; Finocchiaro, R.; van Kaam, J.T.; Cassandro, M.; Dadousis, C.; Sabbioni, A.; Cipolat-Gotet, C. The Role of Inbreeding Depression on Productive Performance in the Italian Holstein Breed. J. Anim. Sci. 2023, 101, skad382. [Google Scholar] [CrossRef] [PubMed]





| Breed | Cows | Bulls | ||
|---|---|---|---|---|
| Ho Mean (SD) | MAF Mean (SD) | Ho Mean (SD) | MAF Mean (SD) | |
| BV | 0.401 (0.014) | 0.319 (0.122) | 0.397 (0.009) | 0.316 (0.129) |
| LZ | 0.403 (0.023) | 0.318 (0.124) | 0.413 (0.019) | 0.315 (0.131) |
| ROH Category 1 | BV | LZ | ||
|---|---|---|---|---|
| ROH, kb Mean (SD) | ROH Count (Frequency) | ROH, kb Mean (SD) | ROH Count (Frequency) | |
| Cows | ||||
| 1–4 Mb | 2158 (804) | 2659 (0.63) | 2073 (786) | 1310 (0.60) |
| 4–8 Mb | 5637 (1123) | 902 (0.22) | 5820 (1134) | 373 (0.17) |
| 8–16 Mb | 10,855 (2111) | 465 (0.11) | 11,734 (2186) | 265 (0.12) |
| >16 Mb | 24,790 (9632) | 174 (0.04) | 27,145 (11,037) | 251 (0.11) |
| Bulls | ||||
| 1–4 Mb | 2410 (708) | 414 (0.54) | 2247 (757) | 178 (0.50) |
| 4–8 Mb | 5777 (1123) | 202 (0.26) | 5667 (1160) | 77 (0.22) |
| 8–16 Mb | 11,044 (2209) | 104 (0.14) | 10,967 (2065) | 60 (0.17) |
| >16 Mb | 26,193 (10,146) | 42 (0.06) | 27,115 (9174) | 39 (0.11) |
| ROH Category 1 | BV | LZ | ||
|---|---|---|---|---|
| FROH, % Mean (SD) | FROH, % Range | FROH,% Mean (SD) | FROH,% Range | |
| Cows | ||||
| 1–4 Mb | 2.44 (0.66) | 0.80–4.09 | 1.51 (0.54) | 0.12–2.83 |
| 4–8 Mb | 2.16 (0.92) | 0.18–4.34 | 1.36 (0.71) | 0.17–3.59 |
| 8–16 Mb | 2.18 (1.06) | 0.36–5.60 | 2.01 a (1.19) | 0.35–5.16 |
| >16 Mb | 2.30 * (1.70) | 0.65–8.96 | 4.87 *a (3.10) | 0.73–14.29 |
| Bulls | ||||
| 1–4 Mb | 2.00 (0.50) | 1.20–3.01 | 0.89 (0.46) | 0.06–1.93 |
| 4–8 Mb | 2.33 (0.83) | 0.99–3.91 | 1.09 (0.67) | 0.17–2.75 |
| 8–16 Mb | 2.30 (0.87) | 0.35–3.64 | 2.02 (1.17) | 0.34–3.49 |
| >16 Mb | 2.59 (1.46) | 0.70–5.02 | 3.85 (2.42) | 1.10–9.82 |
| Trait | BV (n = 78) | LZ (n = 48) | ||
|---|---|---|---|---|
| Mean (SD) | Range | Mean (SD) | Range | |
| Milk yield, kg | 4013.1 * (913.50) | 2456–6780 | 4614.4 * (1104.92) | 2115–6687 |
| Fat content, % | 4.93 (0.52) | 3.78–6.44 | 4.57 (0.48) | 3.67–5.66 |
| Protein content, % | 3.54 (0.26) | 3.03–4.26 | 3.39 (0.23) | 3.00–3.98 |
| ECM, kg | 4483.3 (938.31) | 2876.5–7482.5 | 4941.8 (1303.35) | 2377.6–7966.7 |
| FROH, % | 8.61 (3.08) | 1.43–17.70 | 8.30 (5.14) | 0.65–23.81 |
Disclaimer/Publisher’s Note: The statements, opinions and data contained in all publications are solely those of the individual author(s) and contributor(s) and not of MDPI and/or the editor(s). MDPI and/or the editor(s) disclaim responsibility for any injury to people or property resulting from any ideas, methods, instructions or products referred to in the content. |
© 2025 by the authors. Licensee MDPI, Basel, Switzerland. This article is an open access article distributed under the terms and conditions of the Creative Commons Attribution (CC BY) license.
Share and Cite
Jonkus, D.; Cielava, L.; Dreimanis, D.; Nikonova, V.; Paura, L. Genomic Analysis of Latvian Brown Old Type and Latvian Blue Local Dairy Cattle Breeds Using SNP Data. Animals 2026, 16, 20. https://doi.org/10.3390/ani16010020
Jonkus D, Cielava L, Dreimanis D, Nikonova V, Paura L. Genomic Analysis of Latvian Brown Old Type and Latvian Blue Local Dairy Cattle Breeds Using SNP Data. Animals. 2026; 16(1):20. https://doi.org/10.3390/ani16010020
Chicago/Turabian StyleJonkus, Daina, Lasma Cielava, Didzis Dreimanis, Viktorija Nikonova, and Liga Paura. 2026. "Genomic Analysis of Latvian Brown Old Type and Latvian Blue Local Dairy Cattle Breeds Using SNP Data" Animals 16, no. 1: 20. https://doi.org/10.3390/ani16010020
APA StyleJonkus, D., Cielava, L., Dreimanis, D., Nikonova, V., & Paura, L. (2026). Genomic Analysis of Latvian Brown Old Type and Latvian Blue Local Dairy Cattle Breeds Using SNP Data. Animals, 16(1), 20. https://doi.org/10.3390/ani16010020

