The Effects of a Small Dose of Tannin Supplementation on In Vitro Fermentation Characteristics of Different Forages
Simple Summary
Abstract
1. Introduction
2. Materials and Methods
2.1. Forage Sampling and Tannin Supplement
2.2. In Vitro Fermentation and Treatments
2.3. Chemical Analysis
2.4. Statistical Analysis
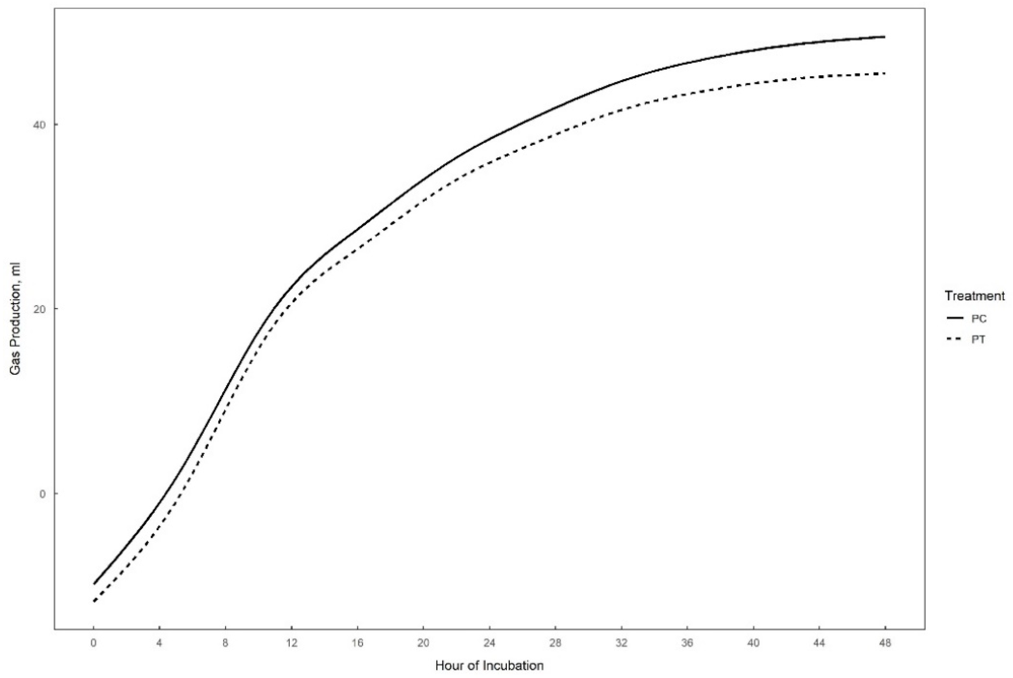
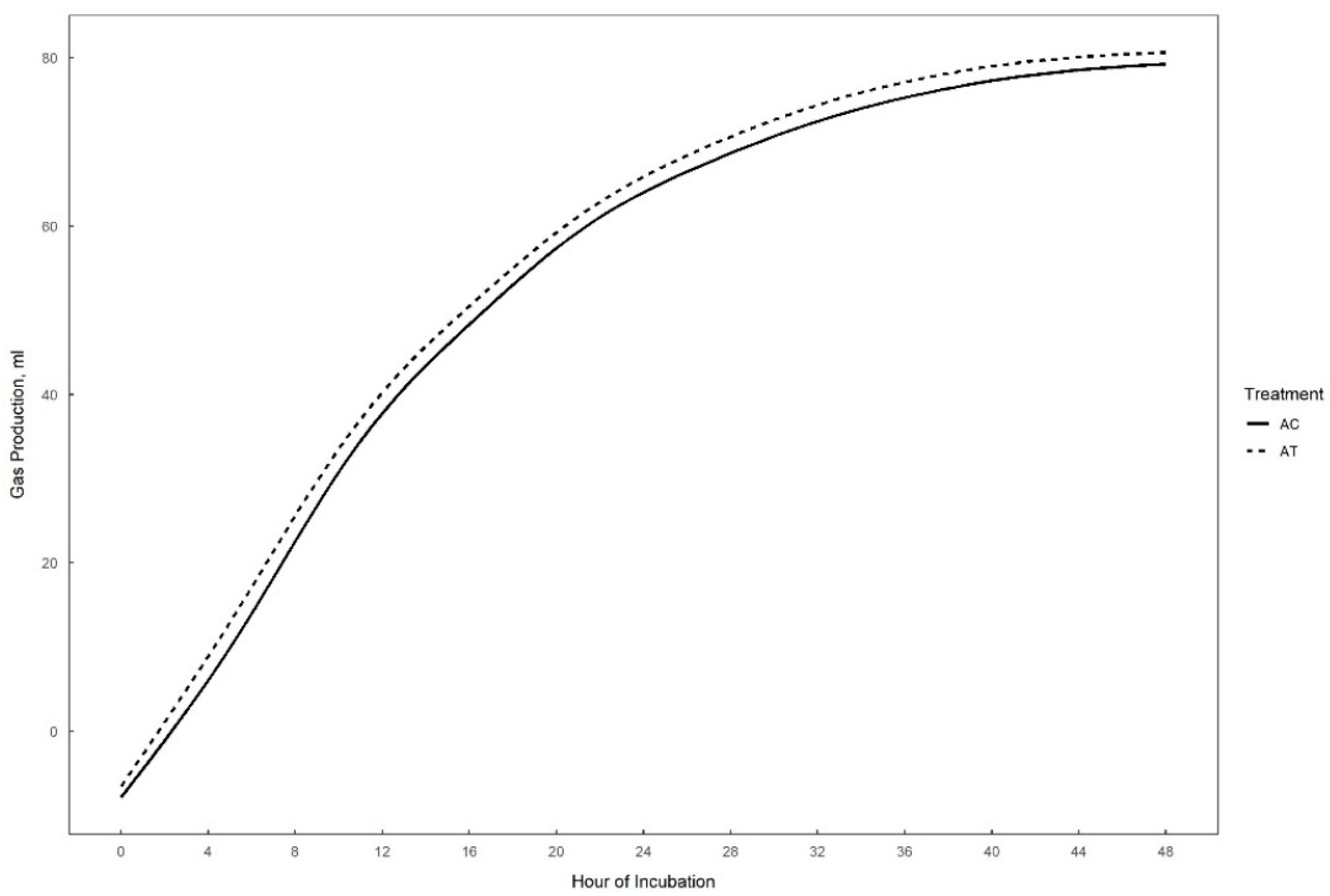
3. Results
4. Discussion
Increasing Publication Supporting the Null Hypothesis Would Help Researchers Save Unnecessary Work: Reflection on Method
5. Conclusions
Author Contributions
Funding
Institutional Review Board Statement
Informed Consent Statement
Data Availability Statement
Acknowledgments
Conflicts of Interest
References
- Gregorini, P.; Beukes, P.C.; Dalley, D.; Romera, A.J. Screening for diets that reduce urinary nitrogen excretion and methane emissions while maintaining or increasing production by dairy cows. Sci. Total. Environ. 2016, 551–552, 32–41. [Google Scholar] [CrossRef] [PubMed]
- Stewart, A.V. Plantain (Plantago lanceolata)—A Potential Pasture Species; New Zealand Grassland Association: Dunedin, New Zealand, 1996; Volume 58, pp. 77–86. [Google Scholar]
- Verma, S.; Taube, F.; Malisch, C.S. Examining the Variables Leading to Apparent Incongruity between Antimethanogenic Potential of Tannins and Their Observed Effects in Ruminants—A Review. Sustainability 2021, 13, 2743. [Google Scholar] [CrossRef]
- Al Rharad, A.; El Aayadi, S.; Avril, C.; Souradjou, A.; Sow, F.; Camara, Y.; Hornick, J.L.; Boukrouh, S. Meta-Analysis of Dietary Tannins in Small Ruminant Diets: Effects on Growth Performance, Serum Metabolites, Antioxidant Status, Ruminal Fermentation, Meat Quality, and Fatty Acid Profile. Animals 2025, 15, 596. [Google Scholar] [CrossRef]
- I.P.O.C. Climate change 2007: The physical science basis. Agenda 2007, 6, 333. [Google Scholar]
- Makkar, H.P. Effects and fate of tannins in ruminant animals, adaptation to tannins, and strategies to overcome detrimental effects of feeding tannin-rich feeds. Small Rumin. Res. 2003, 49, 241–256. [Google Scholar] [CrossRef]
- Mueller-Harvey, I. Unravelling the conundrum of tannins in animal nutrition and health. J. Sci. Food Agric. 2006, 86, 2010–2037. [Google Scholar] [CrossRef]
- Jayanegara, A.; Leiber, F.; Kreuzer, M. Meta-analysis of the relationship between dietary tannin level and methane formation in ruminants from in vivo and in vitro experiments. J. Anim. Physiol. Anim. Nutr. 2012, 96, 365–375. [Google Scholar] [CrossRef]
- Patra, A.K.; Saxena, J. Exploitation of dietary tannins to improve rumen metabolism and ruminant nutrition. J. Sci. Food Agric. 2011, 91, 24–37. [Google Scholar] [CrossRef] [PubMed]
- Norris, A.; Tedeschi, L.; Foster, J.; Muir, J.; Pinchak, W.; Fonseca, M. AFST: Influence of quebracho tannin extract fed at differing rates within a high-roughage diet on the apparent digestibility of dry matter and fiber, nitrogen balance, and fecal gas flux. Anim. Feed Sci. Technol. 2020, 260, 114365. [Google Scholar] [CrossRef]
- Hassanat, F.; Benchaar, C. Assessment of the effect of condensed (acacia and quebracho) and hydrolysable (chestnut and valonea) tannins on rumen fermentation and methane production in vitro. J. Sci. Food Agric. 2013, 93, 332–339. [Google Scholar] [CrossRef]
- Aguerre, M.J.; Capozzolo, M.C.; Lencioni, P.; Cabral, C.; Wattiaux, M.A. Effect of quebracho-chestnut tannin extracts at 2 dietary crude protein levels on performance, rumen fermentation, and nitrogen partitioning in dairy cows. J. Dairy Sci. 2016, 99, 4476–4486. [Google Scholar] [CrossRef] [PubMed]
- Marshall, C.; Beck, M.; Garrett, K.; Castillo, A.; Barrell, G.; Al-Marashdeh, O.; Gregorini, P. The effect of feeding a mix of condensed and hydrolyzable tannins to heifers on rumen fermentation patterns, blood urea nitrogen, and amino acid profile. Livest. Sci. 2022, 263, 105034. [Google Scholar] [CrossRef]
- Pérez-Ruchel, A.; Britos, A.; Alvarado, A.; Fernández-Ciganda, S.; Gadeyne, F.; Bustos, M.; Zunino, P.; Cajarville, C. Impact of adding tannins or medium-chain fatty acids in a dairy cow diet on variables of in vitro fermentation using a rumen simulation technique (RUSITEC) system. Anim. Feed Sci. Technol. 2023, 305, 115763. [Google Scholar] [CrossRef]
- Carmona-Flores, L.; Bionaz, M.; Downing, T.; Sahin, M.; Cheng, L.; Ates, S. Milk production, N partitioning, and methane emissions in dairy cows grazing mixed or spatially separated simple and diverse pastures. Animals 2020, 10, 1301. [Google Scholar] [CrossRef]
- Garrett, K.; Beck, M.R.; Marshall, C.J.; Fleming, A.E.; Logan, C.M.; Maxwell, T.M.; Greer, A.W.; Gregorini, P. Functional diversity vs. monotony: The effect of a multiforage diet as opposed to a single forage diet on animal intake, performance, welfare, and urinary nitrogen excretion. J. Anim. Sci. 2021, 99, skab058. [Google Scholar] [CrossRef] [PubMed]
- Garrett, K.; Beck, M.; Marshall, C.; Logan, C.; Maxwell, T.; Greer, A.; Gregorini, P. Effects of incorporating plantain, chicory, and alfalfa into a ryegrass-based diet on in vitro gas production and fermentation characteristics. Appl. Anim. Sci. 2021, 37, 367–376. [Google Scholar] [CrossRef]
- Fox, J.; Weisberg, S. An R Companion to Applied Regression; Sage Publications: Thousand Oaks, CA, USA, 2018. [Google Scholar]
- Lenth, R.; Singmann, H.; Love, J.; Buerkner, P.; Herve, M. Emmeans: Estimated marginal means. AKA Least-Sq. Means 2018, 1. Available online: https://uk.sagepub.com/en-gb/eur/an-r-companion-to-applied-regression/book246125 (accessed on 24 April 2025).
- Ørskov, E.-R.; McDonald, I. The estimation of protein degradability in the rumen from incubation measurements weighted according to rate of passage. J. Agric. Sci. 1979, 92, 499–503. [Google Scholar] [CrossRef]
- Pinheiro, J.; Bates, D.; Team, R.C.; Team, R.C. nlme: Linear and Nonlinear Mixed Effects Models. R Package Version 3.1-160. 2022. Available online: https://svn.r-project.org/R-packages/trunk/nlme/ (accessed on 1 December 2024).
- Pellikaan, W.F.; Stringano, E.; Leenaars, J.; Bongers, D.J.; van Laar-van Schuppen, S.; Plant, J.; Mueller-Harvey, I. Evaluating effects of tannins on extent and rate of in vitro gas and CH4 production using an automated pressure evaluation system (APES). Anim. Feed Sci. Technol. 2011, 166, 377–390. [Google Scholar] [CrossRef]
- Verma, S.; Akpensuen, T.T.; Wolffram, S.; Salminen, J.-P.; Taube, F.; Blank, R.; Kluß, C.; Malisch, C.S. Investigating the efficacy of purified tannin extracts from underutilized temperate forages in reducing enteric methane emissions in vitro. Sci. Rep. 2024, 14, 12578. [Google Scholar] [CrossRef]
- Deaville, E.; Givens, D.; Mueller-Harvey, I. Chestnut and mimosa tannin silages: Effects in sheep differ for apparent digestibility, nitrogen utilisation and losses. Anim. Feed Sci. Technol. 2010, 157, 129–138. [Google Scholar] [CrossRef]
- Chen, H.; Wang, C.; Huasai, S.; Chen, A. Effects of dietary forage to concentrate ratio on nutrient digestibility, ruminal fermentation and rumen bacterial composition in Angus cows. Sci. Rep. 2021, 11, 17023. [Google Scholar] [CrossRef]
- Bhatta, R.; Uyeno, Y.; Tajima, K.; Takenaka, A.; Yabumoto, Y.; Nonaka, I.; Enishi, O.; Kurihara, M. Difference in the nature of tannins on in vitro ruminal methane and volatile fatty acid production and on methanogenic archaea and protozoal populations. J. Dairy Sci. 2009, 92, 5512–5522. [Google Scholar] [CrossRef] [PubMed]
- Manoni, M.; Terranova, M.; Amelchanka, S.; Pinotti, L.; Silacci, P.; Tretola, M. Effect of ellagic and gallic acid on the mitigation of methane production and ammonia formation in an in vitro model of short-term rumen fermentation. Anim. Feed Sci. Technol. 2023, 305, 115791. [Google Scholar] [CrossRef]
- Bonnet, M.; Cassar-Malek, I.; Chilliard, Y.; Picard, B. Ontogenesis of muscle and adipose tissues and their interactions in ruminants and other species. Animal 2010, 4, 1093–1109. [Google Scholar] [CrossRef]
- Díaz Carrasco, J.M.; Cabral, C.; Redondo, L.M.; Pin Viso, N.D.; Colombatto, D.; Farber, M.D.; Fernandez Miyakawa, M.E. Impact of chestnut and quebracho tannins on rumen microbiota of bovines. BioMed Res. Int. 2017, 2017, 9610810. [Google Scholar] [CrossRef]



| Item | Perennial Ryegrass | Plantain | Alfalfa |
|---|---|---|---|
| DM, % as fed | 94.97 | 94.74 | 94.53 |
| OM, % as fed | 91.52 | 86.86 | 91.49 |
| Ash % (DM) | 8.8 | 15.2 | 8.7 |
| WSC 1 % (DM) | 22.67 | 14.13 | 13.54 |
| NDF % (DM) | 37.79 | 15.49 | 20.29 |
| ADF % (DM) | 19.30 | 16.84 | 18.25 |
| CP % (DM) | 18.24 | 13.34 | 29.68 |
| Digestibility, % (DMD) | 83.84 | 79.04 | 79.66 |
| MJ, ME/kg DM | 12.72 | 11.40 | 12.10 |
| Tannin, % (DM) 2 | - | 0.5 | - |
| Variables | Treatment | p-Value | |
|---|---|---|---|
| RC | RT | ||
| pH | 6.05 ± 0.03 | 6.05 ± 0.05 | 0.93 |
| Theoretical asymptote of the gas curve | 71.7 ± 1.92 | 65.9 ± 3.271 | 0.21 |
| Fractional rate of gas production (%/h) | 0.0443 ± 0.00 | 0.039 ± 0.00 | <0.0001 |
| Total gas production (mL/g DM) | 60.1 ± 3.03 | 52.6 ± 10.80 | 0.10 |
| Degradability (%) | 52.7 ± 2.21 | 51.3 ± 1.56 | 0.20 |
| CH4 (mL/L) | 3.52 ± 0.37 | 3.16 ± 0.34 | 0.05 < p < 0.10 |
| N2O (%) | 1.0 ± 0.64 | 2.0 ± 1.31 | 0.10 |
| CO2 (%) | 76.3 ± 10.50 | 70.0 ± 6.38 | 0.26 |
| NH3 (mM/L) | 29.5 ± 0.59 | 30.0 ± 0.50 | 0.14 |
| Acetate (mM/L) | 40.40 ± 2.61 | 38.00 ± 3.33 | 0.16 |
| Propionate (mM/L) | 18.84 ± 1.56 | 17.98 ± 1.79 | 0.36 |
| Butyrate (mM/L) | 9.98 ± 0.73 | 9.93 ± 1.01 | 0.92 |
| Valerate (mM/L) | 2.77 ± 0.17 | 2.64 ± 0.30 | 0.33 |
| Iso-butyrate (mM/L) | 1.30 ± 0.23 | 1.51 ± 0.18 | 0.08 |
| Iso-valerate (mM/L) | 1.99 ± 0.17 | 1.98 ± 0.22 | 0.87 |
| Hexanoate (mM/L) | 0.72 ± 0.08 | 0.69 ± 0.14 | 0.59 |
| Variables | Treatment | p-Value | |
|---|---|---|---|
| PC | PT | ||
| pH | 5.87 ± 0.03 | 5.89 ± 0.07 | 0.45 |
| Theoretical asymptote of the gas curve | 65.3 ± 2.20 | 62.1 ± 2.22 | 0.30 |
| Fractional rate of gas production (%/h) | 0.034 ± 0.00 | 0.032 ± 0.00 | 0.04 |
| Total gas production (mL/g DM) | 49.6 ± 4.42 | 45.5 ± 4.68 | 0.12 |
| Degradability (%) | 47.2 ± 2.76 | 47.0 ± 1.98 | 0.91 |
| CH4 (mL) | 2.84 ± 0.45 | 2.71 ± 0.27 | 0.50 |
| N2O (%) | 2.2 ± 1.95 | 2.0 ± 0.85 | 0.79 |
| CO2 (%) | 74.6 ± 12.8 | 71.0 ± 5.52 | 0.51 |
| NH3 (mM/L) | 21.6 ± 0.39 | 22.0 ± 0.63 | 0.21 |
| Acetate (mM/L) | 36.33 ± 2.04 | 36.54 ± 1.88 | 0.85 |
| Propionate (mM/L) | 16.33 ± 0.82 | 16.14 ± 1.00 | 0.70 |
| Butyrate (mM/L) | 7.27 ± 0.49 | 7.29 ± 0.29 | 0.94 |
| Valerate (mM/L) | 1.43 ± 0.09 | 1.53 ± 0.09 | 0.05 |
| Iso-butyrate (mM/L) | 0.90 ± 0.19 | 0.79 ± 0.10 | 0.18 |
| Iso-valerate (mM/L) | 1.16 ± 0.12 | 1.15 ± 0.08 | 0.86 |
| Hexanoate (mM/L) | 0.58 ± 0.08 | 0.61 ± 0.06 | 0.44 |
| Variables | Treatment | p-Value | |
|---|---|---|---|
| AC | AT | ||
| pH | 6.12 ± 0.04 | 6.12 ± 0.03 | 0.88 |
| Theoretical asymptote of the gas curve | 95.4 ± 1.79 | 94.2 ± 1.92 | 0.67 |
| Fractional rate of gas production (%/h) | 0.043 ± 0.00 | 0.046 ± 0.00 | <0.0001 |
| Total gas production (mL/g DM) | 79.3 ± 2.90 | 80.5 ± 4.70 | 0.56 |
| Degradability (%) | 58.6 ± 1.29 | 58.2 ± 1.37 | 0.61 |
| CH4 (mL) | 5.97 ± 0.47 | 5.83 ± 0.95 | 0.72 |
| N2O (%) | 1.2 ± 0.712 | 1.3 ± 0.37 | 0.72 |
| CO2 (%) | 74.7 ± 5.30 | 70.4 ± 11.70 | 0.41 |
| NH3 (mM/L) | 40.2 ± 0.60 | 39.9 ± 0.80 | 0.55 |
| Acetate (mM/L) | 43.09 ± 2.09 | 44.07 ± 1.49 | 0.34 |
| Propionate (mM/L) | 18.55 ± 1.10 | 18.99 ± 0.59 | 0.37 |
| Butyrate (mM/L) | 9.40 ± 0.50 | 9.56 ± 0.45 | 0.52 |
| Valerate (mM/L) | 2.56 ± 0.24 | 2.56 ± 0.18 | 1 |
| Iso-butyrate (mM/L) | 1.62 ± 0.15 | 1.61 ± 0.12 | 0.94 |
| Iso-valerate (mM/L) | 2.87 ± 0.22 | 2.95 ± 0.18 | 0.46 |
| Hexanoate (mM/L) | 0.69 ± 0.08 | 0.71 ± 0.04 | 0.42 |
Disclaimer/Publisher’s Note: The statements, opinions and data contained in all publications are solely those of the individual author(s) and contributor(s) and not of MDPI and/or the editor(s). MDPI and/or the editor(s) disclaim responsibility for any injury to people or property resulting from any ideas, methods, instructions or products referred to in the content. |
© 2025 by the authors. Licensee MDPI, Basel, Switzerland. This article is an open access article distributed under the terms and conditions of the Creative Commons Attribution (CC BY) license (https://creativecommons.org/licenses/by/4.0/).
Share and Cite
de Jong, S.; Pereira, F.C.; Castillo, A.R.; Pellikaan, W.F.; Gregorini, P. The Effects of a Small Dose of Tannin Supplementation on In Vitro Fermentation Characteristics of Different Forages. Animals 2025, 15, 1269. https://doi.org/10.3390/ani15091269
de Jong S, Pereira FC, Castillo AR, Pellikaan WF, Gregorini P. The Effects of a Small Dose of Tannin Supplementation on In Vitro Fermentation Characteristics of Different Forages. Animals. 2025; 15(9):1269. https://doi.org/10.3390/ani15091269
Chicago/Turabian Stylede Jong, Sytske, Fabiellen C. Pereira, Alejandro R. Castillo, Wilbert F. Pellikaan, and Pablo Gregorini. 2025. "The Effects of a Small Dose of Tannin Supplementation on In Vitro Fermentation Characteristics of Different Forages" Animals 15, no. 9: 1269. https://doi.org/10.3390/ani15091269
APA Stylede Jong, S., Pereira, F. C., Castillo, A. R., Pellikaan, W. F., & Gregorini, P. (2025). The Effects of a Small Dose of Tannin Supplementation on In Vitro Fermentation Characteristics of Different Forages. Animals, 15(9), 1269. https://doi.org/10.3390/ani15091269

